L 1 - NOTIUNI INTRODUCTIVE
1.1. FENOMENUL DE REOLOGIE
Agentii de ingrosare sunt utilizati in lacuri, emailuri, vopsele pentru a conferi sistemelor proprietati reologice. Reologia joaca un rol important atat in producerea cat si in aplicarea sistemului: deja odata cu dispersarea pigmentilor, proprietatile de curgere ale sistemului vor fi de importanta majora. Daca vascozitatea sistemului este prea joasa, o dispersie optima nu va fi posibila deoarece o mare parte a energiei transportate va fi pierduta prin proprietatile de curgere turbulente. Cu siguranta, vascozitatea va fi necesara pentru prevenirea sedimentarii pigmentilor si a fillerului. In timpul aplicarii comportarea reologica va influenta, de exemplu, curgerea si acoperirea la fel ca si grosimea stratului.
Reologia inseamna formarea si comportarea la curgere a substantelor sub influenta unor forte externe.
In contexul acestor termeni de producere a fortelor, fortele finale sunt importante.
Acesti termeni pot fi explicati prin urmatoarea ipoteza: imaginati-va un volum de lichid constand dintr-un numar de straturi paralele iar partea de sus deplasata de aceasta forta. Efectul fortei F devine mai mic si chiar mai mic decat cea mai mare distanta dintre respectivul strat si stratul de sus. Aceasta inseamna ca forta de forfecare este forta cu care doua straturi vecine sunt mutate unul de altul intr-o relatie. Forta de forfecare este forta F care va actiona asupra stratului superior:

Figura -
In practica stratul superior va fi in directa legatura cu unitatea de miscare in timp ce stratul de jos este in contact cu peretele recipientului.

Figura -
Intre acestea doua apare o diferenta de turatie. Aceasta turatie separata de distanta dintre cele doua straturi se numeste viteza de forfecare sau gradient de forfecare.
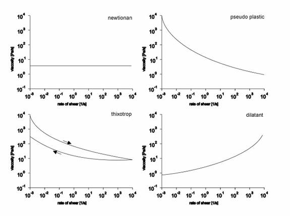
Diferenta intre proprietati va rezulta din comportanmentul unei substante cu forte de forfecare diferite care se numesc curgere Newtoniana, pseudoplastica, tixotropa si efect de dilatare.

Figura -
Comportarea Newtoniana reprezinta viteza de curgere a substantei care nu depinde de viteza de forfecare ( ex. apa, solventii puri).
Pseudoplasticitatea apare atunci cand viteza de curgere a substantei va descreste odata cu cresterea vitezei de forfecare (aproape pentru toate sistemele de lacuri, emailuri).
Tixotropia va descrie un comportament cu care o curba hysteresis va apare intre curbele de curgere ce sunt masurate cu cresterea sau descresterea vitezei de forfecare.
In cazul dilatarii, viteza de curgere a substantei va creste o data cu cresterea vitezei de forfecare.

Figura - procesele diferite si fortele de frecare cauzate de aceste efecte. Sedimentarea pigmentilor, de exemplu, este corelata cu fortele de forfecare foarte scazute, in timp ce forte foarte mari se vor dezvolta in timpul spray-erii unui lac
1.2. CLASIFICAREA AGENTILOR DE INGROSARE
Agentii de ingrosare utilizati in industria de lacuri pot fi clasificati in functie de compozitia lor chimica in anorganici si organici.
Agentii de ingrosare anorganici sunt de exemplu, modificati organic, acizi silicatici sau siliciti pirogenici.

Figura - fazele dezintegrarii bentonei
Compoundul este constituit din lamele puse una peste alta. In aceste situatii, agentii de ingrosare sunt activi, asadar, ei vor fi dezintegrati. Este necesara separarea lamelelor astfel incat agentul de ingrosare sa poata desface structurile formate numite "casa din carti". Aceasta structura este apoi distrusa de catre fortele de forfecare, oricum, vor construi din nou apoi destul de rapid si apoi vor produce un comportament pseudoplastic sau tixotrop.
Aditivii organici sunt, de exemplu, derivati de celuloza, agenti de ingrosare acrilici, agenti de ingrosare poliuretanici. Acesti compusi se numesc agenti de ingrosare asociativi, deorece ei functioneaza ca legaturi intre moleculele de agenti si acest mod de a construi o retea tridimensionala, ca cea din figura de mai jos:

