(1)P Sectiunea se aplica proiectarii constructiilor din beton armat, aflate in regiuni seismice, denumite in continuare cladiri din beton. Ea se refera atat la cladirile monolit, cat si la cele prefabricate.
(2)P Cladirile din beton in cadre, cu plansee dala folosite ca elemente principale la seism in concordanta cu nu sunt integral reglementate de aceasta sectiune.
(3)P Pentru proiectarea cladirilor din beton se aplica EN 1992-1-1:2004. Regulile care urmeaza sunt suplimentare celor date in EN1992-1-1:2004.
In sectiunea sunt utilizati termenii cu semnificatia urmatoare:
regiune critica
regiunea elementului seismic principal unde au loc cele mai defavorabile combinatii ale efectelor actiunii (M, N, V, T) si unde se pot forma articulatii plastice.
NOTA La cladirile din beton regiunile critice sunt zone disipative. Lungimea regiunii critice este definita pentru fiecare tip de element seismic principal in paragrafele relevante ale acestei sectiuni.
grinda
element structural supus in principal la incarcari normale si la o forta axiala de proiectare normalizata nd = NEd / Acfcd nu mai mare de 0,1 (compresiunea este pozitiva).
NOTA In general, grinzile sunt orizontale.
stalp
element structural, incarcat gravitational prin compresiune axiala sau supus unei forte axiale de proiectare normalizata nd = NEd / Acfcd mai mare de 0,1.
NOTA In general, stalpii sunt verticali.
perete
element structural care sustine alte elemente si care are o sectiune normala alungita cu un raport lungime pe grosime lw / bw mai mare de 4.
NOTA In general, planul peretelui este vertical.
perete ductil
perete fixat la baza astfel incat rotirea relativa a acestei baze in raport cu restul sistemului structural sa fie impiedicata si care este proiectat si detaliat pentru a disipa energie in zona de articulatii plastice la incovoiere, fara goluri sau strapungeri mari chiar deasupra bazei sale
pereti mari slab armati
pereti cu dimensiuni mari ale sectiunii, adica o dimensiune orizontala lw de cel putin 4,0 m sau de doua treimi din inaltimea cea mai mica a peretelui, hw, de la care se asteapta sa dezvolte fisuri limitate si sa aiba o comportare inelastica in situatia de proiectare seismica
NOTA Un asemenea perete se asteapta sa transforme energia seismica in energie potentiala (prin ridicarea temporara a maselor structurale) si in energie disipata in sol sau prin balansarea de corp solid-irigid. Datorita dimensiunilor sale, sau a lipsei fixarii la baza ori datorita conexiunii cu pereti transversali mari care impiedica rotirea articulatiei plastice la baza, nu poate fi proiectat pentru disiparea eficienta a energiei la baza prin articulatia plastica
perete cuplat
perete structural compus din unul sau mai multi pereti conectati in acelas mod prin grinzi ductile adecvate ("grinzi de cuplare"), capabile sa reduca cu cel putin 25% suma momentelor incovoietoare de la baza peretilor corespunzatoare ipotezei in care ar lucra separat
sistem tip pereti
sistem structural in care atat incarcarile verticale, cat si cele laterale sunt in principal preluate de peretii structurali verticali, cuplati sau nu, a caror forta taietoare capabila la baza cladirii depaseste 65% din forta taietore totala capabila a intregului sistem structural
NOTA 1 In aceasta definitie si in cele ce urmeaza, fractiunea fortei taietoare capabile poate fi substituita prin fractiunea fortelor taietoare in situatia de proiectare seismica
NOTA 2 Daca cea mai mare parte a fortei taietoare capabile a peretilor inclusa in sistem este preluata de peretii cuplati, sistemul poate fi considerat ca un sistem cu pereti cuplati
sistem tip cadre
sistemul structural in care atat incarcarile verticale cat si cele laterale sunt preluate in principal de cadre spatiale a caror forta taietoare capabila la baza cladirii depaseste 65% din forta taietoare capabila a intregului sistem structural
sistem dual
sistemul structural in care incarcarile verticale sunt preluate in principal de catre un cadru spatial iar rezistenta la incarcarile laterale este asigurata atat de sistemul in cadre, cat si de peretii structurali, cuplati sau nu
sistem dual echivalent cu un sistem tip cadre
sistemul dual in care rezistenta la forfecare a sistemului in cadre la baza cladirii este mai mare de 50% din forta taietoare capabila a intregului sistem structural
sistem dual echivalent cu un sistem tip pereti structurali
sistemul dual la care forta taietoare capabila a peretilor la baza cladirii este mai mare de 50% din forta seismica capabila a intregului sistem structural
sistem flexibil la torsiune
sistemul dual sau cu pereti structurali care nu are un minimum de rigiditate la torsiune (vezi 2.2.1(4)P si (6))
NOTA 1 Un astfel de exemplu este un sistem structural constand din cadre flexibile combinate cu pereti concentrati aproape de centrul cladirii in plan.
NOTA 2 Aceasta definitie nu cuprinde sistemele care contin pereti extensiv strapunsi pentru serviciile si facilitatile verticale. Pentru asemenea sisteme definitia cea mai potrivita a respectivei configuratii structurale generale trebuie aleasa de la caz la caz
Sistem pendul inversat
Sistemul la care 50% sau mai mult din masa se afla in treimea superioara a inaltimii structurii, sau la care disiparea de energie are loc in principal la baza unui singur element al cladirii
NOTA Cadrele cu un singur nivel cu stalpi conectati la varf dealungul celor doua directii principale ale cladirii si cu o valoare a fortei axiale normalizate nd care nu depaseste nicaieri valoarea 0,3, nu apartin acestei categorii.
(1)P Proiectarea cladirilor din beton rezistente la cutremur trebuie sa prevada structura cu o capacitate adecvata de disipare a energiei fara o reducere substantiala a rezistentei sale globale la incarcari orizontale si verticale. In acest scop se aplica cerintele si crtiteriile din Sectiunea In situatia seismica de proiectare trebuie prevazuta o rezistenta adecvata a tuturor elementelor structurale iar cerintele de deformatie neliniara trebuie compatibilizate cu ductiliitatea generala asumata in calcule.
(2)P Alternativ, cladirile din beton pot fi proiectate pentru o capacitate de disipare si o ductilitate redusa, aplicand numai regulile din EN 1992-1-1:2004 pentru situatia seismica de proiectare si neglijand prevederile specifice din aceasta sectiune, cu conditia ca cerintele din sa fie indeplinite. Proiectarea cladirilor care nu sunt izolate la baza (vezi Sectiunea ), in aceasta alternativa, denumita clasa de ductilitate redusa L (low) se recomanda numai in cazurile de seismicitate redusa (vezi ).
(3)P Cladirile din beton rezistente la cutremur, altele decat acelea la care (2)P al acestui subparagraf se aplica, trebuie proiectate pentru a asigura capacitatea de disipare a energiei si o comportare globala ductila. Comportarea globala ductila este asigurata daca cerinta de ductilitate implica global o mare parte din structura distribuita la elemente diferite si in diferite locuri la toate nivelele acesteia. In acest scop, modurile ductile de cedare (de ex. la incovoiere) trebuie sa preceada modurile casante de cedare (de ex. la forfecare) cu suficienta reliabilitate.
(4)P Cladirile din beton proiectate in concordanta cu P al acestui subparagraf, sunt impartite in doua clase de ductilitate DCM (ductilitate medie) si DCH (ductilitate inalta), in functie de capacitatea lor de disipare histeretica. Ambele clase corespund cladirilor proiectate, dimensionate si detaliate in concordanta cu prevederile specifice rezistentei la cutremur, permitandu-i structurii sa dezvolte mecanisme stabile, asociate cu o disipare mare de energie histeretica sub cicluri repetate de incarcare-descarcare, fara a suferi cedari casante.
