Prezentul studiu constituie continuarea studiului anterior privind obtinerea carbonatului de calciu cu granulometrie fina in conditii de laborator. Procesul obtinerii carbonatului de calciu a avut la baza reactia:
nCaCO3 + mCO2 + H2O <==> Ca(HCO3)2 + (m-1)CO2 + (n-1)CaCO3 (1)
In prima etapa se obtine bicarbonatul de calciu in solutie, iar in a doua etapa, din acesta, prin descompunere, se regenereaza carbonatul de calciu. S-a avut in vedere ca in functie de conditiile experimentale se pot obtine granule de carbonat de calciu de diverse dimensiuni si eventual si in forme cristaline diferite sau preponderent cu una din ele.
In lucrarea de fata se studiaza influenta campului ultra sonic in ceea ce priveste solubilizarea si apoi formarea granulelor de carbonat de calciu.
S-a adoptat studiul celor doua procese, solubilizarea si cristalizarea, in prezenta
radiatiilor ultrasonice, pornind de la considerentul ca majoritatea proceselor de transfer de masa se intensifica in aceste conditii. Este de asteptat ca in camp ultrasonic, la barbotarea dioxidului de carbon in etapa de dizolvare si a aerului, in etapa de cristalizare, sa se produca o deformare a bulelor de gaz, opunandu-se astfel tendintei lor de a lua forma sferica, ceea ce asigura o suprafata mai mare de transfer de masa la interfata. In paralel, este de asteptat ca filmele de la interfata solid-lichid si lichid-gaz sa se subtieze si ca urmare si acest fapt sa contribuie la intensificarea procesului de transfer de masa. Micsorarea timpului de formare a germenilor cristalini si apoi de cristalizare ar contribui la scadereaa probabilitatii formarii aglomeratelor cristaline si ar reduce sansele dizolvarii cristalelor mici si a cresterii celor mari.
Cristalizarea in camp ultrasonic poate duce si la sfaramarea cristalelor si a asociatiilor formate de acestea, ceea ce ar micsora dimensiunile granulelor de carbonat de calciu formate.
Pe parcursul studiului s-a luat in consideratie pozitia elementului generator de radiatie ultrasonica fata de suprafata lichidului inainte de pornirea barbotarii gazului. Distanta pana la suprafata lichidului s-a notat cu ΔH, avand valori pozitive cand este deasupra lichidului si valori negative, cand este cufundat in lichid. Din pacate, nu s-a dispus de un generator de radiatie ultrasonica cu posibilitatea reglarii lungimii de unda a radiatiei, aceasta ar fi dat posibilitatea unui studiu mai aprofundat privind influenta radiatiei US asupra proceselor.
In etapa de dizolvare s-a utilizat carbonat de calciu de calitate p.a.
INSTALATIA DE LABORATOR
In studiul de laborator privind obtinerea carbonatului de calciu cu granulome-trie fina in prezenta radiatiei ultrasonice, atat in etapa de solubilizare a carbonatului de calciu, cat si in cea de descompunere a bicarbonatului de calciu s-a folosit aceeasi instalatie din studiul precedent, usor modificata. In vasul barbotor s-a introdus ele-mentul de transfer a radiatiei US pana la distanta dorita de suprafata lichidului (ΔH), masurata inaintea inceperii barbotarii. Schema instalatiei este prezentata in fig. 1.