1.3. UTILIZARI
Solutiile apoase de ingrosare cu polimeri sunt comune in viata zilnica. Samponul, de exemplu, este o solutie apoasa pe baza de surfactanti care ar trebui sa aiba o vascozitate crescuta deoarece o vascozitate scazuta ar insemna ca ar curge printre degete atunci cand este ambalat in sticla. In industrai alimentara exista multe exemple de polimeri solubili in apa folositi la ingrosare. Amodonul din cartofi sau din porumb poate fi folosit la ingrosare de un sos de gelatina si confera consistenta unui jeleu pentru multe deserturi. Polimerii sunt de asemenea folositi ca ingrosatori pentru multe produse cu un continut mic de grasimi. Unele formulari farmaceutice sunt sisteme pe baza de apa care isi obtin proprietatile de curgere de la acesti polimeri.
Vopselele pe baza de apa sunt alt exemplu de un sistem apos ce va fi supus ingrosarii pentru a se comporta in modul dorit de noi. Utilizarea polimerilor hidrofobici modificati (HM-P) in vopsea reprezinta baza pentru aceatsa teza si vor fi tratati intr-un capitol separat.
Scopul acestei teze este de a oferi cunostinte utile pentru dezvoltarea d enoi polimeri modificati hidrofobic, imbunatatind in primul rand proprietatile pentru aplicarea vopselelor. In vederea indeplinirii acestui obiectiv, prima parte a lucrarii se va referi la influenta modificarii hidrofobice asupra proprietatilor d epolimeri in solutie. Cea de a doua parte a tezei se va referi la mecanismul de ingrasare a polimerilor hidrofobic modificati in sisteme apoase.
ETERII DE CELULOZA
Celuloza primara, obtinuta din surse regenerabile precum lemnul sau bumbacul, este transformata in diferite tipuri de eteri de celuloza. Eterii de celuloza sunt derivati ai celulozei naturale (pulpa) si sunt folositi in diferite aplicatii ca aditivi sau pentru rafinare. De exemplu, celuloza eterificata actioneaza ca agent de retentie a apei, ingrosator, liant si agent de dispersie, stabilizator si coloid de protectie, ca aditiv de suspensie (antideponent), emulgator si agent de formare a filmului.
Ce sunt celulozele, respectiv eterii de celuloza, din punct de vedere chimic?
Celuloza este materia de baza a substantelor naturale precum lemnul, inul sau bumbacul si consta in fibre moleculare lungi, neramificate. O singura fibra de celuloza poate fi constituita din pina la 10.000 de unitati individuale de anhidro-glucoza. In celuloza, fibrele moleculare individuale sunt aranjate in fascicole (pachete) si acestea formeaza asa numitele microfibre care, in ultima instanta, rezulta intr-o retea tesatura deasa ca structura formata din molecule de celuloza. Legatura puternica dintre fibrele individuale de celuloza se datoreaza numarului urias de legaturi de hidrogen puternice.
Structura chimica a moleculelor de eteri de celuloza este similara celulozei. In timpul eterificatii cele 3 grupari OH libere ale unei singure unitati de anhidroceluloza sunt (cel putin partial) substituite, insemnand ca legatura puternica dintre moleculele originale de celuloza este mai slaba in acest mod devenind solubili in apa.
Portofoliul de produse cuprinde urmatoarele tipuri de eteri de celuloza:
In afara tipului de substitutie (tipului de agent de eterificare folosit), gradul de substitutie influenteaza considerabil proprietatile eterilor de celuloza si este caracterizat de 2 parametri:
Gradul Mediu de Substitutie (DS)
DS indica cate grupari hidroxil ale unitatii anhidrocelulozei sunt eterificate, in medie. DS poate avea valori intre 0 si 3 si indexul poate specifica despre ce substituent este vorba.
Exemplu: DSME (ME = Metil)
Gradul de Substituie Molar (MS)
In timpul hidroxietilarii ori a hidroxipropilarii, substitutia multipla are ca rezultat dezvoltarea lanturilor laterale. MS cuantifica media numarului de grupari hidroxietil sau hidroxipropil pe unitate de anhidroglucoza. MS, in contrast cu DS, poate avea valori > 3. La fel ca si la DS, indexul poate specifica tipul de substituent.
Exemplu: MSHE (HE = Hidroxietil)
Exemplu: MSHP (HP = Hidroxipropil)
Materia prima utilizata pentru producerea eterilor de celuloza este celuloza de puritate mare, care se obtine din scame de bumbac sau lemn si este insolubila in apa. Pentru a o face accesibila unei reactii chimice, celuloza este pentru inceput macinata fin (pulpa tocata) si apoi tratata cu solutie de hidroxid de sodiu pentru a forma asa numita alkali-celuloza. In functie de tipul de eter de celuloza solicitat, alcali-celuloza umectata este eterificata cu diferiti agenti, creindu-se astfel eterii de celuloza solubili. Agentii de eterificare nereactionati se recicleaza.
In timpul reactiei alkali-celulozei cu agentii de eterificare si in timpul urmatoarelor stadii ale procesului, se formeaza clorura de sodiu precum si alte sub-produse, care sunt inlaturate in mai multe in citeva etape de complexe de extragere. In timpul intregului process, eterul de celuloza se afla sub forma de suspensie solida (si nu in solutie). Aceasta este asigurata prin alegerea solventilor potriviti precum si printr-un control optim al temperaturii in timpul intregului process. Eterul de celuloza uscat este macinat la stadiul de granule sau material pulbere, si in functie de aplicatie, poate fi modificat in final cu diferiti aditivi.
Astfel, eterii de celuloza difera prin:
Denumirea fiecarui produs se face cu ajutorul a trei categorii majore care caracterizeaza produsul:
Eterul de celuloza este un produs solid, alb sau usor galbui, care este oferit sub forma de pulbere sau in forma granulata. Eterul de celuloza este inodor si insipid, continand pana la 10% umiditate si cantitati mici de saruri (ambele sunt rezultate ale procesului de productie). Eterul de celuloza poate contine aditivi suplimentari care, de exemplu, controleaza comportamentul la dizolvare precum si procesul de dispersare. Alti aditivi pot de asemenea controla dezvoltarea vascozitatii. In functie de tipul de aplicatie,eterul de celuloza este disponibil ca tipuri 'nemodificate' sau 'modificate'.
Cele mai importante proprietati ale eterului de celuloza sunt descrise in capitolele urmatoare:
Pentru a obtine solutii omogene, eterul de celuloza trebuie mai intii dispesat. Se pot folosi o varietate de metode de preparare a solutiei de eter de celuloza, in functie de tipul de eter implicat si de forma fizica a produsului. Citeva procedee, deja consacrate, sunt descrise mai jos, dar trebuie adaptate cerintelor fiecarui caz individual in parte.
1.Cum se dizolva tipurile de eteri de celuloza fara solubiliate intarziata
Chiar daca eterii de celuloza sunt solubili intr-un solvent dat, ei pot manifesta tendinta de formare de aglomerari in timpul procesului de dizolvare. Aceasta datorita faptului ca particulele de eteri de celuloza formeaza agregate in timpul procesului de dispersie si astfel nu pot fi complet umectate de apa. Mai departe, aceste agregate sunt acoperite rapid de un strat de gel umflat de particule de eter de celuloza deja dizolvate, care mai departe impiedica procesul de dizolvare. Cu toate acestea, in functie de tipul de eterificare si de aspectul fizic (pulbere sau granule), se poate asigura o dizolvare completa si fara aglomerari.
In general se recomanda (independent de eterificare si forma fizica) imprastierea uniforma a eterului de celuloza in solvent in timpul amestecarii puternice. In timpul dizolvarii, vascozitatea solutiei creste continuu asa ca deja dupa cateva minute intensitatea amestecarii poate fi scazuta pentru a evita fomarea prea multor bule de aer in solutie. Amestecarea trebuie continuata pana la omogenizarea completa. Pentru prepararea solutiilor apoase de eteri de celuloza se recomanda citirea urmatoarelor instructiuni specifice:
