Creeaza.com - informatii profesionale despre


Simplitatea lucrurilor complicate - Referate profesionale unice
Acasa » afaceri » economie » contabilitate
Imobilizarile corporale

Imobilizarile corporale


Imobilizarile corporale

1. Notiuni privind imobilizarile corporale

Normele internationale prin Cadrul general de intocmire si prezentare a situatiilor financiare, respectiv IAS 16 "Imobilizari corporale" abordeaza problematica definirii, respectiv delimitarii activelor imobilizate folosind concepte noi. Astfel, in concordanta cu prevederile standardelor internationale de contabilitate, in definirea activelor imobilizate, in speta a celor corporale, se porneste mai intai de la notiunea de active, asa cum este ea prezentata de paragraful 49 al Cadrului general de intocmire si prezentare a situatiilor financiare, potrivit caruia "un activ reprezinta o resursa controlata de catre entitate ca rezultat al unor evenimente trecute si de la care se asteapta sa genereze beneficii economice viitoare pentru entitate."



Se retin din definitie doua conditii, si anume:

controlul asupra resurselor intreprinderii, si

existenta beneficiilor economice viitoare incorporate in active.

O intreprindere controleaza un activ daca are capacitatea de a obtine beneficii economice viitoare din folosirea acestuia si daca poate restrictiona accesul altora la aceste beneficii. Daca intreprinderea poate proba prin estimari existenta beneficiilor economice atasate activelor, i se permite acesteia sa exercite un control asupra resurselor detinute.

Utilizarea conceptelor de resurse controlate pe care o intreprindere le poate detine sugereaza sfera de cuprindere a activelor imobilizate, care odata cu trecerea la aplicarea IAS devine mult mai cuprinzatoare, aici integrandu-se si activele pe care intreprinderea le foloseste in exploatare, le inchiriaza sau le detine ca investitie imobiliara, proprietatea acestora nemaifiind determinata.

In acest fel se poate explica recunoasterea in contabilitatea unei intreprinderi a activelor ce nu sunt in proprietatea sa, spre exemplu activele detinute in leasing, situatie in care se respecta si se aplica principiul proeminentei economicului asupra juridicului.

Beneficiile economice viitoare incorporate in active se refera la potentialul cu care activele contribuie, in general, in mod direct sau indirect, la fluxul de trezorerie si echivalente de trezorerie catre intreprindere. Acest potential poate fi, potrivit paragrafului 53 al Cadrului general de intocmire si prezentare a situatiilor financiare:

un potential de productie, care face parte din activitatile de exploatare ale intreprinderii;

o modalitate de conversie in trezorerie sau echivalente de trezorerie;

o capacitate de reducere a iesirilor de lichiditati, de exemplu un proces alternativ de productie - o noua tehnologie - ce determina o reducere a costurilor de productie;

posibilitatea de a asigura protectia mediului sau satisfacerea legislatiei.

Si, desi pot apare situatii cand procesul detinerii de active nu contribuie in mod direct la obtinerea de fluxuri de trezorerie viitoare atasate acestora - este cazul acelor active ce permit satisfacerea legislatiei, respectiv contribuie la asigurarea protectiei mediului - respectivele active contribuie totusi la obtinerea in viitor de beneficii economice din utilizarea altor active, ceea ce presupune un aport la fluxul de beneficii viitoare.

Beneficiile economice viitoare generate de un activ pot apare in diverse moduri; potrivit paragrafului 55 al Cadrului general de intocmire si prezentare a situatiilor financiare un activ poate sa fie:

utilizat pentru productia de bunuri sau prestarea de servicii,

schimbat contra altor active,

utilizat pentru a plati o datorie,

distribuit proprietarilor intreprinderii.

Identificarea si masurarea fiabila, la nivelul intreprinderii, a gradului de beneficii economice atasabile activelor asigura indeplinirea celor doua conditii cerute in definitia IAS.

Unui element de activ imobilizat ce indeplineste criteriile de recunoastere ca activ, i se cere sa intruneasca si alte conditii pentru a fi evidentiat ca imobilizare corporala. Astfel, Standardele Internationale prin IAS 16 "Imobilizari corporale" paragraf 6 insereaza in definitia imobilizarilor corporale doua elemente caracteristice, care le diferentiaza pe acestea de alte active in sensul ca:

a)     sunt detinute de intreprindere pentru a fi utilizate in productia de bunuri sau in prestarea de servicii, pentru a fi inchiriate tertilor sau pentru a fi folosite in scopuri administrative, si

b)     este posibil a fi utilizate pe parcursul mai multor perioade.