(5)P Pentru a prevedea ductilitatea adecvata claselor M si H, trebuie satisfacute prevederi specifice fiecarei clase (vezi ). La fiecare clasa se utilizeaza valori diferite ale factorului de comportare q in concordanta cu ductilitatile disponibile (vezi ).
NOTA Limitarile geografice referitare la utilizarea claselor de ductilitate M si H pot fi gasite in Anexa Nationala relevanta.
(1)P Cladirile din beton trebuie sa fie clasificate intr-unul dintre urmatoarele tipuri structurale (vezi 1.2) in concordanta cu comportarea lor la actiuni seismice orizontale:
a) sistem tip cadre;
b) sistem dual (echivalent cu cadre sau pereti);
c) sistem tip pereti ductili (cuplati sau necuplati);
d) sistem tip pereti mari slab armati;
e) sistem pendul inversat;
f) sistem flexibil la torsiune.
Cu exceptia celor clasificate ca sisteme flexibile la torsiune, cladirile din beton pot fi clasificate ca fiind de un anumit tip pe o directie si de alt tip pe cealata directie.
(3)P Un sistem tip pereti trebuie incadrat in clasa sistemelor tip pereti mari slab armati daca, pe directia orizontala considerata, cuprinde cel putin doi pereti la care cea mai mica dimensiune orizontala a unuia dintre ei nu este mai mica decat 4,0 m sau 2hw/3 si care preiau impreuna cel putin 20% din incarcarea gravitationala totala, in situatia data de proiectare seismica si au o perioada fundamentala T1 mai mica sau egala cu 0,5s, pentru ipoteza de fixare a bazei in scopul impiedicarii rotirii. Este suficient ca un singur perete sa indeplineasca conditiile de mai sus pe una dintre cele doua directii, considerand ca: (a) valoarea de baza a factorului de comportare pe directia respectiva, qo este impartita la un factor de 1,5 peste valoarea data in Tabelul 1 si (b) exista cel putin doi pereti care indeplinesc conditiile de mai sus pe directiile ortogonale.
(4)P Primele patru tipuri de sisteme (adica tip cadre, sisteme duale si tip pereti de ambele tipuri) trebuie sa aiba o rigiditate minima la torsiune care sa satisfaca expresia (4.1b) pe ambele directii orizontale.
Pentru cadrele sau sistemele tip pereti cu elemente verticale care sunt bine distribuite in plan, cerinta specificata in P al acestui subparagraf poate fi considerata satisfacuta fara verificari analitice.
Sistemele tip cadre, duale sau tip pereti fara o rigiditate minima la torsiune, trebuie clasificate ca sisteme flexibile la torsiune, in concordanta cu P.
Daca un sistem structural nu este un sistem tip pereti mari slab armati, conform cu P de mai sus, atunci toti peretii sai trebuie sa fie proiectati si detaliati ca pereti ductili.
(1)P Valoarea limitei superioare a factorului de comportare q, introdus in pentru a lua in considerare capacitatea de disipare de energie, trebuie sa fie obtinuta pentru fiecare directie de proiectare dupa cum urmeaza:
![]()
unde
qo este valoarea de baza a factorului de comportare, functie de tipul sistemului structural si de regularitatea sa in elevatie (vezi (2) al acestui subparagraf);
kw este factorul care reflecta modul prevalent de cedare la sistemele structurale tip pereti (vezi (11)P al acestui subparagraf).
(2) Pentru cladirile regulate in elevatie valorile de baza ale lui qo sunt date in Tabelul 1 pentru diferite tipuri structurale
Tabelul 1: Valoarea de baza a factorului de comportare, qo pentru sistemele regulate in elevatie
|
TIPUL STRUCTURAL |
DCM |
DCH |
|
Sistem tip cadru, sistem dual, sistem tip pereti cuplati |
au a |
au a |
|
Sistem tip pereti necuplati |
au a |
|
|
Sistem flexibil la torsiune | ||
|
Sistem pendul inversat |
Pentru cladirile care nu sunt regulate in elevatie, valoarea lui qo trebuie sa fie redusa cu 20% (vezi ) si tabelul 4.1).
au si a sunt definite dupa cum urmeaza:
a1 este valoarea prin care actiunea seismica orizontala de proiectare este multiplicata pentru a se atinge mai intai rezistenta la incovoiere a oricarei componente a structurii, in timp ce celelalte actiuni de proiectare raman constante;
au este valoarea prin care actiunea seismica de proiectare este multiplicata, astfel incat sa se formeze articulatii plastice intr-un numar suficient de mare de sectiuni pentru a se ajunge la instabilitatea intregii structuri, in timp ce toate celelalte actiuni raman constante. Factorul au se poate obtine printr-un calcul static global neliniar (pushover).
Daca factorul de multiplicare au a nu a fost evaluat printr-un calcul explicit, se pot utiliza urmatoarele valori aproximative, pentru cladirile care sunt regulate in plan:
a) Cadre sau sisteme echivalente cu cadre.
Cladiri cu un nivel: au a
Cadre multietajate cu o deschidere: au a
Cadre multietajate sau structuri duale echivalente cu cadre: au a
b) Pereti sau sisteme duale echivalente cu pereti:
Sisteme tip pereti cu numai doi pereti necuplati pe directie orizontala: au a
Alte sisteme tip pereti necuplati: au a
Sisteme duale echivalente cu pereti sau sisteme tip pereti cuplati: au a
Pentru cladirile care nu sunt regulate in plan (vezi ), atunci cand valoarea raportului nu se determina prin calcul, se poate utiliza o valoarea aproximativa egala cu o medie de 1,0 pentru (a) iar pentru (b) se iau valorile date in ale acestui subparagraf.
Se pot utiliza valori mai mari ale raportului au a decat cele date in si al acestui subparagraf cu conditia ca ele sa fie confirmate printr-un calcul global static neliniar (pushover).
Valoarea maxima a raportului au a care poate fi utilizata in proiectare este egala cu 1,5, chiar atunci cand din calculul mentionat in al acestui subparagraf rezulta valori mai mari.
Valorile lui qo date pentru sistemele pendul inversat pot fi majorate, daca se confirma ca poate fi asigurata o disipare mai mare de energie in regiunile critice ale structurii.
(10) Valorile lui qo pot fi majorate, daca in proiectare se aplica un Plan al Sistemului de Calitate special si corect referitor la constructie si resurse, pe langa schemele obisnuite de control al calitatii. Nu se permite insa ca valorile majorate sa le depaseasca cu mai mult de 20% pe cele din Tabelul 1.
NOTA Valorile care se atribuie lui qo pentru a fi utilizate intr-o tara si posibil in proiecte speciale, pot fi gasite in Anexa Nationala, in functie de Planul special al Sistemului de Calitate.
(11)P Factorul kw , care reflecta modul prevalent de cedare la sisteme tip pereti va fi luat dupa cum urmeaza:
1,00
, pentru cadre si sisteme duale echivalente cu cadre
kw (1 + ao 1, dar nu mai putin de 0,5 , pentru pereti sau sisteme (2)
echivalente cu pereti si sisteme flexibile la torsiune
unde ao este raportul aspectului prevalent al peretilor sistemului structural.
Daca raportul aspectului, hwi/lwi al peretelui i al sistemului structural nu variaza semnificativ, raportul aspectului prevalent poate fi determinat cu urmatoarea expresie:
![]()
unde
hwi este inaltimea peretelui i; si
lwi este lungimea sectiunii peretelui i .
Sistemele tip pereti cu armare slaba nu se pot baza pe disiparea de energie in articulatii plastice si de aceea trebuie sa fie proiectate ca structuri DCM.