Eteri de celuloza de tipul pulbere MHEC si MHPC
Cum se prepara solutiile la nivel de laborator
Tipurile MHEC sau MHPC sub forma de pulbere sunt dispesate intr-o parte din cantitatea de apa necesara pentru dizolvarea completa si care a fost incalzita pana la aproximativ 80°C. Apoi, prin adaosul de apa rece ramasa, se ating concentratia si temperatura necesara. Pentru anumite aplicatii poate fi avantajoas incalzirea intregii cantitati de apa, dispersarea eterului de celuloza in apa calda si racirea dispersiei rezultate, pana la dizolvarea completa a eterului de celuloza.
Eteri de celuloza MHEC si MHPC, sorturile granulate
MHEC sau MHPC in forma granulata sunt mai usor de dispersat decat produsul pulbere, dar au nevoie de un timp mai mare de amestacare pentru dizolvarea completa. Tipurile MHEC si MHPC granulate pot fi dispersate in apa rece fara formarea de aglomerari. Dispersarea in apa calda este posibila dar nu si necesara. In functie de intensitatea amestecarii, procesul de dizolvare a tipurilor granulate MHEC si MHPC este in mod normal complet in 60 de minute.
Hidroxietilceluloza HEC granulata
Tipurile HEC in forma granulata precum si tipurile granulate si pulbere pentru industria farmaceutica pot fi dispersate in apa rece si calda, indiferent cat de fin/granulat este eterul de celuloza. Cu toate acestea, pot apare aglomerari daca temperatura este prea ridicata (peste 80 °C). Timpul necesar pentru dizolvarea completa a acestor tipuri de HEC este similar cu cel necesar pentru tipurile MHEC si MHPC.
Hidroxietilceluloza HEC pulbere
Tipurile HEC sub forma pulbere sunt tipuri cu solubilitate intarziata.
Toate tipurile HEC pulbere prezinta o solubiltate intarziata (usoara), in afara celor pentru aplicatii farmaceutice.
Utilizand un agitator, tipurile de eteri de celuloza cu solubilitatea intarziata pot fi usor trecute in suspensie, in apa cu pH neutru, fara formarea de aglomerari. Pentru eterii de celuloza cu solubilitate intarziata, procesul de dizolvare incepe numai dupa ce toate particulele de eteri sunt complet dispersate. Acest efect se datoreaza tratamentului chimic superficial al celulozei. Desi eterii de celuloza nu este complet dizolvati, tratamentul de suprafata impiedica eterii de a fi acoperiti rapid de un strat de gel, care poate impiedica considerabil procesul de dizolvare.
Ajustarea pH la valori alcaline poate elimina solubilitatea intarziata. Valoarea pH trebuie ajustata dupa ce procesul de dizolvare al eterilor de celuloza este complet. Cresterea valorii pH inainte de dispersare duce la aparitia de aglomerari. Ajustarea pH la valori intre 3 si 6 nu este recomandata pentru tipurile de eteri de celuloza cu solubilitate intarziata, deoarece acesta ar prelungi in mod considerabil timpul de dizolvare (pina la cateva ore). Valori extreme ale pH (<3 si >12) pot conduce la descompunerea chimica a moleculelor de eteri de celuloza.
Metil celuloza poate fi considerat un termen generic pentru amestecul de eteri de celuloza eterificati. Acesti eteri de celuloza au in comun metoxilarea. In plus, conversia poate fi obtinuta cu etilen oxid sau cu propilen oxid.
Tipurile MHEC si MHPC sunt eteri de celuloza solubili in apa, neionici, care pot creea urmatoarele efecte: capacitate mare de retentie a apei, capacitate de liant, ingrosare, capacitate de coloid de protectie si efecte de formare a filmului.
Aceste produse contribuie la un profil de proprietati unic si remarcabil intr-o serie de produse pentru diferite aplicatii - de exemplu compounduri pentru constructii si vopsele, ceramica sau detergenti.
Datorita avantajelor conferite de proprietatile sale, hidroxietil celuloza este unul dintre eterii de celuloza cei mai utilizati.Portfoliul include:
Tipurile HEC si derivatii lor sunt eteri de celuloza solubili in apa, neionici, care confera urmatoarele efecte: ingrosare, proprietati pseudoplastice, retentie de apa, efect de coloid de protectie, formare a filmului si grad inalt de toleranta la saruri.
Aceste produse contribuie la un profil de propriatati unic si remarcabil intr-o serie de produse pentru diferite aplicatii - de exemplu vopsele, polimerizare, materiale de constructie, detergenti.
In afara de eteri de celuloza, exista si aditivi pulbere pentru utilizare in materiale de constructie:
Aceste produse contribuie la un profil de proprietati unic si remarcabil si sunt aplicate in materiale de constructie ca auxiliari pentru co-ingrosare sau pentru antrenarea de aer si ca agenti de umectare si plastifiere.
Materialele de acoperire sunt lichide, sau cu o consistenta apropiata de cea a pastelor sau pulberilor, care sunt aplicate de obicei cu o pensula, rola de vopsit sau prin pulverizare. Acestea constau din lianti si alte materiale cum ar fi pigmenti, coloranti, materiale de umplutura, solventi si alti aditivi.
In domeniul materialelor pentru acoperire cele mai folosite tipuri de eteri de celuloza sunt:
Impactul in vopsele:
Datorita numeroaselor sale proprietati, eterul de celuloza este un component important in produsele de acoperire pe baza de apa si cele in pasta. Urmatoarele proprietati ale eterului de celuloza sunt esentiale pentru optimizarea materialelor de acoperire:
Consistenta pentru aplicare - eterul de celuloza asigura consistenta necesara, viscozitatea sau curgerea, pentru a face usoara aplicarea. In mod normal, viscozitatea trebuie marita, de aceea eterul de celuloza este utilizat ca ingrosator sau aditiv de ingrosare.
Cantitatea de eter de celuloza utilizata determina nivelul de viscozitate. In timpul aplicarii se doreste o scadere a viscozitatii odata cu cresterea efortului de forfecare. Dependenta viscozitatii de efortul de forfecare este specifica pentru orice tip de eter de celuloza si de respectivul nivel de viscozitate. Dependenta viscozitatii de efortul de forfecare este utila la optimizarea proprietatilor de aplicare ale sistemului de acoperire, cu respectarea rezistentei la roluire, pensulare si a comportamentului la imprastiere.
Datorita efectului sau de ingrosare in vopsele, eterul de celuloza actioneaza ca stabilizator al componentelor dispersate. Formarea de serum (tendinta de precipitare manifestata de componentele insolubile precum pigmenti si materiale de umplutura) este mult scazuta sau chiar complet stopata. Ca rezultat, materialul de acoperire este protejat la sedimentarea usoara a componentelor sale si este astfel stabil in timpul depozitarii.
Retentia de apa - O importanta proprietate a eterului de celuloza este capacitatea sa pronuntata de retentie a apei. Previne penetrarea apei prea rapid in substratul absorbant ceea ce se transpune intr-o mai buna aderenta la substrat. In forma sa maxima, acest efect presupune retentia apei in materialul de acoperire in timpul uscarii. Se asigura o formare a filmului uniforma si se evita astfel aparitia crapaturilor.
Efectul de retentie a apei a eterului de celuloza asigura un timp deschis (open time) suficient pentru aplicare, in special in cazul unor proportii mari de pigmenti si materiale de umplutura. In vopsele, eterul de celuloza ajuta la o buna egalizare si lucrabilitate (cu pensula sau/si rola).
In sistemele tip pasta precum adezivii pentru placi ceramice, apa retinuta prin adaosul de eter de celuloza permite uscarea uniforma si formarea filmului. Eterul de celuloza asigura un timp deschis (open time) mare pentru aplicare si o buna umectare a placilor ceramice.