Fig. 1. Schema instalatiei de laborator pentru studiul obtinerii carbonatului
de calciu cu granulometrie fina in prezenta radiatiei ultrasonice.
1. Butelie de dioxid de carbon; Compresor de aer; 3. Vas de expansiune; 4. Coloana de uscare cu silicagel; 5. Stut pentru reglarea fina a debitului de gaz barbotat; 6. Rotametru; 7. Coloana barbotare; 8. Element emitator de radiatie ultrasonica; 9. Generator US.
Instalatia este constituita din utilaje curente de laborator si anume:
Butelie de dioxid de carbon unita prin intermediul unui reductor de presiune si apoi prin furtun de cauciuc, de compresor.
Compresor de aer. Butelia de dioxid de carbon functioneaza pe parcursul solubilizarii carbonatului de calciu, iar compresorul, in timpul descompunerii bicarbo-natului de calciu.
Vasul de expansiune s-a introdus pentru a evita fluctuatiile bruste de debit ale gazelor la pornirea instalatiei si pe parcursul barbotarii.
Coloana de uscare contine silicagel marcat cu saruri de cobalt si permite retinerea umiditatii dioxidului de carbon si, respectiv, a aerului. Aceasta nu ar deranja procesul de solubilizare a carbonatului de calciu sau de descompunere a bicarbonatului de calciu, insa ar reduce precizia masurarii debitului gazelor.
Stut de reglare fina. Relarea debitului dioxidului de carbon si, respectiv, al aerului direct la sursa fiecaruia s-a dovedit dificila si de aceea s-a prevazut un stut de reglare fina prin eliminarea continua a unei cantitati de gaz in atmosfera.
Rotametru corespunzator gazului folosit.
Coloana de barbotare este confectionata din sticla. Are un diametru interior de 56 mm, o inaltime initiala de suspensie de 144 mm si o inaltime totala de 160 mm a suspensiei in care s-a introdus elementul de radiatie ultrasonica. In interiorul coloanei este introdus un tub de sticla terminat la partea inferioara cu o frita G1, prin care se distribuie bulele de gaz in masa fazei lichide.
Elementul emitator de radiatie ultrasonica are corpul cu o forma cilindrica acoperit cu masa plastica. La partea inferioara se termina cu o portiune metalica conica, cu varful tesit, iar la partea superioara este legat printr-un cablu electric de generatorul US.
Generatorul de radiatie ultrasonica furnizeaza o radiatie ultrasonica cu frecventa de 35 kherti. S-a utilizat numai 50 din puterea generatorului, pe o durata de cate cinci minute urmata de o pauza de aceeasi durata.
3. STUDIUL SOLUBILIZARII
CARBONATULUI DE CALCIU IN PREZENTA
RADIATIEI ULTRASONICE SI INFLUENTA FRECVENTEI RADIATIILOR ASUPRA PROCESULUI
Pentru a avea posibilitaea compararii rezultatelor obtinute la dizolvarea carbonatului de calciu in prezenta radiatiei US cu rezultatele obtinute in absenta acestei radiatii, pentru inceput s-a lucrat fara a porni generatorul US.
Alegerea corecta a raportului carbonat de calciu-apa pentru obtinerea suspensiei, pe baza datelor publicate, este deosebit de dificila. Bicarbonatul de calciu ca substanta individuala nu se fabrica si probabil, exista numai sub o presiune ridicata a dioxidului de carbon. Ar fi de dorit ca sa se lucreze cu o concentratie a carbonatului de calciu in suspensia apoasa, care, la echilibrul absorbtiei dioxidului de carbon, sa se consume in totalitate. Aceasta ar exclude necesitatea separarii fazei solide nereactionate prin decantare, filtrare sau centrifugare, operatii ce conduc la degajarea unor oarecari cantitati din dioxidul de carbon existent in faza apoasa si astfel perturband echilibrul reactiei (1) in sensul descompunerii bicarbonatului de calciu format. Din aceasta cauza, studiul, in conditiile adoptate, s-a pornit cu o cantitate de carbonat de calciu inferioara celei necesare ajungerii solutiei in final la saturare cu bicarbonat de calciu si dioxid de carbon. Marind pe parcurs raportul solid-lichid al suspensiei, s-a urmarit orientativ raportul mentionat la care ramane nereactionat o cantitate minima din carbonatul de calciu.
Studiul dependentei solubilizarii carbonatului de calciu in functie de durata barbotarii dioxidului de carbon, in absenta radiatiei ultrasonice s-a realizat folosind pentru obtinerea suspensiei o cantitate de 0,0215 g carbonat de calciu si un volum de 350 cm3 apa distilata. Prin suspensie s-a barbotat dioxid de carbon cu un debit de 600 l/h, in decurs de zece minute, s-a oprit barbotarea, s-au decantat eventualele particule de carbonat de calciu nereactionat timp de un minut si apoi, din stratul de la suprafata s-au prelevat 10 cm3 proba care a fost supusa titrarii cu o solutie de HCl 0,01N f = 1,0000 in prezenta de metiloranj. S-a pornit barbotarea si s-au repetat celelalte operatii pana la o concentratie identica a bicarbonatului de calciu in doua probe consecutive. In aceste conditii, practic nu s-au observat particule in suspensie. Pe baza rezultatelor obtinute prin analize s-a calculat cantitatea de carbonat de calciu solubilizat si s-a reprezentat grafic concentratia (mg/dm3) bicarbonatului de calciu (exprimata in carbonat de calciu) in functie de durata barbotarii dioxidului de carbon. Rezultatele sunt prezentate in tabelul 1 si in fig.
Tabelul 1. Solubilizarea carbonatului de calciu in absenta radiatiei US
|
Nr. crt. |
Timp [min] |
VHCl cm3, 0.01 N F = 1.0000 |
Ca(HCO3)2 dizolvat, mg CaCO3 / dm3 |
Din datele tabelului 1 si din fig. 2 se poate constata, ceea ce era de asteptat, o crestere a cantitatii de carbonat de calciu dizolvat in functie de durata barbotarii dioxidului de carbon. In limitele erorilor experimentale, rezultatele sunt similare celor obtinute in studiul anterior.
Tabelul Solubilizarea carbonatului de calciu in prezenta radiatiei US.
(ΔH = 50 mm)
|
Nr. crt. |
Timp [min] |
VHCl cm3, 0.01 N F = 1,0000 |
Ca(HCO3)2 dizolvat, mg CaCO3 / dm3 |
Barbotarea dioxidului de carbon in prezenta radiatiei US s-a pornit prin pozitionarea emitatorului de radiatie la o distanta de suprafata lichidului ΔH = 50 mm. S-a variat frecventa fecventa radiatiei cu scopul de a determina frecventa favorabila procesului. S-a constatat experimental ca influenta radiatiei ultrasonice asupra reactiei chimice si a distributiei granulometrice a particulelor de carbonat de calciu este semnificativa daca se opereaza la 50 % din intensitatea radiatei pe care o poate furniza generatorul US. Masa carbonatului de calciu folosit pentru formarea suspensiei a fost de 0,0216 g. De fiecare data, in primele cinci minute de barbotare a functionat si generatorul US, celelalte conditii fiind identice. Rezultatele sunt prezentate in tabelul 2 si in fig. Tot aici, pentru facilitarea comparatiilor, s-au trasat curbele reprezentand solubilizarea carbonatului de calciu in absenta radiatiei US, precum si prin utilizarea altor distante ΔH ale emitatorului de radiatie US pana la suprafata lichidului la frecventa aleasa a emitatatorului. Influenta frecventei ultrasunetelor asupra distributiei granulometrice a particulelor de cabonat de calciu s-a prezentat in referatul de literatura al etapei I a acestui proiect, iar in aceasta activitate experimentala s-au utilizat acele concluzii.
Rezultatele obtinute la ΔH = 50 mm. arata ca in prezenta radiatiei US, in conditiile adoptate, are loc o micsorare a vitezei de solubilizare a carbonatului de calciu. Acest fapt ar putea avea drept cauze:
Reflectarea unei cantitati importante de radiatie US de catre suprafata lichidului si a bulelor de gaz de la suprafata acestuia;
Retinerea radiatiei US la trecerea prin stratul de aer;
Absorbtia radiatiei US de catre bulele de gaz de la suprafata lichidului, concomitent cu o eventuala spargere mai rapida a bulelor;
Favorizarea degajarii mai rapide a bulelor de gaz ce strabat suspensia si scaderea astfel a duratei de contact a fazelor.
Prin coborirea elementului emitator de radiatie US astfel incat acesta sa fie tangent la suprafata lichida (ΔH = 0 mm), viteza de reactie a crescut pana aproape de viteza de reactie obtinuta fara utilizarea radiatiei US (tabelul 3, fig. 2).
Explicarea cauzelor obtinerii unor rezultate mai slabe decat in absenta radiatiei US sunt aceleasi cu cele aratate mai sus. Trebuie remarcat ca prelevarea de probe din lichid a dus la crearea unui spatiu liber intre emitatorul de radiatie US si suprafata lichida, care dupa prelevarea probei nr. 7 a ajuns la ΔH = 26 mm. De aceea, ar fi fost necesar ca dupa prelevarea fiecarei probe, elementul emitator de radiatie US sa fie coborit astfel incat varful sau sa fie tangent la suprafata lichidului. Avand in vedere faptul ca s-a evidentiat o influenta pozitiva a radiatiei ultrasonice asupra procesulu a fost preferata cufundarea elementului emitator de radiatie ultrasonica inca de la inceput la o adancime care sa previna ca sa contacteze suprafata lichida chiar dupa prelevarea tuturor probelor, deci la o adancime mai mare de 26 mm.