(1) Conceptele de proiectare din si din Sectiunea trebuie sa fie implementate in elementele structurale rezistente la cutremur ale cladirilor din beton, asa cum se specifica in .
(2) Criteriile de proiectare din se considera satisfacute, daca se aplica regulile din .
(1)P Toate regiunile critice ale structurii trebuie sa satisfaca cerintele din
(1)P Cedarea casanta sau alte mecanisme de cedare defavorabile (de ex. concentrarea de articulatii plastice in stalpii unui singur etaj al unei cladiri multietajate, cedarea la forfecare a elementelor structurale, cedarea nodurilor grinda - stalp, plastificarea fundatiilor sau a oricarui element care trebuie sa ramana elastic) trebuie prevenite, prin determinarea efectelor actiunii de proiectare din conditiile de echilibru ale regiunilor alese, presupunand ca articulatiile plastice cu suprarezistenta lor posibila s-au format in zonele adiacente acestora.
(2) Stalpii principali la seism ai cadrelor sau ai structurilor din beton echivalente cu cadre trebuie sa satisfaca cerintele de proiectare a capacitatii din cu urmatoarele exceptii:
a) La cadrele plane cu cel putin patru stalpi avand sectiuni normale cu dimensiuni apropiate, nu este necesar sa fie satisfacuta expresia (4.29) la toti stalpii, ci doar la cel putin trei din fiecare grup de patru stalpi.
b) La nivelul de baza al cladirilor cu doua nivele, daca valoarea fortei axiale normalizate nd nu depaseste 0,3 in fiecare stalp.
(3) Armarea placii, paralela cu grinda, pe latimea activa a acesteia specificata in , trebuie considerata ca, daca este ancorata dincolo de sectiunea grinzii de la fata nodului, contribuie la capacitatea la incovoiere a grinzii luata in considerare pentru calculul sumei ΣMRb in expresia (4.29),.
(1)P Pentru a se atinge ductilitatea globala necesara a structurii, regiunile de formare potentiala a articulatiilor plastice, care sunt definite mai departe pentru fiecare tip de element al cladirii, trebuie sa aiba o capacitate de rotire plastica inalta.
Prevederea (1)P se considera satisfacuta daca urmatoarele conditii sunt indeplinite:
a) In toate regiunile critice ale elementelor principale la seism, inclusiv la capetele stalpilor (in functie de formarea articulatiilor plastice potentiale in stalpi)(vezi (3) al acestui subparagraf) este prevazuta o ductilitate de curbura suficienta;
b) se previne flambajul local al armaturii comprimate in regiunile de formare a articulatiilor plastice potentiale ale stalpilor principali la seism. Regulile de aplicare relevante sunt date in 4.3 si ;
c) se adopta calitati corespunzatoare pentru beton si otel pentru a asigura ductilitatea locala, dupa cum urmeaza:
otelul folosit in regiunile critice ale elementelor principale la seism trebuie sa aiba o alungire plastica uniforma inalta (vezi 3.2(1)P, P, P);
raportul dintre rezistenta la intindere si rezistenta la curgere a otelului in regiunile critice ale elementelor principale la seism trebuie sa fie semnificativ mai mare decat unitatea. Armatura care se conformeaza cerintelor corespunzatoare din 3.2(1)P, P, P) se poate considera ca satisface aceasta cerinta;
betonul folosit in elementele principale la seism trebuie sa aiba o rezistenta la compresiune adecvata si o deformatie de rupere care sa depaseasca deformatia corespunzatoare rezistentei maxime de compresiune cu o marje adecvata. Betonul care se conformeaza cerintelor corespunzatoare din 4.1.1(1)P sau P, se poate considera ca satisface aceste cerinte.
(3) In absenta unor date disponibile mai precise si daca punctul (4) al acestui subparagraf nu se aplica, punctul (2)a) al acestui subparagraf se considera satisfacut daca factorul ductilitatii de curbura mf al acestor regiuni (definit ca raportul dintre curbura post-ultima corespunzatoare valorii de 85% din momentul capabil si curbura la curgere, cu conditia ca deformatiile limita ale betonului, ecu si otelului, esu,k sa nu fie depasite) este cel putin egal cu urmatoarele valori:
![]()
![]()
![]()
![]()
unde qo este valoarea de baza a factorului de comportare din Tabelul 1 si T1 este perioada fundamentala a cladirii, ambele considerate in planul vertical in care are loc incovoierea iar TC este limita superioara a regiunii din spectru cu acceleratie constanta, in concordanta cu P.
NOTA Expresiile (4) si (5) se bazeaza pe relatia dintre mf si dactorul de ductilitate a deplasarii, md mf md - 1, care este in mod normal o aproximare conservativa pentru elementele din beton, ca si pe urmatoarea relatie dintre md si q: md = q daca T1 TC iar md = 1 + (q-1)TC/T1 daca T1 < TC (vezi de asemenea B5 in Anexa Informativa B). Valoarea qo este folosita in locul valorii q deoarece q este mai mic decat qo in cladirile neregulate, tinand cont ca o rezistenta laterala mai mare este necesara pentru a le proteja. Totusi, cerintele de ductilitate locala pot fi in realitate mai mari decat cele corespunzatoare valorii lui q , astfel incat o reducere a ductilitatii de curbura nu este garantata.
(4) In regiunile critice ale elementelor seismice principale cu armatura longitudinala din otel clasa B in EN 1992-1-1:2004, Tabelul C.1, factorul de ductilitate de curbura mf trebuie sa fie cel putin de 1,5 ori mai mare decat valoarea data de expresia (4) sau (5), pentru oricare dintre ele.
(1)P Trebuie conceput un grad inalt de redundanta, insotit de o redistributie a capacitatii, facilitand o disipare de energie mai larg distribuita si o crestere a disiparii totale de energie. Ca urmare, sistemelor structurale cu un grad redus de nedeterminare, trebuie sa li se atribuie factori redusi de comportare (vezi Tabelul 1). Redistributia necesara a capacitatii trebuie sa fie asigurata prin regulile referitoare la ductilitatea locala date in pana la .
(1)P Numai un numar limitat de componente structurale pot fi desemnate drept compo-nente seismice secundare, in concordanta cu .
Regulile de proiectare si detaliere a elementelor seismice secundare sunt date in .
Efectele de rezistenta si stabilitate care nu sunt luate explicit in calcule pot creste atat energia disipata cat si rezistenta (de ex. efectul de membrana al placilor mobilizate prin contrasagetile peretilor structurali).
Elementele nestructurale pot si ele sa contribuie la disiparea de energie daca sunt distribuite uniform in structura. Trebuie sa se ia insa masuri contra posibilelor efecte defavorabile datorate interactiunii elementelor structurale cu cele nestructurale (vezi ).
Pentru cadrele cu zidarie inramata (care reprezinta un caz obisnuit de elemente nestructurale) se dau reguli speciale in si .
(1)P Datorita naturii aleatoare a actiunii seismice si a incertitudinilor comportarii ciclice postelastice a structurilor din beton, incertitudinea globala este subtantial mai mare decat in cazul actiunilor neseismice. In consecinta, trebuie luate masuri pentru reducerea incertitudinilor legate de configuratia structurii, de calcul, rezistenta si ductilitate.
(2)P Incertitudini importante pot rezulta din erorile geometrice. Pentru a minimiza acest tip de incertitudine, trebuie aplicate urmatoarele reguli:
a) Trebuie respectate dimensiunile minime ale elementelor structurale (vezi 4.1.2 si ) pentru a reduce sensibilitatea la erorile geometrice.
b) Trebuie limitat raportul dintre dimensiunea minima si cea maxima a elementelor liniare pentru a minimiza riscul instabilitatii laterale a acestor elemente (vezi 4.1.2 si P).
c) Deplasarile relative de nivel trebuie limitate pentru a limita efectele P - D in stalpi.(vezi 4.4.2.2(2)-(4)).
d) Un procent substantail din armatura de la partea superioara a sectiunilor normale din capetele grinzii trebuie sa continue in camp pe toata lungimea grinzii (vezi 4.3.1.2(5)P, P) pentru a tine cont de incertitudinea pozitiei punctului de inflexiune.
e) Trebuie sa se tina cont de posibila inversare a sensului momentelor, neprevazuta in calcul, prin dispunerea unei armari minime pe laturile expuse ale grinzilor (vezi 3.1.3).