Retentia de apa in vopsele si sisteme pasta depinde in special de concentratia de eter de celuloza si de temperatura substratului.
Capacitatea de legare - In special in vopselele de tip tempera, eterul de celuloza actioneaza ca liant combinand particulele solide si aderandu-le la substrat. Eterul de celuloza are o putere de aderenta mare, putere mare de legare si aderenta in stare uscata. Din aceste motive, acesta asigura a buna legatura intre vopsea si substrat si tipurile MHEC sunt utilizate in adezivii de tapet de calitate superioara. Liantii sunt parti non-volatile ale fazei lichide care formeaza filmul, respectiv acoperirea impreuna cu pigmentii si materialele de umplutura.
Functionarea ca si coloid de protectie - Materialele de acoperire sunt predominant dispersii ale pigmentilor si materialelor de umplutura intr-un mediu apos. Eterul de celuloza are functia de coloid de protectie si previne aglomerarea si posibila agregare a particulelor solide. Aceasta conduce la o buna stabilitate la depozitare si o usoara agitare in caz de sedimentare.
Din cauza structurii sale inalt moleculare si a proprietatilor specifice precum solubilitatea in apa si capacitatii de legare a apei, eterul de celuloza este un coloid de protectie foarte eficient. Ca urmare, este utilizat la scara larga in alt domeniu de aplicatie precum polimerizarea, in vederea evitarii coagularii polimerului.
In plus, stabilitatea la depozitare, open-time, imprastierea, egalizarea, puterea de acoperire si formarea filmului materialelor de acoperire sunt imbunatatite prin utilizarea de eter de celuloza.
Vopselele pe baza de apa, denumite in continuare vopsele, apartin materialelor de acoperire. Ele sunt utilizate in principal pentru protejarea si decorarea interioara a peretilor si tavanelor dar si pentru aplicatii exterioare.
Vopselele speciale cu o concentretie volumetrica pigmentara (PVC) mare datoreaza proprietatile lor bune de procesare, utilizarii eterilor de celuloza. Concentratia volumetrica pigmentara descrie proportia de pigment si material de umplutura tinand seama de volumul total al filmului uscat.
Clasificarea domeniilor de aplicatie ale eterilor de celuloza in vopsele poate fi facuta in functie de concentratia volumetrica pigmentara, sau in functie de liantul utilizat. Urmatoarele domenii de aplicatie sunt descrise aici:
Vopsele de interior - Vopselele de interior sunt utilizate pe scara larga pentru decorarea si protectia peretilor interior si tavanelor. Separat fata de majoritatea vopselelor emulsionate utilizate la interior, vopselele solide sunt utilizate pentru o structurare suplimentara a suprafetei. Vopselele de interior sunt clasificate in functie de rezistenta lor la frecare umeda, putere de acoperire, reflectanta (luciu) si dimensiunea maxima a particulei.
Vopselele emulsionate pentru interior, definite adesea ca vopsele de interior, apartin grupului celor mai comune acoperiri utilizate. Separat de proprietatile lor decorative si de protectie, ele faciliteaza curatarea tavanelor si peretilor interiori. Eterul de celuloza este adaugat in principal pentru a imbunatati lucrabilitatea, pensulabilitatea, efectul de colorare, reacoperirea si stropirea. Influenteaza de asemenea rezistenta la frecare, luciul si comportamentul reologic. In vopselele emulsionate de interior, cel mai frecvent se utilizeaza HEC si MHEC cu un nivel de viscozitate mediu sau mare, granulate sau pulbere, cu solubilitate intarziata.
Vopselele solide, cunoscute si ca vopsele inalt tixotropice sunt utilizate exclusiv in sectorul construieste singur (do-it-yourself). Aceste tipuri de vopsele sunt utilizate pentru efectele decorative la peretii interiori si tavane. In plus fata de efectul lor coloristic, cu vopselele solide se poate obtine o suprafata structurata. Vopselele solide pot fi aplicate numai cu roler special, cu design adecvat scopului. Ele au o tentinda de improscare redusa si de aceea produc minimum de murdarie. Nu pot fi colorate dupa fabricare (numai in timpul fabricarii).
Pentru reglarea vascozitatii acestora, in vopselele solide se utilizeaza HEC- si MHEC cu viscozitate medie, in combinatie cu ingrosatori sintetici.
Vopsele de exterior - Vopselele exterioare sunt utilizate in scop decorativ dar si in scopul protejarii suprafetelor de influenta intemperiilor. Substraturile potrivite includ tencuielile (minerale si pe baza de polimer), betonul, caramida sau alta vopsea.
Vopselele emulsionate exterioare protejeaza suprafata substratului prin formarea unui film izolator, flexibil. Acest film are o permeabilitate mica la vapori si actioneaza ca o bariera efectiva impotriva gazelor acide (bioxid de carbon, bioxid de sulf). Din cauza absorbtiei de apa redusa, fatada este protejata pentru multi ani impotriva efectelor daunatoare ale apei si ploii. Vopselele emulsionate exterioare pot fi colorate cu toate tipurile de pigmenti organici sau anorganici rezistenti la intemperii.
In vopselele exterioare se recomanda HEC si MHEC cu vascozitate medie.
Vopselele siliconice sunt utilizate predominant in aplicatii la exterior. Ele sunt o combinatie de rasina siliconice emulsionata si o dispersie de polimer ca liant. Formularea beneficiaza de combinarea unei capacitati mari de legare a pigmentului, datorata emulsiei de polimer cu proprietatile excelente de respingere a apei, ale rasinii siliconice.
Cantitatea de rasina siliconica (aproximativ 1:1 in proportie cu cea a emulsiei) realizeaza o suprafata hidrofoba cu pori deschisi. Aceasta, conduce la o rezistenta foarte buna la ploaie si in acelasi timp la o mare permeabilitate la vapori de apa. Vopselele pe baza de rasini siliconice pot fi colorate numai cu pigmenti anorganici. In acord cu structura cu pori deschisi, ele sunt pretabile pentru finisari mate.
Pentru ingrosarea vopselelor siliconice se recomanda utilizarea HEC si MHEC cu viscozitate medie.
Coloranti - Vopselele total colorate (tinters) sunt vopsele emusionate ne-albe. Ele sunt utilizate in forma nediluata pentru acoperiri colorate (vopsele total colorate) sau amestecate cu vopsele de interior sau exterior, inainte de utilizare (tinter).
Vopselele colorate (tinters) trebuie sa fie compatibili cu un numar mare de vopsele emulsionate. In vopselele colorate (tinters) se pot utiliza numai HEC cu viscozitate joasa sau medie.
Vopsele pulbere - Vopselele pulbere sunt formulari in pulbere si sunt preparate prin amestecarea cu apa numai cu putin timp inainte de aplicare. Sunt utilizate atat pentru aplicatii la interior cat si pentru aplicatii la exterior.
Vopselele pulbere sunt una din noile dezvoltari in sectorul de vopsele si detin un segment mic de piata. Au un numar de avantaje legate de protectia mediului cum ar fi lipsa solventilor si a conservantilor, greutate si volum de ambalare redus, costuri scazute de ambalare si stabilitate la frig in timpul depozitarii. Adaosul de eteri de celuloza in vopselele pulbere conduce la o consistenta de prelucrare imbunatatita.
In vopselele pulbere se recomanda a fi utilizate HEC si MHEC cu viscozitate mica sau medie.
Vopsele pe baza de lianti minerali - Vopselele pe baza de lianti minerali contin ca lianti compounduri anorganice ca: var, ciment si sticla solubila. Prin adaosul de eter de celuloza, se confera vopselelor minerale nivelul de consistenta potrivit pentru aplicare. Tipul potrivit de eter de celuloza trebuie ales in principal in functie de liantul mineral.