Din definitie se desprinde ca imobilizarile corporale sunt active care prezinta urmatoarele caracteristici:

au o durata de utilizare mai mare de o perioada, ceea ce presupune ca sunt utilizate in mod repetat cel putin un an, in masura in care perioada se refera la un exercitiu financiar - contabil care este, de regula, un an;

sunt achizitionate pentru a fi utilizate in cadrul activitatii de exploatare;

nu sunt destinate a fi vandute clientilor.

Se face astfel apel la criteriul utilitatii activului pentru intreprindere (".este posibil a fi utilizate pe parcursul mai multor perioade"), abordare preluata si de referentialul contabil romanesc care, in acord cu reglementarile contabile conforme cu Directivele Europene - considera ca un activ reprezinta o resursa controlata de catre entitate ca rezultat al unor evenimente trecute, de la care se asteapta sa genereze beneficii economice viitoare pentru entitate si al carui cost poate fi evaluat in mod credibil.

De asemenea, in concordanta cu prevederile articolului 64 "activele imobilizate sunt active generatoare de beneficii si detinute pe o perioada mai mare de un an." In plus, la recunoasterea unui activ imobilizat corporal se respecta cele doua conditii ale paragrafului 87 potrivit caruia "imobilizarile corporale reprezinta active care:

a)  sunt detinute de o entitate pentru a fi utilizate in productia de bunuri sau prestarea de servicii, pentru a fi inchiriate tertilor sau pentru a fi folosite in scopuri administrative;

b)  sunt utilizate pe parcursul unei perioade mai mari de un an."

Se asigura in acest fel o aliniere a prevederilor contabile romanesti la cerintele reglementarilor europene si internationale in vigoare.

In schimb, autoritatea fiscala da dovada, prin pastrarea limitei valorice in recunoasterea activelor corporale, respectiv revenirea la sintagma de active fixe atribuibila activelor corporale, de cel putin inconsecventa atat in definirea cat si in delimitarea unor astfel de structuri.

Definitia este urmatoarea: "mijlocul fix amortizabil este orice mijloc fix al unui contribuabil care satisface urmatoarele conditii:

a)               mijlocul fix este detinut pentru a fi utilizat in productia sau livrarea de bunuri sau in prestarea de servicii, pentru a fi inchiriat tertilor, sau in scopuri administrative;

b)               mijlocul fix are o durata normala de utilizare mai mare de un an."

Referitor la delimitarea si clasificarea activelor, Standardele Internationale de Raportare Financiara cat si IAS 1 "Prezentarea situatiilor financiare" ilustreaza exemple privind structurarea si delimitarea activelor in bilant in functie de perioada de timp in care sunt generate beneficiile economice estimate atasate; in concordanta cu aceste prevederi activele se vor delimita in bilant in active curente si active imobilizate. Daca acest criteriu "timp" nu poate fi folosit, se utilizeaza criteriul lichiditatii, care delimiteaza activele in doua categorii " sub 12 luni" si " peste 12 luni".

Pornind de la delimitarea efectuata de standarde, imobilizarile corporale se pot clasifica in urmatoarele categorii, dupa modul de recuperare a cheltuielilor:


terenuri (fara recuperare a cheltuielilor),

cladiri (cu recuperarea cheltuielilor prin amortizare),

echipamente (cu recuperarea cheltuielilor prin amortizare).

Nici o alta clasificare nu se poate desprinde din prevederile standardelor, acestea sunt permisive, acordand libertate intreprinderilor in a clasifica informatiile referitoare la active dupa criterii proprii, specifice; acestea au insa obligatia de a prezenta clasificarea proprie in politicile si principiile contabile ce stau la baza sistemului contabil al intreprinderii.

La sectiunea 3 a reglementarilor contabile conforme cu Directivele Europene se precizeaza ca prezentarea activelor in bilant ca active imobilizate sau ca active circulante depinde de scopul caruia ii sunt destinate; astfel, activele destinate utilizarii pe o baza continua, in scopul desfasurarii activitatilor intreprinderii sunt delimitate ca active imobilizate.