(3)P Pentru a minimiza incertitudinile trebuie aplicate urmatoarele reguli:
a) In elementele principale la seism trebuie sa se prevada o ductilitate minima locala independenta de clasa de ductilitate adoptata la proiectare (vezi si ).
b) Trebuie sa se prevada o armatura minima de intindere capabila sa evite cedare casanta la fisurare (vezi 4.3 si ).
c) Trebuie sa se respecte limita corespunzatoare a fortei axiale normalizate de proiectare (vezi 4.3.2.1(3)P, , P si ) pentru reducerea consecintelor exfolierii acoperirii, ca si pentru evitarea incertitudinilor mari privind ductilitatea disponibila la nivele mari ale fortei axiale aplicate.
(1)P La verificarile la starea limita ultima, factorii partiali ai proprietatilor materialelor γc si γs trebuie sa ia in considerare posibila degradare a rezistentei materialelor datorata deforma-tiilor ciclice.
(2) In absenta unor date specifice, trebuie aplicati factorii partiali γc si γs adoptati pentru situatiile de proiectare permanente si temporare, presupunand ca datorita prevederilor privind ductilitatea locala, raportul dintre rezistenta reziduala dupa degradare si cea initiala este aproximativ egal cu raportul dintre valorile γM pentru gruparile de incarcari fundamentale si accidentale.
(3) Daca degradarea rezistentei este luata in considerare corespunzator cu evaluarea proprietatilor materialelor, pot fi adoptate valorile γM corespunzatoare situatiilor de proiectare accidentale.
NOTA 1 Valorile atribuite factorilor partiali ai matarialelor γc si γs pentru situatiile de proiectare permanente, temporare si accidentale pot fi gasite in Anexa Nationala a EN 1992-1-1:2004.
NOTA 2 Anexa Nationala poate sa specifice fie valorile γM pentru a fi utilizate in proiectarea antiseismica, fie cele pentru situatiile de proiectare permanente, temporare sau accidentale. In functie de modul in care sunt evaluate proprietatile materialelor sub incarcarile din seism, in Anexa Nationala pot fi introduse si valori intermediare. Recomandarea din (2) al acestui subparagraf permite ca aceleasi valori care se aleg pentru rezistente in situatiile de proiectare permanente si temporare (de ex. incarcari gravitationale plus vant) sa fie luate si pentru situatiile de proiectare seismica.
Proiectarea seismica pentru ductilitate redusa (clasa de ductilitate L), dupa EN 1992-1-1:2004 fara alte cerinte suplimentare fata de cele din 3.2, este recomandata numai pentru cazurile de seismicitate redusa (vezi ).
(1)P La elementele principale la seism (vezi ) trebuie sa se utilizeze pentru armare otelul din clasele B si C din 1992-1-1:2004, Tabelul C.1.
Pentru deducerea actiunilor sesimice, trebuie sa se utilizeze un factor de comportare q de pana la 1,5 indiferent de sistemul structural si de regularitatea din elevatie.
(1)P La elementele principale la seism nu trebuie sa se utilizeze un beton dintr-o clasa inferioara clasei C16/20.
(2)P In regiunile critice ale elementelor principale la seism trebuie sa se utilizeze pentru armare numai bare profilate, cu exceptia etrierilor inchisi si a agrafelor.
(3)P In regiunile critice ale elementelor principale la seism nu se va utiliza pentru armare otelul din clasele B si C din EN 1992-1-1:2004, Tabelul C1.
(4)P Plasele din sarma sudata se pot utiliza daca indeplinesc cerintele de la punctele P si P ale acestui subparagraf.
(1)P Excentricitatea axei grinzii fata de aceea a stalpului cu care se cupleaza trebuie limitata, pentru a permite realizarea unui transfer eficient al momentelor ciclice de la grinda seismica principala, la stalp.
Pentru a favoriza indeplinirea cerintei specificata la punctul (1)P distanta dintre axele centrelor de greutate a doua elemente trebuie sa fie limitata la mai putin de bc/4, unde bc este cea mai mare dimensiune a sectiunii transversale a stalpului perpendicular pe axa longitudi-nala a grinzii.
(3)P Pentru a folosi avantajul rezultat din efectul compresiunii din stalp asupra ancorarii barelor orizontale care trec prin nod, latimea bw a grinzii principale la seism trebuie sa satisfaca urmatoarea relatie:
![]()
Unde hw este inaltimea grinzii iar bc are semnificatia definita in ( ) al acestui subparagraf.
(1) Daca conditia q 0,1 (vezi 4.4.2.2(2)) nu este satisfacuta, dimensiunile sectiunii transversale ale stalpului principal la seism nu trebuie sa fie mai mici de o zecime din distanta dintre punctele de inflexiune de la capetele stalpului, la incovoierea intr-un plan paralel cu dimensiunea considerata a stalpului.
Grosimea inimii, bwo, (in metri) trebuie sa satisfaca urmatoarea conditie:
![]()
unde hs este lumina etajului, in metri.
(2) Elementelor de margine confinate, ale peretelui, li se aplica cerintele suplimentare referitoare la grosime din .
(1) Prevederile de la se aplica si peretilor mari, slab armati.
(1)P Peretii structurali nu trebuie sa fie rezemati pe grinzi sau placi.
(2)P Pentru grinzile principale la seism care sustin stalpi ce se opresc sub grinda se aplica urmatoarele reguli:
a) intre axa stalpului si cea a grinzii nu trebuie sa fie nici o excentricitate;
b) grinda trebuie sa fie sustinuta de cel putin doua rezeme directe pe pereti sau stalpi.
(1)P Cu exceptia peretilor principali la seism, care sunt ductili, pentru care se aplica prevederile specifice din , valorile de proiectare ale momentelor si fortelor axiale trebuie obtinute din calculul structurii pentru situatia seismica de proiectare in concordanta cu EN1990:2001 , luand in considerare efectele de ordinul 2 in concordanta cu si cu cerintele de proiectarea capacitatii din . Este permisa redistributia momentelor incovoietoare in concordanta cu EN 1992-1-1. Valorile de proiectare ale fortelor taietoare pentru elementele principale la seism: grinzi, stalpi, pereti ductili si pereti slab armati se determina in concordanta cu respectiv 4.2.2, 4.2.3, 4.2.4 si 4.2.
(1)P Fortele taietoare de proiectare la seism in grinzile principale trebuie sa fie determinate in concordanta cu regula de proiectare a capacitatii, pe baza echilibrului grinzii sub: a) incarcari transversale actionand pe grinda in situatia seismica de proiectare si b) momentele din capete Mi,d (i = 1,2 marcand sectiunile din capetele grinzii), corespunzatoare formarii articulatiilor plastice pentru sensurile pozitiv si negativ ale incarcarii seismice. Articulatiile plastice trebuie dirijate sa se formeze la capetele grinzilor sau (dupa ce se formeaza mai intai in grinzi) in elementele verticale cuplate la nodurile in care intra grinzile (vezi Figura 1).