Vopselele silicatice au ca liant sticla solubila. Dupa aplicare, are loc silificarea si formarea unui film discontinuu pe substrat. Acesta conduce la o permeabilitate excelenta la vapori de apa. Vopselele silicatice sunt utilizate adesea pentru renovari si pentru acoperirea unor cladiri vechi de fabrici.
Vopselele silicatice pure prezinta adesea o mare capacitate de retinere a apei care poate fi influentata prin adaosul unui agent de hidrofobizare. Adaosul de eter de celuloza la aceste vopsele alcaline in majoritate, provoaca obtinerea consistentei optime pentru aplicare.
Se recomanda HEC cu viscozitate medie.
Vopselele pe baza de lapte de var sunt barbotine apoase ale varului hidratat cu adaos de pigment. Reactia chimica a varului hidratat cu bioxidul de carbon din atmosfera produce formarea unui acoperiri non-film care nu este rezistent la gazele acide.
Se aplica numai in scopuri de restaurare, in climate fierbinti unde pot fi utilizate atat la interior cat si la exterior . Adesea au putere de acoperire mica si trebuie aplicate mai multe straturi. Consistenta si proprietatile de aplicare pot fi imbunatatite prin adaosul de MHEC, care permite de asemenea o pigmentare mai mare. Adaosul dispersiilor de polimer previne aparitia cretarii. Vopselele de var nu se pot utiliza pe substraturi continand ipsos.
In vopsele de var se recomanda in mod normal tipurile MHEC.
Vopselele de ciment se livreaza in forma uscata. Pot life-ul lor, dupa amestecul cu apa, este limitat. Intarirea hidraulica conduce la o suprafata dura, poroasa.
In Europa de Vest, aceste tipuri de vopsele sunt rar utilizate in prezent. Ele au o rezistenta la intemperii moderata, in mod particular la ploaie, si pot fi colorate numai cu pigmenti anorganici, rezistenti la alcalii. Consistenta si retentia de apa pot fi corectate prin aditia de eter de celuloza.
In vopselele pe baza de ciment, se recomanda tipurile MHEC cu viscozitate joasa sau medie.
Alegerea tipului de eter de celuloza depinde de aplicatie si de cerinte precum luciu, imprastiere, curgere, putere de acoperire sau compatibilitatea cu pigmentul. Cele mai utilizate tipuri sunt: MHEC si HEC.
Eterii de celuloza in alte aplicatii
In cadrul industriei de vopsele eterul de celuloza este utilizat in multe alte aplicatii asociate. Printre cele mai importante sunt vopselele decapante, tempera si glazuri.
In aceste aplicatii, eterul de celuloza este responsabilul principal pentru consistenta, in scopul asigurarii unor bune proprietati de aplicare sau actioneaza si ca liant si coloid de protectie.
Paste decapante - Vopselele paste decapante corespunzatoare permit si faciliteaza indepartarea stratului vechi de vopsea. Printr-un efect partial de dizolvare sau o rectie chimica, ele reduc duritatea si aderenta stratului de acoperire la substrat. Ca urmare este usurata indepartatea mecanica ulterioara.
Eterul de celuloza are un efect de ingrosare puternic in pastele decapante si permite aplicarea acestora in strat gros. In paste decapante se recomanda utilizarea tipurilor speciale, foarte eficiente.
Pastele decapante pe baza de hidrocarburi halogenate precum clorura de metilen sunt recomandate teoretic pentru indepartarea oricarui tip de acoperire. Efectul incepe imediat dupa aplicare si stratul poate fi indepartat usor. Din punct de vedere ecologic si toxicologic, se recomanda a se folosi produse care nu contin hidrocarburi halogenate.
Pentru paste decapante universale se recomanda tipurile MHEC modificata pentru efecte de ingrosare speciala cu viscozitate medie si mare.
Pastele decapante fara Halogen s-au dezvoltat pentru sisteme de acoperire speciale cu produse corespunzatoare. Efectul lor complet incepe in mod semnificativ dupa aplicarea initiala. Vopselele decapante-pasta ofera avantaje ecologice distincte si astfel protectia clientului si a mediului inconjurator.
Pentru a produce vopsele decapante-pasta, se utilizeaza in mod normal eteri de celuloza speciali, tip MHPC.
Tempera - Vopselele de tip tempera sunt printre cele mai vechi vopsele de interior. Ele sunt disponibile ca pulbere si sub forma de pasta. Separat de reglarea consistentei, in acest caz, eterul de celuloza actioneaza de asemenea si ca liant. Vopselele tempera nu sunt rezistente la apa si nu pot fi reacoperite. In industria actuala de vopsele ocupa un loc minor.
In tempera se utilizeaza in mod normal tipurile MHEC cu viscozitate joasa sau medie.
Glazuri - Glazurile sunt acoperiri care confera o finisare transparenta si/sau translucida. Se folosesc pigmenti foarte fini sau deloc si o cantitate mare de liant. Acestea actioneaza ca o bariera de protectie si sunt utilizate pentru design-ul decorativ al peretilor la interior sau exterior.
Pentru glazuri se prefera tipurile HEC cu o viscozitate medie.
Eterii de celuloza in sisteme de tip pasta
Sistemele pasta sunt acoperiri cu o consistenta gen pasta precum tencuieli pe baza de rasini sintetice modificate, adezivi ceramici pe baza de emulsie, adezivi pe baza de emulsie si acoperiri speciale.
In sistemele pasta, eterul de celuloza se utilizeaza predominant pentru optimizarea consistentei, pentru imbunatatirea elasticitatii, intensificarea rezistentei la incovoiere si prelungirea timpului deschis (open-time).
Tencuieli pe baza de rasini sintetice modificate - Tencuielile pe baza de rasini sintetice modificate sunt aplicate ca strat de finisare si au functii decorative si de protectie. Ele pot fi albe sau colorate. La alegere, un strat colorat se poate aplica mai tarziu. Efecte structurate aditionale pot fi obtinute prin diferite tehnici de aplicare. Tencuielile pe baza de rasini sintetice modificate pot fi clasificate in functie de procedeul de aplicare - prin pensulare, roluire, stropire etc.
Eterul de celuloza imbunatateste aderenta la substrat si rezistenta la incovoiere. Adaosul de eter de celuloza imbunatateste mai departe elasticitatea, regleaza consistenta si confera un timp deschis(open-time) mai mare la aplicare.
Pentru tencuieli pe baza de rasini sintetice modificate se recomanda utilizarea tipului MHEC cu un nivel de viscozitate scazut spre mediu.
Adezivi pentru placi ceramice pe baza de emulsie - Adezivii ceramici pe baza de emulsie sunt utilizati pentru montarea placilor prin asa numita metoda in strat subtire. Dupa montare, ele sunt foarte flexibile si pot fi utilizate pe substraturi foarte diferite.
In adezivii ceramici pe baza de emulsie, eterul de celuloza este utilizat pentru reglarea proprietatilor de aplicare si pentru retentia de apa. Separat de buna aderenta la substrat, eterul de celuloza ajuta la atingerea cerintelor stringente pentru adezivii ceramici utilizati in metoda in-strat-subtire.
In adezivii ceramici pe baza de emulsie, se recomanda utilizarea tipurilor HEC si MHEC cu viscozitate medie.
Adezivi pe baza de emulsie - Adezivii pe baza de emulsie contin (adezivi cu umplutura) sau nu (adezivi fara umplutura) material de umplutura.
Adezivii pe baza de emulsie care contin material de umplutura sunt utilizati adesea pentru lipirea placilor decorative din polistiren expandat si a tapetului. Similar adezivilor ceramici pe baza de emulsie, ei sunt aplicati prin metoda Ťin-strat-subtire ť. In adezivii pe baza de emulsie cu continut de material de umplutura, eterul de celuloza este utilizat in special pentru reglarea consistentei de aplicare, pentru asigurarea unei bune aderente la substrat si obtinerea unui timp deschis (open-time) suficient de mare pentru aplicare.