Fig. Solubilizarea carbonatului de calciu in prezenta radiatiei US
la diferite valori ΔH. (. - lipsa US; ▲- ΔH = 50 mm; ○ - ΔH.= 0 mm)
In final, la intreruperea barbotarii dioxidului de carbon, in toate experimentele ale caror rezultate sunt reprezentate in fig. 2, in suspensie au ramas urme de particule de carbonat de calciu nereactionat.
Realizarea procesului cu o pozitionare initiala a elementului emitator de radiatie US la o adancime de 50 mm (ΔH = - 50 mm, masa initiala a carbonatului de calciu - 0,0215 g., volumul apei pentru realizarea suspensiei - 350 cm3, debitul gazului - 500 l/h) a condus la rezultatele prezentate in tabelul 4 si fig. 3
Tabelul 3. Solubilizarea carbonatului de calciu in prezenta radiatiei US.
(ΔH = 0)
|
Nr. crt. |
Timp [min] |
VHCl cm3, 0.01 N F = 1,0000 |
Ca(HCO3)2 dizolvat, mg CaCO3 / dm3 |
|
| |||
Tabelul 4. Solubilizarea carbonatului de calciu in prezenta radiatiei US.
(ΔH = - 50 mm)
|
Nr. crt. |
Timp [min] |
VHCl cm3, 0.01 N F = 1.0000 |
Ca(HCO3)2 dizolvat, mg CaCO3 / dm3 |
Din compararea rezultatelor prezentate in tabelele 2 si 4 rezulta ca submersarea elementului duce la o solubilizare mai avansata a carbonatului de calciu, probabil foarte apropiata de concentratia de saturare.
Dubland cantitatea de carbonat de calciu din suspensie (0,0430 g.) si pastrand identice celelalte conditii experimentale s-au obtinut rezultatele prezentate in tabelul 5 si in fig. 3.
Tabelul 5. Solubilizarea carbonatului de calciu aflat intr-un exces initial de 100 %.
(ΔH = - 50 mm)
|
Nr. crt. |
Timp [min] |
VHCl cm3, 0.01 N F = 1.0000 |
Ca(HCO3)2 dizolvat, mg CaCO3 / dm3 |
Datele obtinute in studiul solubilizarii carbonatului de calciu aflat in suspensie apoasa prin care se barboteaza dioxid de carbon, in prezenta radiatiei ultrasonice arata o usoara crestere a cantitatii de carbonat de calciu solubilizata pe parcursul barbotarii dioxidului de carbon si o crestere importanta a cresterii concentratiei finale a bicarbonatului de calciu in solutie. Probabil ca, in final, excesul de carbonat de calciu, reactant din stanga reactiei 1, deplaseaza pozitia echilibrului de reactie spre dreapta.
Se remarca faptul ca solubilizarea in prezenta radiatiei US este practic foarte apropiata de solubilizarea sub efectul dublarii cantitatii de carbonat de calciu in absenta acestei radiatii.
Avand in vedere cresterea cantitatii de carbonat de calciu solubilizat prin marirea catitatii acestuia in suspensia initiala s-a reluat experimentul anterior, marind cantitatea de carbonat de calciu la 0,0645 g. (exces - 200%), pastrand identice celelalte conditii. Rezultatele sunt prezentate in tabelul 6 si fost reprezentate grafic in fig. 4.
Prin folosirea unei suspensii continand carbonat de calciu intr-un exces de 200 % fata de cantitatea initiala s-a constatat o crestere de peste 20 % a cantitatii de carbonat de calciu solubilizat, pe parcursul barbotarii dioxidului de carbon, dar si in final.