In practica romaneasca, coroborand denumirea Standardului International de Contabilitate IAS 16 "Imobilizari corporale" si grupa conturilor destinata contabilizarii operatiilor privitoare la imobilizarile corporale din Planul de conturi general din 2008, se considera ca delimitarea imobilizarilor corporale se poate face in urmatoarele categorii:

211. Terenuri si amenajari de terenuri

2111. Terenuri

211 Amenajari de terenuri

21 Constructii

213. Instalatii tehnice, mijloace de transport, animale si plantatii

2131. Echipamente tehnologice (masini, utilaje si instalatii de lucru)

213 Aparate si instalatii de masurare, control si reglare

2133. Mijloace de transport

2134. Animale si plantatii

214. Mobilier, aparatura birotica, echipamente de protectie a valorilor umane si materiale si alte active corporale.

Evaluarea si reevaluarea imobilizarilor corporale

Pentru recunoasterea in contabilitate, este necesara exprimarea in unitati monetare a fiecarei structuri bilantiere. Aceasta operatie se numeste evaluare si are loc diferit, in functie de elementul la care se refera si de momentul la care se efectueaza. In legatura cu momentul de efectuare, se contureaza:

evaluarea cu ocazia primei recunoasteri in contabilitate;

evaluarea la data inventarierii;

evaluarea la data inchiderii exercitiului financiar (la momentul intocmirii bilantului);

evaluarea la incetarea recunoasterii in contabilitate.

Aceste patru momente sunt valabile pentru orice element bilantier luat in discutie. Pentru imobilizari, evaluarea se face de asemenea in cele patru momente.

A) Evaluarea imobilizarilor corporale in momentul intrarii

In cazul imobilizarilor corporale, evaluarea la momentul primei recunoasteri in contabilitate se face diferit, in functie de modalitatea de intrare:

a)     achizitia de la furnizori presupune evaluarea imobilizarii la cost de achizitie. Costul de achizitie este format din pretul de cumparare al bunului (inscris in factura emisa de furnizor), taxe care nu se mai recupereaza (taxe vamale, accize), cheltuieli de transport si eventuale cheltuieli de montare si punere in functiune a activului respectiv.

b)     aportul in natura la capitalul intreprinderii sau dobandirea cu titlu gratuit (de exemplu, prin donatie). In acest caz, imobilizarea corporala este evaluata potrivit pretului pietei. Marimea rezultata in urma acestei evaluari poarta denumirea de valoare de utilitate.

c)     productia proprie, caz in care se apeleaza la costul de productie. Costul de productie cuprinde cheltuielile directe plus chetuielile indirecte de productie, repartizate rational asupra produselor fabricate, lucrarilor executate si serviciilor prestate. Alaturi de aceste elemente, in costul de productie al unei imobilizari pot intra si cheltuieli cu dobanzile aferente imprumuturilor necesare finantarii investitiei. Indiferent de forma sub care se prezinta, valoarea stabilita la momentul primei recunoasteri se numeste valoare de intrare sau valoare contabila.

B) Evaluarea imobilizarilor la data inventarierii

Momentul inventarierii este de fapt momentul in care activele unei intreprinderi sunt masurate si exprimate atat in unitati de masura fizice (buc., t, m), cat si in unitati monetare. Pentru imobilizarile corporale supuse amortizarii, se calculeaza valoarea neta contabila, scazand din valoarea de intrare amortizarea calculata si inregistrata pana la data inventarului. In momentul inventarierii, se determina si valoarea de inventar, adica o valoare actuala sau de utilitate a imobilizarii.

C) Evaluarea in momentul inchiderii exercitiului

Momentul inchiderii exercitiului financiar se concretizeaza, din punct de vedere financiar-contabil, in intocmirea bilantului contabil. In bilant, elementele entitatii sunt inscrise la valoare bilantiera. In vederea determinarii ei, se compara valoarea contabila neta cu valoarea de inventar. Rezultatul comparatiei poate conduce la:

plus de valoare care, conform principiului prudentei referitor la active, nu se inregistreaza in contabilitate. In aceasta situatie, valoarea bilantiera a imobilizarii este egala cu valoarea contabila neta.

minus de valoare care, conform principiului prudentei, se consemneaza printr-un supliment de amortizare in cazul deprecierii ireversibile (de exemplu, mijloacele fixe inutilizabile, propuse pentru casare) sau prin provizioane (reduceri) pentru depreciere daca deprecierea este reversibila (de exemplu, lipsa de utilitate a acestora pentru unitate in momentul inventarierii).