Punctul (1)P al acestui subparagraf trebuie sa fie implementat dupa cum urmeaza:
a) In sectiunea din capatul i, trebuie calculate doua valori ale fortei taietoare care actioneaza, adica valoarea maxima, VEd,max,i si valoarea minima VEd,min,i , corespunzatoare respectiv momentelor maxim pozitiv si maxim negativ, Mi,d care se pot dezvolta in capetele 1 si 2 ale grinzii.
b) Momentele din capete, Mi,d din (1)P si ale acestui subparagraf pot fi determinate dupa cum urmeaza:

unde
γRd este factorul care ia in considerare o posibila suprarezistenta datorata rigidizarii otelului la deformare si care in cazul grinzilor DCM poate fi luat egal cu 1,0;
MRb,i este valoarea momentului capabil din capatul i al grinzii, luat cu sensul momentului incovoietor din seism si pentru sensul considerat al actiunii seismice;
ΣMRc si ΣMRb sunt sumele valorilor de proiectare ale momentelor capabile ale stalpilor si respectiv ale momentelor capabile ale grinzilor care intra in nod (vezi 4.4.2.3(4)). Valoarea sumei ΣMRc trebuie sa corespunda fortei axiale din stalp in situatia seismica de proiectare, pentru sensul considerat al actiunii seismice.
c) In capatul grinzii in care aceasta este rezemata indirect pe o alta grinda, in loc sa rezeme pe o componenta verticala, momentul din capatul grinzii Mi,d poate fi luat egal cu momentul din situatia seismica de proiectare care actioneaza in capatul grinzii.

Figura 1: Valorile capabile de proiectare ale fortei taietoare la grinzi
(1)P Valorile de proiectare ale fortelor taietoare ale stalpilor principali la seism trebuie determinate in concordanta cu regula de proiectare a capacitatii, pe baza echilibrului stalpului sub momentele din capete Mid (cu i=1,2 marcand sectiunile din capetele stalpului), corespunzatoare formarii articulatiilor plastice pentru sensurile pozitiv si negativ ale incarcarii seismice. Articulatiile plastice trebuie dirijate sa se formeze la capetele grinzilor conectate la nodurile comune cu ale stalpilor, sau (daca s-au format mai intai in grinzi) la capetele stalpilor (vezi Figura 2).
(2) Momentele din capete, Mi,d din (1)P al acestui subpunct pot fi determinate cu urmatoarea expresie:

unde
γRd este factorul care tine cont de rigidizarea otelului la deformare, ca si de confinarea betonului din zona comprimata a sectiunii si este luat egal cu 1,1;
MRc,i este valorea de proiectare a momentului capabil la capatul i al stalpului luat cu sensul momentului incovoietor din seism, pentru sensul considerat al actiunii seismice;
ΣMRc si ΣMRd sunt definite in 4.2.2(2).
Valorea momentului MRc,i si a sumei ΣMRc trebuie sa corespunda fortei (fortelor) axiale din stalp in situatia seismica de proiectare, pentru sensul considerat al actiunii seismice.

Figura 2: Forta taietoare capabila, de proiectare in stalpi
(1)P Trebuie luate in considerare incertitudinile efectelor rezultate din calculul dinamic postelastic, cel putin printr-o metoda simplificata adecvata. Daca nu este disponibila o metoda mai precisa atunci, la calculul infasuratoarelor momentelor incovoietoare, ca si pentru factorul de amplificare a fortelor taietoare, trebuie aplicate regulile de la punctele care urmeaza.
Este permisa redistributia efectelor actiunii seismice pana la cel mult 30% cu conditia ca sa nu fie redusa capacitatea totala necesara. Fortele taietoare trebuie redistribuite impreuna cu momentele incovoietoare, astfel incat pentru peretii individuali raportul dintre momente incovoietoare si forte taietoare sa nu fie afectat semnificativ. La peretii supusi unei mari variatii a fortei axiale, de ex, la peretii cuplati, momentele si fortele taietoare trebuie sa fie redistribuite de la peretii care sunt slab comprimati sau intinsi, la aceia care sunt supusi unei forte axiale mari.
(3) La peretii cuplati redistribuirea efectelor actiunii seismice intre riglele de cuplare de la diferite nivele este permisa pana la 20%, cu conditia ca forta axiala seismica de la baza fiecarui perete individual (rezultanta fortelor taietoare din grinzile de cuplare) sa nu fie afectata.
(4)P Trebuie acoperite incertitudinile privind distributia de momente pe inaltimea peretilor seismici principali zvelti (cu raportul dintre inaltime si lungime hw / lw mai mare de 2).
Cerinta specificata la P al acestui subparagraf poate fi satisfacuta prin aplicarea, indiferent de procedura de calcul folosita, a urmatoarei proceduri simplificate:
Diagrama momentelor incovoietoare de proiectare pe inaltimea peretelui, trebuie sa rezulte din infasuratoarea momentelor incovoietoare calculate, trasata pe verticala (mutarea tensiunilor). Infasuratoarea poate fi considerata liniara daca structura nu prezinta discontinuitati ale maselor, rigiditatii sau rezistentei pe inaltimea sa (vezi Figura 3). Mutarea tensiunilor trebuie sa fie compatibila cu inclinarea diagonalei considerata pentru verificarea la forfecare la starea limita ultima, cu un posibil model de tip evantai al diagonalelor, aproape de baza si cu planseele actionand ca legaturi.

Legenda
a diagrama de momente din calcul
b infasuratoarea de proiectare
al tensiunea deplasata
Figura 3: Infasuratoarea de proiectare a momentelor incovoietoare in pereti zvelti (stanga: sisteme de pereti; dreapta: sisteme duale).
(6)P Trebuie luata in considerare cresterea posibila a fortei taietoare dupa plastificarea bazei peretelui principal la seism.
Cerinta specificata in P al acestui subparagraf poate fi satisfacuta daca fortele taietoare de proiectare sunt luate cu 50% mai mari decat forta taietoare obtinuta din calcul.
La sistemele duale cu pereti zvelti trebuie utilizata infasuratoarea de proiectare a fortelor taietoare in concordanta cu Figura 4, pentru a tine cont de incertitudinile privind efectele modurilor superioare.

Legenda
a diagrama de forta taietoare din calcul
b diagrama de forta taietoare majorata
c infasuratoarea de proiectare
A Vperete, baza
B Vperete, varf Vperete, baza / 2
Figura 4: Infasuratoarea de proiectare a fortelor taietoare in peretii unui sistem dual
(1)P Pentru a asigura producerea plastificarii la incovoiere inaintea atingerii starii limita ultime la forfecare, trebuie majorata forta taietoare V'Ed rezultata din calcul.
Cerinta de la P al acestui subparagraf se considera satisfacuta daca la fiecare nivel al peretelui, forta taietoare de proiectare, VEd se obtine din forta taietoare rezultata din calcul, V'Ed cu urmatoarea expresie:
![]()
(3)P Fortele axiale dinamice aditionale, dezvoltate in peretii mari, datorita ridicarii de la sol, sau datorita deschiderii si inchiderii fisurilor orizontale, vor fi luate in considerare la verificarea la starea limita ultima a peretelui, la incovoiere cu forta axiala.
Daca nu sunt disponibile rezultatele unui calcul mai riguros, componenta dinamica a fortei axiale din P al acestui subparagraf poate fi considerata 50% din forta axiala in perete datorata fortei gravitationale prezenta in situatia de proiectare seismica. Aceasta forta trebuie luata cu semnul plus sau minus, dupa cum este mai defavorabil.
Daca valoarea factorului de comportare q nu depaseste valoarea 2,0 , efectul fortei axiale dinamice din si ale acestui subparagraf poate fi neglijat.
Rezistenta la incovoiere si forfecare trebuie sa fie calculata in concordanta cu EN 1992-1-1:2004.
Armatura superioara a sectiunilor transversale din capetele grinzilor principale la incovoiere, de forma T sau L, trebuie plasata mai ales pe latimea inimii. Numai o parte a acestei armaturi poate fi plasata in afara latimii inimii, dar numai pe latimea placii active, beff.