Fig. 3. Solubilizarea carbonatului de calciu in prezenta radiatiei US
si in prezenta unui exces initial de 100 %
Tabelul 6. Solubilizarea carbonatului de calciu aflat intr-un exces initial de 200 %.
(ΔH = - 50 mm)
|
Nr. crt. |
Timp [min] |
VHCl cm3, 0.01 N F = 1.0000 |
Ca(HCO3)2 dizolvat, mg CaCO3 / dm3 |
|
| |||
Tabelul 7. Solubilizarea carbonatului de calciu aflat intr-un exces initial de 300 %.
(ΔH = - 50 mm)
|
Nr. crt. |
Timp [min] |
VHCl cm3, 0.01 N F = 1.0000 |
Ca(HCO3)2 dizolvat, mg CaCO3 / dm3 |

Fig. 4. Solubilizarea carbonatului de calciu sub actiunea radiatiei US la diferite excese initiale ale acestuia
Se constata o crestere insemnata a cantitatii de carbonat de calciu dizolvate pe tot parcursul reactiei. Este de remarcat ca nu s-a ajuns inca la echiulibrul reactiei deoarece nu s-au prelevat probe cu continut identic de bicarbonat de calciu. Acest fapt nu impieteaza asupra concluziilor, mai ales daca se ia in consideratie observatia care urmeaza.
Rezultatele incurajatoare obtinute prin folosirea unui exces de carbonat de calciu in sistem a condus la necesitatea studiului mariririi cantitatii acestuia in continuare pana la 300 %. Celelalte conditii experimentale fiind aceleasi, rezultatele sunt prezentate in tebelul 6 si sunt reprezentate grafic in fig. 4.

Fig. 5. Variatia concentratiei carbonatului de calciu dizolvat
sub actiunea radiatiei US la excese initiale diferite ale acestuia
Probele de suspensie ramase dupa fiecare experiment, continand bicarbonatul de calciu format si saturate cu dioxid de carbon, colectate pe parcursul a aproape trei saptamani, au fost depozitate in recipiente din material plastic, prevazute cu inchidere etansa. Pentru a preveni descompunerea bicarbonatului de calciu in timpul pastrarii, in recipiente s-a introdus o cantitate oarecare de carbonat de calciu si s-au agitat. Aceste suspensii au fost destinate studiului descompunerii bicarbonatului de calciu prin eliminarea din ele a dioxidului de carbon liber si semilegat la barbotarea de aer.