Se recomanda utilizarea de tipurile MHEC cu viscozitate mare.
Acesti adezivi sunt folositi pentru lipirea tapetului, a fibrei de sticla si a materialelor textile. Cerintele sunt similare cu cele pentru adezivii ceramici si adezivii ceramici pe baza de emulsie si pot fi atinse prin utilizarea optimizata a eterului de celuloza. Experienta a aratat ca in adezivii pe baza de emulsie fara umplutura, cele mai bune rezultate s-au obtinut utilizand tipurile MHEC cu viscozitate ridicata.
Finisare lucioasa - Acoperirile lucioase sunt utilizate in special pentru finisarea decorativa a suprafetelor. Colorate in mod diferit, compusii de mistrie vor adauga efecte colorate speciale sau luciu (ex. Finisare venetiana). O serie de straturi suprapuse, cu sablare intermediara si folosirea diferitelor vopsele intr-un amestec neomogen, rezulta in suprafete netede cu efect tip marmura. Polisarea si ceruirea ulterioara vor imbunatati aspectul suprafetei.
In aceste compounduri, eterul de celuloza se utilizeaza pentru reglarea proprietatile de aplicare. Se recomanda utilizarea de eter de celuloza de tip HEC cu viscozitate scazuta.
Compounduri de imbinare aplicabile prin sprayere - Compundurile de rosturire aplicabile prin pulverizare (spray-ere) sunt tencuieli gata de aplicare care sunt aplicate cu unitati speciale de stropire fara aer comprimat. Se pot obtine diferite texturi prin varierea conditiilor de pulverizare, de ex. duza, debit si cantitatea aplicata care poate fi de asemenea tratata ulterior.
Pentru acest gen de aplicatii se recomanda folosirea combinatiilor speciale de diferite tipuri MHEC si HEC cu ingrosatori anorganici.
In domeniul materialelor pentru acoperire cele mai folosite tipuri de eteri de celuloza sunt:
Polimerizare
Exista coloizi de protectie pe baza de eteri de celuloza pentru polimerizarea in emulsie si in suspensie.
Coloizii de protectie sunt compusi inalt moleculari, solubili in apa, care imbunatatesc stabilitatea coloizilor. Cu structura de coloid "coloid (de la gr.) Kolla = adeziv", acopera domeniul dintre moleculele individuale si solidele compacte.
Cel mai frecvent se utilizeaza ca si coloizi de protectie tipul HEC (hidroxi etil celuloza) cu viscozitate joasa la medie.
Emulsiile sau suspensiile sintetice pe baza de apa sunt produse in 3 procese diferite folosind eter de celuloza ca si coloid de protectie, adesea in combinatie cu alti auxiliari:
In functie de dimensiunea particulelor produse, se diferentiaza polimerizarea in emulsie si polimerizarea in suspensie.
Polimerizarea in emulsie
Este un procedeu de productie foarte raspandit utilizat pentru obtinerea emulsiilor apoase de polimeri sintetici precum poliacrilati, polivinil acetat si a unui numar de copolimeri. Atunci cind sunt folositi pentru producerea de vopsele emulsionate sunt numiti adesea lianti. Initiatorul folosit pentru inducerea reactiei radicalice in lant este dizolvat in faza apoasa. Diametrul particulelor de polimer rezultate este de aproximativ 0.05 la 5 ľm.
Polimerizarea in suspensie
Este un procedeu utilizat pentru obtinerea suspensiilor sintetice de polistiren expandabil (EPS) si policlorura de vinil (PVC). Agitarea intensa si utilizarea coloidului de protectie conduc la emulsionarea monomerului insolubil in faza apoasa. Initiatorul folosit pentru a initia reactia de polimerizare in lant este dizolvat in faza organica, care este picatura de monomer. Diametrul particulelor de polimer rezultate este de aproximativ 10 la 500 ľm.
Ambele mecanisme de reactie au la baza polimerizarea cu radicali liberi. In mod obisnuit, emulsiile de polimer sintetic sunt produse prin polimerizarea in emulsie, folosind procedee semi-continui, cand monomerul sau amestecul de monomeri este introdus in reactor in conditii bine stabilite si este initiata reactia de polimerizare.
In general, un procedeu discontinuu are ca si componenti principali:
Monomeri: Acetat de vinil si co-monomeri, ex. VeoVa 10 (esterul vinilic al acidului versatic), n-butil acrilat.
Eterul de celuloza HEC are influenta asupra unor caracteristici calitative foarte importante ale emulsiilor sintetice de polimer, cum ar fi:
Eterii de celuloza speciali, o clasa noua de coloizi de protectie, combina proprietatile pozitive ale tipului HEC cu excelente proprietati suplimentare cum ar fi:
Monomeri: Stiren - producerea polistirenului expandabil (EPS)
Influenta asupra dimensiunii particulei:
- cu cat este mai scazuta viscozitatea eterului de celuloza cu atat particula este mai grosiera;
Influenta asupra distributiei particulei:
-raportul dintre cantitatea de eter de celuloza si stiren determina deplasarea raportului intre particule fine si grosiere.
Aplicatii speciale
Separat de aplicatiile in domeniul materialelor de constructie, industria de vopsele, polimerizare si industria farmaceutica, datorita naturii sale universale, eterul de celuloza poate fi folosit in numeroase aplicatii speciale.
Cosmetica - Inerta dpdv fiziologic, hidroxietil celuloza standard -HEC- este un ingredient bine cunoscut in cosmetice. In functie de cerintele clientului pentru ingredienti de puritate speciala si de produsul cosmetic final, de exemplu pentru cosmetice cu aplicatii farmaceutice, recomandam de asemenea utilizarea HEC de inalta puritate.
Hidroxietil celuloza este listata in Dictionarul si Indreptarul International de Ingredienti Cosmetici (INCI) cu multiple posibilitati de utilizare in produse de ingrijire orala, a parului si pielii.
Eterii de celuloza au in special rol de liant, stabilizator al emulsiei, agent de formare a filmului si de crestere a viscozitatii in sistemele apoase. Ele confera pastei de dinti consistenta necesara, ingroasa sampoanele, produsele de clatire si cele de modelare a parului, ajuta la colorarea parului, va ofera un aspect personal optim atunci cand este utilizata in rujuri de buna calitate, rimel si crema de ras si va ajuta sa va simtiti fresh atunci cand este utilizata in deodorante roll-on.
Detergenti - Metilhidroxietil celuloza (MHEC):
Industria petroliera - eterul de celuloza este utilizat de asemenea in industria petroliera. Este un stabilizator foarte eficient si regleaza pierderile de apa in noroiul de forare care contine concentratii mari de cationi bivalenti precum Ca2+ si Mg2+.
Protectia culturilor - Acoperirea si tratarea semintelor eterul de celuloza actioneaza ca liant in timpul pregatirii semintelor pentru insamintarea culturilor. Samanta, care in mod normal nu are o forma circulara prezentand muchii ascutite si care nu se preteaza la insamintarea cu utilaje industriale, este adusa la o forma care o face utilizabila pentru insamantarea mecanica.
Se recomanda eter de celuloza modificat si imbunatatit pentru urmatoarele avantaje:
Celuloza
Celuloza este una din cele mai raspandite polizaharide in natura, fiind substanta de baza ce intra in componenta peretelui celular a celulei vegetale. Aceasta are aceasi formula bruta ca si amidonul (C6H10O5)n, unde n poate atinge cifra miilor. Celuloza este o substanta solida, alba, insolubila in apa si ceilalti solventi organici, desi poate manifesta proprietati higroscopice. Celuloza, deoarece are 3 grupe hidroxil OH supuse esterificarii, mai poate fi scrisa sub forma n.
Celuloza este un biopolimer al glucozei (Krassig, 1993). Structura glucozei este aratata in Figura 1. Doua molecule de glucoza reactioneaza pentru a forma celobioza (Figura 2), care este unitatea chimica de baza a moleculei de celuloza (Figura 3).