(3) Latimea activa a placii, beff se poate lua dupa cum urmeaza:
a) la grinzile principale la seism care reazema pe stalpi exteriori, latimea activa a placii beff este luata, in absenta unei grinzi transversale, egala cu latimea bc a stalpului (Figura 5b), sau, daca exista o grinda transversala cu o inaltime similara, egala cu latimea acesteia majorata cu 2hf de fiecare parte a grinzii (Figura 5a);
b) la grinzile principale la seism, care reazema pe stalpi interiori, latimile de mai sus pot fi majorate cu 2hf de fiecare parte a grinzii (Figura 5c si d).

Figura 5: Latimea efectiva beff pentru grinzile care reazema pe stalpi
(1)P Regiunile unei grinzi principale la seism de la sectiunea normala de capat sau de la oricare sectiune expusa la plastifiere in situatia de proiectare la seism, pe o distanta lcr = hw (unde hw este inaltimea grinzii) trebuie considerate regiuni critice.
La grinzile principale la seism care sustin elemente verticale discontinue, regiunile pe o distanta 2hw de fiecare parte a elementului vertical trebuie considerate regiuni critice.
(3)P Pentru a satisface cerinta de ductilitate in regiunile critice ale grinzilor principale la seism, valoarea factoruluii ductilitatii de curbura, mf trebuie sa fie egala cel putin cu valorile date in 2.3.4(3).
Cerinta specificata la P al acestui subpunct se considera satisfacuta daca urmatoarele conditii sunt indeplinite pentru fiecare talpa a grinzii:
a) In zona comprimata a grinzii, in afara de armatura comprimata necesara pentru verificarea la starea limita ultima a grinzii in situatia de proiectare seismica , se mai dispune si o armatura care nu este mai mica de jumatate din armatura din zona intinsa.
b) Coeficientul de armare al zonei intinse, ρ nu trebuie sa depaseasca valoarea ρmax egala cu:

unde ρ si ρ' sunt rapoartele de armare din zona intinsa, respectiv comprimata, normalizate cu bd unde b este latimea activa a talpii comprimate a grinzii. Daca in zona intinsa exista o talpa, armatura ei longitudinala corespunzatoare latimii active definite in se include in ρ.
(5)P Pe intreaga lungime a grinzii principale la seism, coeficientul de armare al zonei intinse, ρ nu trebuie sa fie mai mic decat ρmin :

(6)P In regiunile critice ale grinzii principale la seism trebuie prevazuti etrieri care sa satisfaca urmatoarele conditii:
a) Diametrul barelor etrierilor, dbw (in milimetri) nu trebuie sa fie mai mic de 6.
b) Distanta dintre etrieri, s (in milimetri) nu trebuie sa depaseasca:
![]()
unde
dbL este diametrul minim al barelor longitudinale (in milimetri); si
hw inaltimea grinzii (in milimetri).
c) Primul etrier va fi plasat la nu mai mult de 50 mm de sectiunea de capat a grinzii (vezi figura 6).

Figura 6: Armatura transversala din regiunile critice ale grinzii
(1)P Eforturile capabile la incovoiere si forfecare trebuie sa fie calculate in concordanta cu EN 1992-1-1:2004, folosind valoarea fortei axiale rezultata din calcul in situatia de proiectare seismica.
Incovoierea biaxiala poate fi luata in considerare in mod simplificat efectuand verificarea separat pe fiecare directie, cu momentul capabil redus cu 30%.
(3)P In stalpii principali la seism valoarea fortei axiale normalizate nd nu trebuie sa depaseasca 0,6
(1)P Coeficientul de armare total, ρl nu trebuie sa fie mai mic decat 0,01 si nu mai mare decat 0,04. La sectiunile transversale simetrice trebuie prevazuta armatura simetrica (ρ = ρ').
(2)P Dealungul fiecarei laturi a sectiunii transversale, intre barele de la colturi trebuie prevazuta cel putin o bara, pentru a asigura integritatea legaturii in nodurile grinda - stalp.
(3)P Regiunile de la capetele stalpului pe o distanta lcr trebuie considerate regiuni critice.
In absenta unei informatii mai precise, lungimea regiunii critice lcr (in metri) poate fi calculata cu urmatoarea expresie:
![]()
unde
hc este cea mai mare dimensiune a sectiunii transversale a stalpului (in metri); si
lcl este inaltimea libera a stalpului (in metri).
(5)P Daca lc / hc < 3, intreaga inaltime a stalpului principal la seism trebuie considerata regiune critica si armata in consecinta.
In regiunea critica de la baza stalpului principal la seism trebuie prevazuta o valoare a factorului de ductilitate de curbura, mf cel putin egala cu cea data in .
(7)P Daca pentru valoarea specificata a mf este necesara o deformatie a betonului mai mare decat ecu2 = 0,0035, oriunde pe sectiune, pierderea de rezistenta datorita exfolierii betonului poate fi compensata printr-o confinare adecvata a inimii de beton, pe baza proprietatilor betonului confinat mentionate in EN 1992-1-1:2004, 3.1.9.
Cerintele specificate in P si P ale acestui subpunct se considera satisfacute daca :
![]()
unde
wwd este coeficientul de armare volumetric al etrierilor de confinare din regiunea critica

mf este valoarea necesara a factorului ductilitatii de curbura;
nd este forta
axiala de proiectare normalizata
![]()
esy,d este valoarea de proiectare a deformatiei de intindere a otelului la curgere;
hc este inaltimea totala a sectiunii transversale (paralela cu directia orizontala pe care se aplica mf folosit in (6)P al acestui subpunct);
ho este inaltimea nucleului de beton confinat (intre axele barelor etrierilor);
bc este latimea totala a sectiunii de beton;
bo este latimea nucleului de beton confinat (intre axele barelor etrierilor);
a este
factorul de eficienta a confinarii, egal cu
![]()
![]()
![]()
unde
n este numarul total de bare mobilizate lateral de etrieri sau agrafe; si
bi este distanta dintre barele succesive mobilizate (vezi Figura 7; de asemenea pentru bo, ho, s).
b) Pentru sectiuni transversale circulare cu etrieri circulari si diametrul nucleului Do (fata de axele barelor etrierului):
an (16b)
![]()
c) Pentru sectiuni circulare transversale cu etrieri in spirala:
an (16c)
![]()
Figura 7: Confinarea nucleului de beton
In regiunea critica de la baza stalpului principal la seism trebuie prevazuta o valoare minima pentru wwd egala cu 0,08.
(10)P In regiunile critice ale stalpilor principali la seism trebuie prevazuti etrieri si agrafe de cel putin 6 mm diametru, la o distanta care sa asigure ductilitatea minima si sa fie prevenit flambajul barelor longitudinale. Modelul de etrieri trebuie sa fie astfel incat sectiunea sa beneficieze de starea de eforturi triaxiala produsa de etrieri.
(11) Cerintele minime din (10)P al acestui subpunct se considera satisfacute daca sunt indeplinite urmatoarele conditii.
a) Spatiul s, dintre etrieri (in milimetri) nu trebuie sa depaseasca:
s = min (18) unde
bo (in milimetri) este dimensiunea minima a nucleului de beton (intre axele barelor etrierilor); si
dbL este diametrul minim al barelor longitudinale (in milimetri).
b) Distanta dintre barele longitudinale consecutive mobilizate de etrieri nu trebuie sa depa-seasca 200 mm, luind in considerare EN 1992-1-1:2004, 9.3(6).