Fig. 6. Variatia cantitatii de carbonat de calciu dizolvate in absenta radiatiei US si la diverse pozitionari ale elementului furnizor de radiatie fata de suprafata lichida
Inaintea inceperii studiului descompunerii bicarbonatului, din lichidul limpede din aceste recipiente s-au prelevat cate 10 cm3 si s-au titrat cu o solutie de HCl 0,01 N f=1,0000. La titrarea solutiei din primul recipient s-au consumat 6,80 cm3 agent de titrare. Acest volum corespunde unei concentratii a bicarbonatulu de calciu de 340,0 mg. CaCO3/l. Concentratia surprinzator de mare a bicarbonatului de calciu in solutie arata ca in timpul depozitarii, nu numai ca nu s-a produs retrogradarea sa, ci a continuat, intr-o masura insemnata, reactia de solubilizare a carbonatului de calciu, daca se compara cu rezultatele cele mai mari obtinute in ultimul experiment de solubilizare. Din aceasta cauza se poate conclude ca in conditiile studiate, la un anumit moment dat al barbotarii dioxidului de carbon, are loc o scadere sesizabila a vitezei reactiei de solubilizare a carbonatului de calciu. Este foarte probabil ca prin desfasurarea reactiei de solubilizare a carbonatului de calciu intr-o coloana in contracurent solubilizarea sa fie mai avansata, ceea ce este in avantajul tehnologic si economic al procesului.
Pentru o comparatie mai evidenta a importantei folosirii radiatiei ultrasonice si a unui exces de carbonat de calciu initial, pe baza acelorasi date, rezultatele obtinute s-au reprezentat grafic in fig. 5 si 6.
Rezultatele obtinute prin studiul solubilizarii carbonatului de calciu aflat in suspensie apoasa prin reactia cu dioxidul de carbon arata ca realizarea procesului in prezenta radiatiei ultrasonice difuzate direct in suspensie, duce la intensificarea procesului. O influenta benefica in acelas sens o are folosirea unei suspensii de carbonat de calciu in apa, in care, continutul de faza solida sa fie superior cantitatii necesare pentru asigurarea dizolvarii sale complete.
STUDIUL
DEBICARBONATARII SOLUTIILOR DE BICARBONAT DE CALCIU IN PREZENTA
RADIATIILOR ULTRASONICE
Studiul eliminarii dioxidului de carbon liber si semilegat din solutii de bicarbonat de calciu cu formarea carbonatului de calciu in prezenta radiatiilor ultrasonice a urmarit, cu precadere, formarea unor particule de carbonat de calciu cat mai fine, eventual cu dimensiuni nanometrice. S-a avut in vedere ca procesul de debicarbonatare se poate conduce in asa fel incat aceste particule sa fie separate de solutia muma in scurt timp dupa formarea lor si sa se previna astfel cresterea dimensiunilor lor.
Pentru a aprecia orientativ durata barbotarii aerului prin solutia de bicarbonat de calciu incat sa se produca o debicarbonatare cat mai completa, s-a realizat un experiment de tatonare. Prin solutia de bicarbonat de calciu, cu un volum de 350 cm3, in absenta radiatiei ultrasonice, s-a barbotat aer cu un debit de 600 l/h si s-au prelevat probe de solutie dupa doua, patru si cinci ore. Rezultatele analizelor solutiilor au aratat ca si dupa cinci ore ramane in solutie o cantitate foarte mica de bicarbonat de calciu nedescompus. Probabil ca acest fapt este datorat micii concentratii a dioxidului de carbon din aerul existent in laborator, folosit la barbotare, precum si solubilitatii ridicate a dioxidului de carbon in apa. Particulele de carbonat de calciu s-au separat prin filtrare pe hartie de filtru calitativa, s-au uscat la aer si s-au studiat la microscop. In fig. 7A. si 7B. sunt prezentate imagini ale particulelor prelevate prin microscopie cu radiatie luminoasa. Analiza acestor imagini arata ca particulele majoritare au o forma florala caracteristica vateritului; destul de putine particule au o configuratie de prisma patratica inclinata, caracteristica calcitului si inca si mai putine au forma de varf de sageata, forma cristalina caracteristica aragonitului. Se mai observa foarte multe puncte negre, cele foarte mici conferind imaginii un fond inchis la culoare, spre gri. Situatia se poate pune pe seama particulelor cu dimensiuni mai mici decat cele care pot fi observate prin microscopie optica. Acest fapt este pozitiv, sugerand ca, intre perticule, probabil, intre particuler exista o parte numeroasa cu dimensiuni spre cele dorite si anume particule cu dimensiuni nanometrice. Aceasta va trebui clarificata in continuare.