D) Evaluarea imobilizarilor in momentul incetarii recunoasterii

Incetarea recunoasterii in contabilitate a activelor imobilizate are drept valoare de referinta valoarea de intrare a imobilizarilor (valoare contabila). Este important de precizat daca activul imobilizat a fost sau nu integral amortizat. In cazul unei imobilizari integral amortizate (a carei valoare a fost integral suportata pe cheltuieli), amortizarea este egala cu valoarea contabila.

In cazul unei imobilizari incomplet amortizate, este necesara suportarea pe cheltuieli a valorii ramasa neamortizata. In aceasta situatie, amortizarea inregistrata plus cheltuiala, reprezentand partea neamortizata, egaleaza valoarea contabila care reprezinta valoarea de iesire.

E) Reevaluarea imobilizarilor

In conditiile evolutiei crescatoare a preturilor in economie, periodic au loc reevaluari ale activelor imobilizate. Reevaluarea se aplica acestor active intrucat durata lor de viata utila este mai indelungata si, astfel, sunt afectate in mai mare masura decat activele circulante. Pana in prezent, reevaluarea a avut la baza prevederi legale exprese si a vizat imobilizarile corporale.

Asadar, reevaluarea nu este aplicabila unui singur component al activelor imobilizate, ci uneia sau mai multor categorii de active imobilizate (de exemplu, terenurile si cladirile) sau tuturor activelor imobilizate.

Din punct de vedere contabil, reevaluarea imobilizarilor are drept rezultat diferenta din reevaluare, element de pasiv inscris in categoria capitalurilor proprii (deci surse corespunzatoare activelor imobilizate reevaluate).

3. Amortizarea imobilizarilor corporale

Pentru a evalua amortizarea practica contabila utilizeaza mai multe criterii precum:

- durata de utilizare;

- volumul activitatii obtinute,

- rata dobanzii.

Potrivit criteriilor amintite se pot identifica mai multe metode de amortizare, cele mai cunoscute fiind urmatoarele: metoda liniara, metoda degresiva, metoda unitatilor de productie. Normele internationale considera ca, in conformitate cu una dintre cele mai importante conventii privind contabilitatea de baza, principiul corelarii, valoarea activelor imobilizate este repartizata prin amortizare pe perioadele in care s-a beneficiat de folosirea activului. Oricare ar fi

metoda aleasa, trebuie sa aiba ca rezultat repartizarea sistematica si rationala a valorii amortizabile pe durata preconizata a vietii utile a activului.

In acceptiunea Standardelor Internationale se considera ca metoda amortizarii trebuie sa reflecte modul in care beneficiile economice viitoare aferente activului se preconizeaza a fi consumate de catre intreprindere si ca gradul de adecvare a metodei trebuie sa fie revizuit cel putin anual in cazul in care a existat o schimbare la nivelul modelului prevazut.

Dincolo de aceasta, norma lasa la latitudinea intreprinderilor utilizarea uneia sau alteia dintre metode, chiar daca aminteste de metoda liniara, a amortizarii degresive si a amortizarii proportionale cu utilizarea. Se desprinde totusi din prevederile normei ca metoda amortizarii se bazeaza pe modalitatea de stabilire a duratei de viata utila asupra careia se repartizeaza valoarea amortizabila - fie in functie de timp, fie in functie de uzura fizica in sine.

De aici se contureaza si cele doua mari categorii de metode de amortizare agreate de standarde, si anume: metode bazate pe timp si, respectiv metode bazate pe uzura fizica reala.

Metode de amortizare bazate pe timp

In literatura straina de specialitate se inscriu ca si metode bazate pe timp metoda amortizarii liniare (straight line method), respectiv metodele accelerate (in literatura anglo-saxona accelerated methods) - metoda amortizarii degresive, metoda insumarii anilor de viata utila etc.

Metoda liniara

Potrivit acesteia se considera deprecierea ca fiind o functie de timp mai degraba decat rezultatul utilizarii. Metoda este foarte utilizata in practica datorita simplitatii sale si consta in alocarea pe cheltuielile perioadei a unei fractiuni constante din baza amortizabila pe intreaga durata de viata a bunului.