(12)P Armatura transversala din regiunea critica de la baza stalpilor principali la seism poate fi determinata asa cum este specificat in EN 1992-1-1:2004, daca valoarea fortei axiale normalizate in situatia seismica de proiectare este mai mica de 0,2 iar valoarea factorului q utilizat in proiectare nu trebuie sa depaseasca 2,0.
Armatura orizontala de confinare din nodurile ginzi-stalpi principali la seism nu trebuie sa fie mai mica decat cea specificata in pentru regiunile critice ale stalpilor, cu exceptia cazului mentionat la punctul urmator.
Daca pe toate cele patru laturi ale nodului sunt grinzi iar latimea lor este cel putin trei sferturi dimensiunea sectiunii transversale paralela cu stalpul, distanta dintre armaturile orizontale de confinare din nod poate fi dublata fata de cea din al acestui subpunct, dar nu mai mult de 150 mm.
(3)P Pe fiecare latura a nodului dintre grinzile si stalpii principali la seism trebuie prevazuta cel putin o bara verticala intermediara (intre barele din colturile sectiunilor barelor).
(1)P Daca nu se specifica altceva in paragrafele urmatoare, capacitatile la incovoiere si forfecare trebuie sa fie calculate in concordanta cu EN 1992-1-1:2004, folosind fortele rezultate din calcul, in situatia seismica de proiectare.
La peretii principali la seism valoarea fortei axiale normalizate, nd nu trebuie sa depaseasca valoarea 0,4.
(3)P La calculul capacitatii la incovoiere a sectiunilor peretilor trebuie luata in considerare
armatura verticala a inimii.
Sectiunile compozite ale peretilor constand in segmente rectangulare cuplate sau intersectate (L-, T-, U-, I- sau sectiuni similare) trebuie considerate ca un intreg unitar, constand dintr-una sau mai multe inimi paralele sau aproximativ paralele cu directia de actiune a fortei taietoare din seism si una sau mai multe talpi perpendiculare sau aproximativ perpendiculare pe aceasta. Pentru calculul capacitatii la incovoiere, latimea efectiva a placii de fiecare parte a inimii se ia de la fata inimii cu valoarea minima dintre:
a) latimea efectiva a placii;
b) jumatatea distantei pana la inima sau peretele adiacente; si
c) 25% din inaltimea totala a peretelui de deasupra nivelului considerat.
Inaltimea regiunii critice hcr de deasupra bazei peretelui poate fi estimata cu:
(19a)
dar
(19b) pentru n £
6 nivele pentru n
7 nivele
unde hs este inaltimea libera a etajului iar baza este definita la nivelul fundatiei sau la varful subsolului cu diafragme rigide si pereti perimetrali
In regiunile critice ale peretelui trebuie prevazuta o valoare a factorului ductilitatii de curbura, mf cel putin egala cu cea calculata din expresiile (4), (5) din , inlocuind in aceste expresii valoarea de baza a factorului de comportare qo cu produsul dintre qo si raportul MEd/MRd de la baza peretelui in situatia seismica de proiectare, unde MEd este momentul incovoietor de proiectare rezultat din calcul iar MRd este momentul incovoietor capabil.
Daca nu se utilizeaza o metoda mai precisa, valoarea lui mf specificata in al acestui subpunct poate fi atinsa cu ajutorul armaturii de confinare din regiunile de margine ale sectiunii transversale, denumite elemente de granita, a caror limita trebuie sa fie determinata in concordanta cu al acestui subparagaf. Cantitatea de armatura de confinare trebuie sa fie determinata in concordanta cu (4) si (5) ale acestui subparagraf.
(4) Pentru peretii cu sectiune transversala dreptunghiulara, coeficientul de armare volumetric al armaturii de confinare din elementele de granita, wwd trebuie sa satisfaca urmatoarea relatie, luand valoarea lui mf specificata in al acestui subparagraf:
unde parametrii sunt definiti in 4.3.2.2(8), cu exceptia lui wn, care este coeficientul de armare volumetric
al armaturii verticale a inimii
![]()
Pentru peretii cu evazari la capete sau cu placi, sau cu o sectiune constand din mai multe parti rectangulare (sectiuni de forma T-,L-,I-,U- etc) coeficientul de armare volumetric al armaturii de confinare in elementele de margine poate fi determinat dupa cum urmeaza:
a) Forta axiala, NEd si aria totala
a armatutii verticale din inima, Asv
trebuie normalizate cu hcbcfcd, cu latimea evazarii sau a
placii comprimate luata ca latime a sectiunii
transversale bc
![]()
unde bo este latimea inimii confinate a evazarii sau a placii. Daca valoare lui xu din expresia (21) nu depaseste inaltimea evazarii sau a placii dupa exfolierea betonului de acoperire, indicele volumetric al armaturii de confinare in evazare sau talpa este determinat ca in a) al acestui subparagraf (adica din expresia (20), 4.3.4.2(4)), cu nd wn, bc si bo referitoare la latimea evazarii sau a placii.
b) Daca valoarea lui xu depaseste inaltimea
evazarii sau a talpii dupa exfolierea betonului de acoperire, se
poate aplica metoda generala bazata pe: 1) definitia factorului
de ductilitate a curburii
![]()
![]()
![]()
Confinarea de la ale acestui subparagraf trebuie extinsa pe verticala pe
inaltimea hcr a
regiunii critice definita in
si orizontal pe lungimea lc
masurata de la fibra extrema comprimata a peretelui
pana la punctul unde betonul neconfinat se poate exfolia datorita
deformatiilor mari de compresiune. Daca nu sunt disponibile date mai
precise, deformatia de compresiune la care se asteapta
exfolierea poate fi luata egala cu ecu2 =
0,003 Elementele de granita confinate pot fi limitate la o lungime de
xu(1-ecu2 ecu2,c) de la axul barelor etrierului de langa fibra comprimata
extrema , cu inaltimea xu
a zonei comprimate pentru curbura ultima obtinuta din echilibru
(conform expresiei (21) pentru o latime constanta bo a zonei comprimate
confinate) si deformatia ultima ecu2,c a betonului confinat estimata pe baza EN
1992-1-1:2004, 3.1.9 cu
![]()

Figura 8: Elementul de margine confinat al unui perete cu un capat cu marginea libera (sus: deformatia corespunzatoare curburii ultime; jos: sectiunea transversala)
(7) Nu se cere nici un element de margine confinat la placile cu grosimea bf hs/15 si latimea lf hs/5, unde hs este inaltimea libera a etajului (Figura 9). In orice caz, elementele de granita confinate pot fi necesare la capetele unor asemenea placi datorita incovoierii peretelui in afara planului sau.

Figura 9: Elementul de granita confinat nu este necesar in capatul peretelui cu o talpa transversala mare
Indicele armaturii longitudinale din elementele de granita nu trebuie sa fie mai mic de 0,00
Prevederile din si se aplica elementelor de granita ale peretilor. Nu trebuie utilizatie etrieri suprapusi, astfel ca orice alta bara longitudinala trebuie mobilizata de catre un etrier sau o agrafa.
(10) Grosimea partilor confinate ale sectiunii peretelui (elemente de margine) nu trebuie sa fie mai mica de 200 mm. Mai mult, daca lungimea partii confinate nu depaseste cea mai mare dintre valorile date de 2bw si 0,2lw, atunci bw nu trebuie sa fie mai mic decat hs/15, unde hs este inaltimea etajului. Daca lungimea partii confinate depaseste cea mai mare dintre valorile 2bw si 0,2lw, atunci bw nu trebuie sa fie mai mica decat hs/10 (vezi Figura 10).