Fig.7A.
.
Fig. 8B.
Fig. 7A. si 7B. Imagini la microscop ale particulelor de carbonat de calciu
obtinute dupa cinci ore de debicarbonatare.

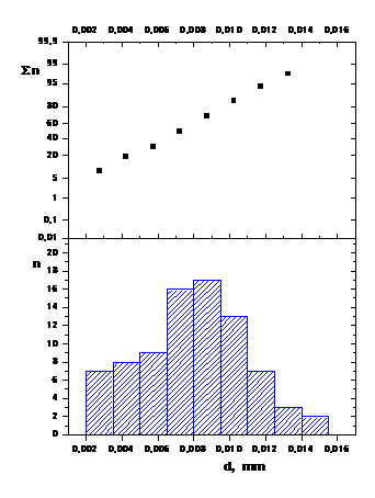
Fig. 8. Frecventa de aparitie a diametrului mediu
in masa particulelor obtinute dupa cinci ore de debicarbonatare.

Fig. 9. Distributia diametrelor medii in masa particulelor
obtinute dupa cinci ore de debicarbonatare.
In fig. 8 este reprezentata grafic frecventa de aparitie a diametrului mediu, iar in fig. 9 - distributia diametrelor medii in masa particulelor de carbonat de calciu obtinute dupa cinci ore de debicarbonatare.
La punerea la punct a metodicii de lucru s-a considerat ca la barbotarea aerului prin solutia de bicarbonat de calciu se pot lua probe de lichid pentru analizat dupa un anumit timp de decantare a particulelor formate. In timpul experimentelor s-a constatat ca stratul de la suprafata suspensiei nu era perfect limpede. Probabil ca particulele solide fiind foarte fine nu s-au putut depune suficient de rapid incat sa nu influenteze rezultatele analizelor. Pentru a clarifica acest fapt, s-au efectuat doua serii de prelevari de probe, ambele in absenta radiatiilor ultrasonice. In prima serie, probele s-au prelevat din stratul de la suprafata lichidului la fiecare 20 de minute de barbotare a aerului si 10 minute de decantare. A doua serie de prelevari de probe s-a efectuat dupa fiecare 20 de minute de barbotare a aerului si o filtrare rapida prin hartie de filtru calitativa. Trebuie mentionat ca in aceste conditii, de fiecare data, filtratul a lasat impresia ca ar mai contine particule fine in suspensie si de aceea s-a supus inca unei filtrari prin aceeasi hartie de filtru, obtinandu-se de aceasta data un filtrat perfect limpede. Rezultatele sunt prezentate in tabelul 8 si reprezentate grafic in fig. 10.
Datele obtinute, cum era de asteptat, arata valori mai mici ale concentratiei bicarbonatului de calciu ramas in solutie in cazul separarii prin filtrare decat prin decantare a carbonatului de calciu format. Din alura curbelor, in ambele cazuri se observa o valoare mai ridicata a concentratiei bicarbonatului dupa primele 20 de minute de barbotare a aerului, decat in restul timpului de barbotare (0 panta mai accentuata a curbelor). Aceasta se explica prin timpul necesar eliminarii dioxidului de carbon liber inaintea descompunerii bicarbonatului de calciu.
Spre sfarsitul barbotarii aerului prin sistem panta curbelor scade puternic, ceea ce indica o scadere a eficientei debicarbonatarii. Din aceasta cauza s-a intrerupt prelevarea de probe cam atunci cand concentratia bicarbonatului de calciu a ajuns la cateva procente din concentratia initiala, adica dupa patru ore. In situatia realizarii industriale a procesului, in solutia diluata ramasa se poate introduce o noua cantitate de carbonat de calciu si suspensia poate fi folosita la o noua absorbtie de dioxid de carbon.
Dupa fiecare filtrare, hartia de filtru cu precipitatul format s-a supus uscarii in aer liber. Carbonatul de calciu pulverulent s-a trecut pe lame de microscop si s-a incercat stabilirea formei cristalografice, dimensiunile medii si distributia granulometrica a particulelor. Particulele, majoritar, au avut dimensiuni atat de mici (sub 10-6 m) incat au iesit din domeniul de sensibilitate al microscopiei cu radiatie luminoasa si nu s-au putut stabili caracteristicile dorite.
Tebelul 8. Formarea carbonatului de calciu in absenta radiatiilor
ultrasonice cu separarea particulelor prin decantare si prin filtrare.
|
Nr. crt. |
Timp [min] |
Decantare |
Filtrare |
||
|
VHCl cm3, 0,01 N F = 1,0000 |
Ca(HCO3)2 dizolvat, mg CaCO3 / dm3 |
VHCl cm3, 0,01 N F = 1,0000 |
Ca(HCO3)2 dizolvat, mg CaCO3 / dm3 |
||
Dupa fiecare filtrare, hartia de filtru cu precipitatul format s-a supus uscarii in aer liber. Carbonatul de calciu pulverulent s-a trecut pe lame de microscop si s-a incercat stabilirea formei cristalografice, dimensiunile medii si distributia granulometrica a particulelor. Particulele, aproape in totalitate, au avut dimensiuni atat de mici (sub 10-6 m) incat au iesit din domeniul de sensibilitate al microscopiei cu radiatie luminoasa si nu s-au putut stabili caracteristicile dorite.