Marimea anuitatii (depreciation per year) este egala cu valoarea de intrare (cost) diminuata cu valoarea reziduala estimata (residual value) pe durata de utilizare a bunului (economic life).

Matematic, valoarea anuitatii este:

Anuitatea amortizarii = (cost - valoare reziduala)/ durata de viata estimata

Fata de practica internationala, in Romania amortizarea liniara se calculeaza prin aplicarea cotei medii anuale la valoarea de intrare, fara a tine seama de o eventuala valoare reziduala, astfel:

Anuitatea amortizarii = Valoarea de intrare x Rata anuala a amortizarii

(Cota medie anuala de amortizare)

Rata anuala a amortizarii = 100 / Durata de utilizare

Daca intrarea activului se produce in cursul anului rata anuala se recalculeaza in functie de durata efectiva de utilizare; se stabileste astfel prorata temporis a amortizarii, in functie de zile, luni sau semestru de utilizare. Pentru Romania, prorata amortizarii se calculeaza in raport cu luna urmatoare celei in care s-a produs intrarea.

De asemenea, in stabilirea duratei de utilizare din punct de vedere contabil se poate recurge la estimarile proprii, fiscal insa se vor respecta prevederile H.G. nr.2139/2004 pentru aprobarea Catalogului privind clasificarea si duratele normale de functionare a mijloacelor fixe; intreprinderile pot utiliza sistemul unor plaje de ani cuprinse intre o valoare minima si una maxima optand

oarecum liber pentru o durata de utilizare aferenta activelor imobilizate.

Desi este usor de utilizat, metoda liniara cade sub incidenta unor critici deoarece:

nu tine cont de scaderea capacitatii de productie, utilitatea economica a activului fiind considerata aceeasi in fiecare an;

nu tine cont de cresterea in timp a cheltuielilor de intretinere datorate uzurii, acestea fiind considerate constante an de an.

Metoda amortizarii degresive

Metodele degresive, adesea denumite in literatura anglo-saxona accelerate, bazate pe trecerea timpului, presupun inscrierea in cheltuieli a unei amortizari mai mari in cursul primelor exercitii de utilizare a activului, comparativ cu amortizarea corespunzatoare exercitiilor ulterioare.

Justificarea economica a acestor metode este ca activele au capacitate de serviciu mai mare in primii ani de viata, dupa care antreneaza cheltuieli de intretinere din ce in ce mai mari.

Variantele metodei degresive de amortizare sunt:

se aplica un procent de amortizare constant la o baza variabila (valoarea contabila neta sau valoarea ramasa de amortizat),

se aplica un procent variabil de amortizare la o baza constanta (valoarea contabila).

Cele mai uzuale metodologii de calcul a amortizarii degresive bazate pe aplicarea unei rate (t%) constante asupra unei baze de calcul descrescatoare sunt:

a) metodologia in functie de valoarea neta contabila:

anuitatea anului "i" din cadrul duratei X se calculeaza dupa relatia

- prezinta inconvenientul ca suma anuitatilor oricat s-ar extinde durata de amortizare, nu va fi egala cu valoarea de amortizat

b) metodologia anglo-saxona a cotelor constante duble (double declining balance method)

Desi se poate aplica orice cota constanta, cea mai uzuala (in S.U.A. este unica rata de amortizare degresiva) este data prin multiplicarea cotei de amortizare anuala cu doi. Prima anuitate se calculeaza in baza valorii initiale iar urmatoarele pe seama valorii nete contabile a exercitiului precedent, mai putin ultima anuitate. In practica internationala la finele duratei de amortizare valoarea neta contabila trebuie sa fie egala cu valoarea reziduala; in consecinta valoarea ultimei anuitati este ajustata in functie de aceasta cerinta.

Metoda amortizarii degresive a ratelor constante aplicate unei baze variabile, varianta britanica - the reducing balance method - se poate utiliza numai in conditiile existentei unei valori reziduale estimate, formula matematica fiind urmatoarea:

unde,

t = rata amortizarii,

r = valoarea reziduala,

c = costul activului,

n = numarul de ani.

Dintre metodologiile de calcul ale amortizarii degresive bazate pe aplicarea unei rate (t%) descrescatoare asupra unei baze de calcul constante edificatoare este metoda SOFTY (sum of the years digits methods).