Figura 1 - Celuloza

Figura 2 - Celobioza

Figura 3 - Structura celulozei
Legaturile de hidrogen din celuloza
In celuloza exista
atat legaturi intra- cat si inter- moleculare de hidrogen. Acest lucru confera
cristalinitate celulozei, o morfologie diferita si un ansamblu elementar al
fibrelor ( Krassig, 1993). Legaturile de hidrogen dintre O-3-H so O-5' a
unitatii glucopiranozei adiacente si O-2-H si O-6' in celuloza cristalina
nativa (Figura 4) pot fi observate prin difractie de raze X, NMR si
spectroscopie IR
Legaturile intramoleculare de hidrogen sunt
relatate cu ajutorul conformatiei sarcinii singulare si a rigiditatii
celulozei. Legaturile intermoleculare de hidrogen sunt relatate cu ajutorul
cristalinitatii si morfologiei celulozei. Legaturile intermoleculare de
hidrogen dintre gruparile OH ale pozitiilor adiacente C-6 si C-3 ale moleculei
de celuloza sunt localizate pe acelasi plan al retelei ![]()

Figura 4 - Legaturile de hidrogen din celuloza
Cristalinitatea celulozei
Datorita
legaturilor puternice de hidrogen si a slabelor forte van de Wall's, celulozele
sunt de fapt un amestec de celuloze
amorfe si cristaline ![]()
Speciile si procesul determina raportul dintre celuloza amorfa si celuloza cristalina sau gradul de cristalinitate. Celuloza bacteriala are un grad de cristalinitate de cca 75% si un domeniu de cristalinitate de 5-6 nm. Bumbacul are un grad de cristalinitate de 40-45% si un domeniu de cristalinitate de 4-5 nm. Densitatea celulozei cristaline intr-un singur cristal este de 1.59 g/cm3 in comparatie cu densitatea fibrei de celuloza naturala pura care este de numai 1.55 g/cm3.
Modele de celuloza
Cateva modele au fost propuse pentru explicarea structurii celulozei. Datorita legaturilor puternice de hidrogen si a slabelor forte van de Wall's, sarcinile adiacente celulozei formeaza fibre elementare cu o grosime medie de cca 3.5 nm care contine atat molecule cristaline cat si amorfe. Fibrele elementare sunt agregate de celuloza de lungimi si latimi variate care depind de sursa si procese. Hemicelulozele sunt incluse in fibrele elementare sau exista intre acestea.
Macromolecule de celuloza - Figura 5