Fig. 10. Desorbtia dioxidului de carbon in functie de durata barbotarii aerului, in absenta radiatiei ultrasonice (a - separarea particulelor din suspensie prin decantare; b - separarea acelorasi particule prin filtrare) si in prezenta ei (c - separarea particulelor prin filtrare)
In prezenta radiatiei ultrasonice, practic, s-a repetat experimentul anterior. S-au folosit 350 cm3 solutie saturata in bicarbonat de calciu si in dioxid de carbon, barbotarea s-a realizat cu un debit de aer de 600 dm3/h, durata barbotarii a fost de cate 20 de minute, mentinand cufundat elementul difuzor de radiatie ultrasonica la 5 cm. sub nivelul lichidului; actiunea radiatiei ultrasonice s-a realizat in primele 5 minute de la pornirea barbotarii si apoi inca 5 minute dupa 10 minute de barbotare. Dupa fiecare dubla filtrare s-a prelevat o proba de 10 cm3 filtrat care s-a supus analizei pentru determinarea concentratiei bicarbonatului de calciu nereactionat.
Tabelul 9. Debicarbonatarea in prezenta radiatiei US
|
Nr. crt. |
Timp [min] |
VHCl cm3, 0,01 N F = 1,0000 |
Ca(HCO3)2 dizolvat, mg CaCO3 / dm3 |

11C.

11D.

11E.
Fig. 11. Imagini la microscopul optic; 11C ale granulelor probei la nr. crt. 5 si
11D si 11E ale granulelor probei la nr. crt. 6, conform tabelului 9.
Dupa uscarea la aer a hartiei de filtru, particulele de carbonat de calciu retinute au fost supuse studiului microscopic. Rezultatele analizelor sunt prezentate in tabelul 9 si reprezentate grafic in fig. 8. Pentru ilustrarea acestei situatii, in fig. 11 se prezinta imaginea la microscop a unor particule anume: proba 11C de la punctul crt. 5 si, respectiv, 11D si 11E pentru proba corespunzatoare punctulului crt. 6, obtinute conform datelor din tabelul 9.

Fig. 1 Frecventa de aparitie a diametrului mediu
in masa particulelor obtinute la proba 5 (tabel 9)
Imaginile prezentate nu sunt neaparat cele mai relevante din cele 15 prelevate pentru fiecare proba, fiind foarte dificil de stabilit vizual, cu suficienta precizie acest lucru. In fiecare dintre cele trei imagini prezentate se observa cele trei sisteme de cristalizare a carbonatului de calciu. De asemenea, se constata ca exista putine particule care sunt suficient de mari incat sa fie sesizate de catre microscopul optic. Pe fondul mult mai inchis la culoare decat in imaginile prezentate in etapa anterioara de cercetare se remarca o multime de puncte, a caror semnificatie, probabil, se explica prin prezenta unor particule cristaline cu dimensiuni inferioare limitei de sensibilitate ale microscopiei optice. Pentru aceasta se impune studiul acestor particule prin microscopie electronica.

Fig. 13. Distributia diametrelor medii in masa particulelor obtinute la proba 5 (tabel 9).
In figurile 14 - 16 sunt prezentate imaginile la microscop electronic ale probelor 1, 5, 6 din tabelul 9.

A.

B.

C.
Fig. 14 Imagini la microscopul electronic ale probei 1 tabel 9

A.

B.

C.
Fig. 15 Imagini la microscopul electronic ale probei 5 tabel 9

A.

B.

C.
Fig. 16 Imagini la microscopul electronic ale probei 6 tabel 9.
Studiul de microscopie electronica s-a efectuat la Institutul National pentru Cercetare - Proiectare in Microtehnologii Bucuresti, Laboratorul de Tehnologie.
In comparatie cu imaginile particulelor obtinute prin microscopia optica, prin imaginile de microscopie electronica nu se mai constata formele curente de cristalizare ale particulelor, aragonit, calcit si vaterit sub forma florala cu 6 petale, ci particul esub forma unor folicule alungite adunate in excrescente cu aspect floral si de aglomerate oarecare. Imaginile evidentiaza cristalizarea la nivel de particule individuale cu dimensiunea caracteristica mai mica de 3 mm, alaturi de care coexista agregate si aglomerate.
O observatie foarte interesanta a facut-o operatorul microscopului electronic, fizician experimentat in domeniul materialelor semiconductoare. Acesta a constatat ca particulele de carbonat de calciu cu dimensiuni micrometrice nu au propietati dielectrice ci prezinta unele caracteristici specifice semiconductorilor. Daca acest fapt se confirma, atunci noul material constituit din carbonat de calciu sub forma de particule micrometrice i pot gasi noi aplicatii in domeniul materialelor semiconductoare.
Pe baza acelorasi date din tabelul 9 s-au trasat curbele frecventei aparitiei diametrului mediu in masa particulelor obtinute la proba 5 (fig. 12), precum si distributia diametrelor medii in masa particulelor probei 5 (fig. 13) si a probei 6 (fig. 14).