Pentru calculul ratei de amortizare se insumeaza anii duratei de viata utila, valoare ce reprezinta numitorul fractiei de calcul a ratei, la numarator situandu-se cifrele fiecarui an din durata de viata, in ordine inversa.

Calculul amortizarii aferente anului t utilizeaza relatia:

unde,

n = numarul de ani utilizare,

V = valoarea contabila a activului

Fata de cele prezentate mai sus, practica contabila romaneasca inregistreaza unele particularitati; amortizarea degresiva consta in multiplicarea ratei de amortizare liniara cu unul dintre coeficientii urmatori:

- 1,5, daca durata de utilizare a activului este cuprinsa intre 2 si 5 ani;

- 2,0, daca durata de utilizare a activului este cuprinsa intre 5 si 10 ani;

- 2,5, daca durata de utilizare a activului este mai mare de 10 ani.

Rata multiplicata astfel obtinuta se aplica valorii ramase de amortizat (valoarea neta contabila). Aplicarea se face pana in anul cand amortizarea anuala rezultata este egala sau mai mica cu/ decat amortizarea anuala obtinuta prin raportarea valorii ramase la numarul de ani de utilizare ramasi. Mai mult, se cunosc doua variante ale amortizarii degresive: fara influenta uzurii morale (pentru mijloacele fixe achizitionate inainte de 31.11993) si cu influenta uzurii morale ( pentru mijloacele fixe achizitionate dupa 31.11993).

In practica romaneasca, pe langa metoda liniara si cea degresiva, bazata tot pe trecerea timpului este si amortizarea accelerata; potrivit acesteia amortizarea aferenta fiecarui exercitiu se determina dupa cum urmeaza:

pentru primul an de utilizare se pot aloca cheltuielilor perioadei nu mai mult de 50% din valoarea activului imobilizat;

pe durata de utilizare ramasa amortizarea se calculeaza dupa metoda liniara, prin raportarea valorii ramase de amortizat la numarul de ani de utilizare ramasi.

Avantajul acestei metode este unul de ordin fiscal; ca urmare a faptului ca in primul an intreprinderea suporta pe cheltuieli o amortizare mare, se permite reinvestirea sumelor in noi active, iar in urmatorii ani cheltuielile sunt minime. Pentru a beneficia efectiv de avantajul fiscal, este recomandat ca aceasta metoda sa fie utilizata pentru active cu durata de utilizare foarte scurta sau intreprinderea sa le scoata din utilizare dupa primul an. De retinut ca aceasta metoda de amortizare nu are corespondent in acceptiunea Standardelor Internationale.

Metode de amortizare bazate pe uzura fizica reala, rezultat al utilizarii

Potrivit standardelor internationale amortizarea nu are la baza, in mod obligatoriu, durata in ani de utilizare. Amortizarea anuala se poate calcula si in functie de numarul de unitati produse de respectivul activ intr-un an; se pot folosi aici unii indicatori fizici, proprii activului analizat, ca de exemplu numarul de piese, respectiv, produse obtinute, pentru o instalatie, numarul de kilometri de

parcurs pentru un mijloc de transport.

Aceasta modalitate este recomandata, indeosebi, pentru acele imobilizari care se depreciaza mai mult prin utilizarea lor decat prin trecerea anilor si invechirea lor, precum si pentru acele imobilizari pentru care ritmul de utilizare este neregulat. Metoda are meritul ca amortizarea anuala fluctueaza o data cu contributia adusa de activ in fiecare an.

Se poate aminti aici metoda unitatilor de productie, denumita si metoda amortismentului functional. Ea se poate aplica numai in conditiile estimarii cu exactitate a unitatilor obtinute (output-uri) pe parcursul duratei de utilizare a bunului. Amortizarea se bazeaza pe capacitatea de productie; in calculul anuitatii amortizarii se parcurg etapele:

a) calcul rata a amortizarii

r = (cost - valoare reziduala)/durata de viata estimata in unitati de productie

b) calcul anuitate amortizare

a1 = nr. unitati de productie pentru anul 1 x rata amortizarii

Si practica romaneasca agreeaza aceasta metoda. Astfel, potrivit articolului 24 alin.11e) din Codul Fiscal "amortizarea cladirilor si a constructiilor minelor, salinelor cu extractie in solutie prin sonde, carierelor, exploatarilor la zi, pentru substante minerale solide si cele din industria extractiva de petrol, a caror durata de folosire este limitata de durata rezervelor si care nu pot primi alte utilizari dupa epuizarea rezervelor, precum si a investitiilor pentru descoperta se calculeaza pe unitatea de produs, in functie de rezerva exploatabila de substanta minerala utila."