Figura 5
Fibre elementare - Figura 6

Figura 6
Microfibre - Figura 7

Figura 7
Fibre - Figura 8

Figura 8
Structura chimica simplificata a HEC
D - gradul de polimerizare, unitati individuale de anhidro glucoze
HEC
Tipurile folosite pentru vopsele latex
Vascozitatea solutiilor apoase la 20 C ( 68 F)
Masurate in mPas (cP) cu Vascozimetrul Hasse de tip
|
Conc. 2% |
Conc. 1% |
||
|
Standard | |||
|
Standard & Biodegradabil | |||
|
Cu solubilitate intarziata | |||
|
Asociativi |
Eterii de celuloza ar putea fi recomandati ca si agenti polimerici cu suprafata activa si pot contribui la dispersia pigmentilor prin imbunatatirea curgerii in timpul frecarii. Eterul de celuloza poate de asemenea sa ajute la stabilizarea pigmentilor impotriva flocularii.
Ingrosatorii celulozici in momentul dizolvarii in apa, la turatie mare, se formeaza bule de aer. In acest caz utilizarea unui antispumant este necesara.
Eficienta ingrosarii depinde de

HASE
Polimerii emulsiile alcalini solubili modificati hidrofobic (HASE) sunt o importanta categorie de modificatori reologici pentru aplicatii de acoperire pe baza de apa. Acestia sunt, de obicei, preparati ca si terpolimerii, prin polimerizarea in emulsie a acrilatului de etil (EA), acidului metacrilic (MAA) si macromonomeri asociativi. Rezultatele reologice ale modelului HASE sunt influentate de trei variabile cheie: dimensiunea lantului hidrofob, continutul de acid si greutatea moleculara. Sunt discutabile si contributiile relative a asociatiei hidrofobice, lantul de expansiune si lungimea lantului polimeric.
Toate solutiile de ingrosatori au prezentat o vascozitate constanta scazuta la deformari mici. La aceeasi compozitie molara, o dimensiune hidrofoba mai mare a avut ca rezultat vascozitati mai mari la eforturi mai mari cu un comportamnet de subtiere.
Cantitatea de acid monomer in polimerii HASE poate influenta echilibrul dintre atractia hidrofobica si fortele de repuslsie electrostatice. S-a constata ca un minim de 15% de acid metacrilic a fost recomandata ca efect de dizolvare si ingrosare a polimerilor de model HASE. Peste acest procent
FORMULARI CU MODIFICATORI REOLIGICI ASOCIATIVI
Adaugarea unui modificator reologic este necesara pentru a obtine caracteristici tipice unei formulari. Denumiti ingrosatori, acesti aditivi au o influenta asupra sistemului de a modifica consistenta sau vascozitatea acestuia. Produsul trebuie sa prezinte o deformatie acceptabila atata in procesul de fabricatie cat si la aplicare.
Clasificarea modificatorilor reologici
Modificatorii reologici pot fi clasificati in produse derivate naturale sau sintetice. Exemple de naturali ar fi: amidon, celuloza, de alge si de proteine. Acestia permit includerea de blocuri de unitati polizaharidice sau amino acizi, pentru a furniza eficient apa, modificatori reologici solubili.
Trei clase generale pe baza de polimeri acrilici sintetici cuprind un grup de produse care au fost utilizate ca modificatori reologici in diverse aplicatii. Prima clasa este pe baza de homopolimeri si de copolimeri ai acidului acrilic, si a esterilor acestora si acid maleic. Aceasta grupa se numeste emulsii solubil alcaline (ASE). Modificarea acestei grupe prin adaugare de polimeri hidrofobici duce la cea de-a doua categorie de modificatori sintetcii reologici cunoscuta sub numele de emulsii alcaline modificate hidrofobic (HASE). Acest grup de polimeri, mai frecvent folosit ca si ingrosatori asociativi, ofera un control mai mare asupra reologiei compusilor decat cele de tip ASE. Cea de-a treia categorie de modificatori reologici sintetici sunt rasinile uretane etoxilate modificate hidrofobic (HEUR). Acest grup de polimeri de obicei este alcatuit din unitati de polietilen glicol de lungimi diferite, conectate prin legaturi uretanice si care se termina cu grupari hidrofobice. Spre deosebire de clasele ASE si HASE, modificatorii reologici HEUR sunt substante neionice, si nu depinde de alcalinitate pentru activarea ingrosarii.
Terminologie reologica
Reologia poate fi descrisa ca un raspuns al unui compus la stresul aplicat materialului in timpul productiei, prelucrarii si/sau aplicarii. Reologia masaoara schimbarea vascozitatii unei substante odata cu schimbarea vitezei de amestecare, sau o schimbare in vascozitate de-a lungul timpului sub influenta unei viteze de amestecare constanta.
Reologia sau curgerea unui compus pot fi clasificate ca newtoniene, pseudoplastice, tixotropice sau dilatante in functie de valoarea masurata de compus la o viteza cunoscuta comparativ cu modelele clasice. Fluxul Newtonian descrie un compus care nu prezinta nici o schimbare in vascozitate odata cu cresterea vitezei de amestecare. Un exemplu clasic este apa. Vopseaua poate fi considerata ca un exemplu care necesita un comportament newtonian. Curgerea pseudoplastica descrie un sistem care prezinta o reducere de vascozitate o data cu cresterea vitezei de amestecare. Vascozitatea va creste daca inceteaza agitarea, desi poate aceasta sa nu creasca in urma agitarii. Acest tip de curgere se refera la o stare de subtiere. Majoritatea modificatorilor reologici de tip ASE si HASE ofera o reologie pseudoplastica dupa aceasta formula, cf. Figurii de mai jos:

Curgerea tixotropica descrie un compus care dezvolta o reducere a vascozitatii in timp la o viteza de amestecare constanta. Ca si comportamnet de subtiere, materialele tixotropice pot recupera vascozitatea in momentul eliminarii sau reducerii vitezei de agitatie.
|
Politica de confidentialitate |
| Copyright ©
2025 - Toate drepturile rezervate. Toate documentele au caracter informativ cu scop educational. |
Personaje din literatura |
| Baltagul – caracterizarea personajelor |
| Caracterizare Alexandru Lapusneanul |
| Caracterizarea lui Gavilescu |
| Caracterizarea personajelor negative din basmul |
Tehnica si mecanica |
| Cuplaje - definitii. notatii. exemple. repere istorice. |
| Actionare macara |
| Reprezentarea si cotarea filetelor |
Geografie |
| Turismul pe terra |
| Vulcanii Și mediul |
| Padurile pe terra si industrializarea lemnului |
| Termeni si conditii |
| Contact |
| Creeaza si tu |