Fig. 17. Distributia diametrelor medii in masa particulelor
obtinute la proba 6 (tabel 9)
Distributia granulometrica a particulelor de carbonat de calciu obtinute in proba 6 este prezentata in figura 17. Se observa ca si in acest caz, alomerarea particulelor este semnificativa.
CONCLUZII PRIVIND STUDIUL DE LABORATOR ASUPRA OTINERII CARBONATULUI DE CALCIU CU GRANULOMETRIE FINA
IN PREZENTA RADIATIEI ULTRASONICE
In aceasta etapa de cercetare s-a studiat obtinerea carbonatului de calciu cu granulometrie fina in prezenta radiatiei ultrasonice, pornindu-se de la carbonatul de calciu de calitate 'pentru analiza'. Studiul de laborator s-a realizat pe o instalatie conceputa astfel incat sa permita stabilirea unor conditii optime de realizare a procesului.
Studiul a cuprins doua parti:
Studiul solubilizarii carbonatului de calciu aflat in suspensie apoasa prin barbotarea prin ea a unui flux de dioxid de carbon, urmarindu-se obtinerea unei solutii cat mai concentrate de bicarbonat de calciu. Solubilitatea redusa a acestuia constituie un inpediment al procesului in ceea ce priveste productivitatea. Folosirea radiatiei ultrasonice in proces, precum si a unei cantitati de carbonat de calciu mai mari decat se poate solubiliza in conditiile date, duce la cresterea vitezei de dizolvare si a concentratiei finale a bicarbonatului de calciu. In conditiile de lucru adoptate s-au obtinut solutii de bicarbonat de calciu cu o concentratie maxima de 345,0 mg. CaCO3 /l.
Studiul debicarbonatarii bicarbonatului de calciu aflat in solutie apoasa s-a realizat prin barbotarea aerului prin aceasta solutie. Aerul a antrenat dioxidul de carbon liber si semilegat formandu-se particule de carbonat de calciu. Realizarea operatiei in prezenta radiatiei ultrasonice accelereaza procesul de degajare a dioxidului de carbon si de descompunere a bicarbonatului de calciu. Pentru a preveni cresterea particulelor nou formate, acestea trebuie separate de solutia muma pe cat posibil mai repede. In studiul de laborator, particulele formate s-au separat prin filtrare la fiecare 20 de minute, analizandu-se pe parcurs solutia muma si studiindu-se la microscop caracteristicile granulelor de carbonat de calciu formate. In acest fel s-au obtinut particule, care majoritar, au dimensiuni ce nu intra in limitele de perceptie la microscopul optic obisnuit, avand dimensiuni mai mici de 10-6 m.
Colectarea periodica a particulelor de carbonat de calciu nu permite cresterea cristalelor si in functie de durata barbotarii aerului pentru eliminarea dioxidului de carbon din suspensie se intrezareste posibilitatea obtinerii unor particule cu dimensiuni medii dorite.
La realizarea practica a procesului obtinerii carbonatului de calciu cu granulometrie fina in prezenta radiatiilor ultrasonice ar fi de dorit ca procesul de descompunere a bicarbonatului de calciu sa se efectueze intr-o coloana cu functionare continua, in contracurent, cu o durata de retentie a suspensiei de maximum 20 de minute, iar particulele formate si aflate in suspensie sa fie separate pe o ultracentrifuga decantoare.
|
Politica de confidentialitate |
| Copyright ©
2026 - Toate drepturile rezervate. Toate documentele au caracter informativ cu scop educational. |
Personaje din literatura |
| Baltagul – caracterizarea personajelor |
| Caracterizare Alexandru Lapusneanul |
| Caracterizarea lui Gavilescu |
| Caracterizarea personajelor negative din basmul |
Tehnica si mecanica |
| Cuplaje - definitii. notatii. exemple. repere istorice. |
| Actionare macara |
| Reprezentarea si cotarea filetelor |
Geografie |
| Turismul pe terra |
| Vulcanii Și mediul |
| Padurile pe terra si industrializarea lemnului |
| Termeni si conditii |
| Contact |
| Creeaza si tu |