Pentru calculul anuitatii amortizarii se folosesc formulele:

si

unde,

Az - amortizarea, in lei, pe 1000 tone de rezerva exploatabila;

Vr - valoarea de intrare a activului;

R- rezerva exploatabila de substanta minerala utila, in mii tone, existenta la inceputul fiecarui exercitiu financiar;

C - extractia anuala de substanta minerala utila, in mii tone.

Amortizarea pe unitatea de produs se recalculeaza:

din 5 in 5 ani la mine, cariere, extractii petroliere, precum si la cheltuielile de investitii pentru descoperta;

din 10 in 10 ani la saline.

De asemenea, pentru mijloacele de transport se poate calcula un amortisment functional (art. 24 alin 11f din Codul Fiscal) "mijloacele de transport pot fi amortizate si in functie de numarul de kilometri sau numarul de ore de functionare prevazut in cartile tehnice, pentru cele achizitionate dupa data de 1 ianuarie 2004." In aceasta situatie amortizarea se determina prin raportarea valorii de intrare a activului la numarul de kilometri sau numarul de ore de functionare prevazute in cartile tehnice, rezultand astfel amortizarea pe kilometru sau pe ora de functionare. Amortizarea lunara se determina prin inmultirea numarului de kilometri parcursi sau a numarului de ore de functionare in fiecare luna cu amortizarea pe kilometru sau pe ora de functionare.

Alte metode de amortizare

Desi IAS 16 nu pune in discutie alte metode de amortizare, in diferite momente si in variate jurisdictii, s-au folosit alte metode. Dintre acestea putem aminti cu titlu de informare:

metoda inscrierii la momentul retragerii presupune trecerea pe cheltuieli a costului activului la data retragerii acestuia, a derecunoasterii;

metoda inscrierii la momentul inlocuirii recunoaste in conturile de active imobilizate costul initial al acestora, iar la data inlocuirii activelor se va evidentia pe cheltuielile perioadei costul de inlocuire corespunzator;

metoda amortizarii pe grupuri omogene( sau compozite se considera grup omogen suma activelor individuale similare, in raport cu grupul compozit ce reuneste active individuale nesimilare. In masura amortizarii se porneste de la valoarea amortismentelor activelor individuale parti ale grupului utilizand formulele:

Rata am. = Suma amortizarii liniare a activelor individuale/ Costul total al

activului

Cheltuieli cu amortizarea = Rata am. x Costuri totale aferente grupului;

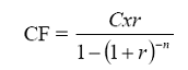
implicit interest depreciation method utilizata in literatura americana de specialitate; potrivit acesteia activul este privit din perspectiva investitorului ce asteapta o anumita remunerare a capitalurilor sale investite. Originalitatea metodei consta in aceea ca transforma planul de amortizare al activului imobilizat intr-un plan de amortizare a investitiei, rentabilitatea asteptata de investitor fiind masurata prin rata de actualizare a viitoarelor fluxuri de trezorerie generate din exploatare (se considera rata interna de randament la care se actualizeaza fluxurile de trezorerie viitoare pentru a recupera investitia initiala egala cu rata de actualizare). In calculul fluxurilor de trezorerie viitoare estimate a fi obtinute din utilizarea activului, considerate potrivit metodei constante an de an, se utilizeaza formula:

unde,

CF - cash-flow anual,

C - costul initial al activului,

r - rata de actualizare,

n - durata de viata a activului.

Optiunea intreprinderii pentru una sau alta dintre metodele de amortizare anterior expuse este rezultatul modelarilor proprii managementului in functie de politica si strategia adoptata. Incidentele metodei de amortizare asupra valorii amortizarii anuale respectiv valorii ramase de amortizat sunt redate in tabelul de mai jos:

Tabelul nr. 1: Metodele principale de amortizare





Politica de confidentialitate


creeaza logo.com Copyright © 2025 - Toate drepturile rezervate.
Toate documentele au caracter informativ cu scop educational.