Figura 10: Grosimea minima a elementelor de margine confinate
(11) Pe inaltimea peretelui, deasupra regiunii critice, se aplica numai regulile relevante din EN 1992-1-1:2004 privind armatura verticala, orizontala si tranversala. Totusi, in acele parti ale sectiunii unde, sub situatia de proiectare seismica, deformatia de compresiune ec depaseste 0,002, se va prevedea o armatura verticala cu indicele de armare minim de 0,00
Armatura transversala din elementele de granita din (4) - (10) ale acestui subparagraf poate fi determinata in concordanta doar cu EN 1992-1-1:2004, daca este indeplinita una dintre urmatoarele conditii:
a) Valoarea normalizata a fortei axiale de proiectare nd nu este mai mare decat 0,15; sau
b) valoarea lui nd nu este mai mare de 0,20 iar factorul q utilizat in calcul este redus cu 15%.
(1)P Se va verifica SLU la incovoiere cu forta axiala, in concordanta cu EN 1992-1-1:2004, presupunand fisurarea orizontala si considerand situatia sectiunilor plane.
(2)P Eforturile normale din beton vor fi limitate, pentru a se preveni instabilitatea peretelui in afara planului sau.
Cerintele din P al acestui subpunct pot fi satisfacute pe baza regulilor din EN 1992-1-1:2004, pentru efectele de ordinul doi, completate cu alte reguli pentru eforturile normale in beton, daca este necesar.
Cand se ia in considerare forta axiala dinamica din P si pentru verificarea starii limita ultima la incovoiere cu forta axiala, deformatia limita ecu2 pentru betonul neconfinat poate fi majorata la 0,00 Pentru betonul confinat se poate lua in considerare o valoare mai mare, in concordanta cu EN 1992-1-1:2004, 3.1.9, cu conditia ca sa se verifice daca betonul de acoperire nu se exfoliaza.
Datorita marjei de siguranta prevazuta in P si prin majorarea fortelor taietoare de proiectare si pentru ca raspunsul in deformatii este controlat (inclusiv posibilele fisuri inclinate), nu se cere respectarea indicelui de armare minim la forfecare in inima, ρw,min ,
indiferent de faptul ca valoarea VEd din este mai mica decat valoarea de proiectare a fortei taietoare capabile VRd,c din EN 1992-1-1:2004, .
NOTA Valoarea atribuita lui ρw,min pentru a fi folosita intr-o anumita tara poate fi gasita in Anexa Nationala a acestui document. Valoarea recomandata este valoare minima pentru pereti din EN 1992-1-1:2004 si din Anexa Nationala.
Chiar daca conditia VEd VRd,c nu este satisfacuta, armarea la forfecare a inimii trebuie calculata in concordanta cu EN 1992-1-1:2004, pe baza modelului de grinda cu zabrele cu inclinare variabila sau cu diagonala comprimata luand un diametru care sa nu fie mai mic de 6 mm sau o treime din diametrul barelor verticale, dbL. Etrierii si agrafele nu trebuie sa aiba intre ele o distanta mai mare decat cea mai mica dintre dimensiunile 100 mm si 8dbL.
Daca se foloseste modelul cu diagonala comprimata, latimea diagonalei trebuie sa tina cont de prezenta golurilor si sa nu depaseasca cea mai mica dintre dimensiunile 0,25lw sau 4bwo.
Trebuie verificata starea limita de lunecare la nodurile orizontale in concordanta cu EN 1992-1-1:2004, , pe o lungime de ancoraj a barelor cu carlige depasind sectiunea cu mai mult de 50% din lungimea prevazuta in EN 1992-1-1:2004.
Barele verticale necesare pentru verificarea SLU la incovoiere cu forta axiala sau pentru satisfacerea oricarei cerinte de armare minima, trebuie sa fie mobilizate de un etrier sau de o agrafa cu diametrul de cel putin 6 mm sau o treime din diametrul barei verticale, dbL. Etrierii si agrafele trebuie sa fie la o distanta cel putin egala cu cea mai mica dintre 100 mm si 8dbL.
Barele verticale necesare pentru verificarea SLU la incovoiere cu forta axiala, mobilizate de etrieri si agrafe in concordanta cu al acestui subparagraf trebuie sa fie concentrate in elementele de granita la marginile sectiunii transversale. Aceste bare trebuie sa fie prelungite in directia lungimii lw a peretelui, pe o distanta cel putin egala cu cea mai mare dintre bw si 3bwσcm/fcd, unde σcm este valoarea medie a efortului unitar in betonul din zona comprimata in SLU la incovoiere cu compresiune axiala. Diametrul barelor verticale nu trebuie sa fie mai mic de 12 mm la nivelul de jos al cladirii sau la oricare alt nivel, la care lungimea lw a peretelui este redusa fata de cea a nivelului de mai jos cu mai mult de o treime din inaltimea nivelului, hs. La toate celelalte nivele diametrul barelor verticale nu trebuie sa fie mai mic de 10mm.
Pentru a evita o schimbare a modului de comportare de la cel de incovoiere la cel de forfecare, cantitatea de armatura verticala dispusa in sectiunea peretelui nu trebuie sa depaseasca cantitatea ceruta pentru verificarea SLU la incovoiere cu forta axiala si pentru integritatea betonului.
Etrierii inchisi, verticali sau orizontali, trebuie dispusi: (a) in toate intersectiile de pereti sau in conexiunile cu placi; (b) la toate nivelele planseelor; si (c) in jurul golurilor din perete. Ei trebuie sa satisfaca cel putin prevederile din EN 1992-1-1:2004, .
(1)P La elementele principale la seism nu trebuie utilizate clase de beton inferioare
C 20/2
(2)P Cerintele specificate in paragraful P se aplica si la acest subparagraf.
(3)P In regiunile critice ale elementelor principale la seism se vor utiliza clasele de otel de armare expuse in Tabelul C.1 al EN 1992-1-1:2004. Suplimentar, valorea superioara caracteristica (fractilul 95%) a rezistentei efective fyk,0,95 nu va depasi valoarea nominala cu mai mult de 25%.
(1)P Latimea grinzilor principale la seism nu trebuie sa fie mai mica de 200 mm.
(2)P Raportul latime pe inaltime al inimii grinzilor principale la seism trebuie sa satisfaca expresia (40b) din EN 1992-1-1:2004.
(3)P Se aplica paragraful P.
(4)P Se aplica paragraful .
(5)P Se aplica paragraful P.
(1)P Dimensiunea minima a sectiunii transversale a stalpului principal la seism nu trebuie sa fie mai mica de 250 mm.
Se aplica paragraful .
(1)P Aceste prevederi se refera la peretii individuali, principali la seism, ca si la componentele individuale ale peretilor cuplati principali la seism, solicitati in planul lor, perfect incastrati si ancorati la baza in subsoluri sau fundatii adecvate, astfel incat balansarea lor sa nu fie permisa. In acest sens nu sunt permisi peretii sprijiniti pe placi sau grinzi ( vezi si ).
Se aplica paragraful .
Se aplica si cerintele suplimentare referitoare la grosimea elementelor confinate, de granita, ale peretilor principali la seism, asa cum sunt specificate in si .
La peretii principali la seism se vor evita golurile dispuse aleator si neregulat pentru a forma pereti cuplati, in afara situatiilor in care influenta lor este fie nesemnificativa sau este considerata in calcul, dimensionare si detaliere.
(1)P Se aplica paragraful P.
(2)P Se aplica paragraful P.
(1)P Paragraful P se aplica valorilor de proiectare ale momentelor incovoietoare si ale fortelor axiale.
(2)P Se aplica paragraful P.
Se aplica paragraful cu valoarea γRd = 1,2 in expresia (8).
Paragraful P (care se refera si la cerintele privind proiectarea capacitatii in ) se aplica pentru valorile de proiectare ale momentelor incovoietoare si ale fortelor axiale.
(2)P Se aplica paragraful P.
Se aplica paragraful cu valoarea γRd = 1,2 in expresia (9).
Se aplica paragraful .
(1)P Forta taietoare orizontala care actioneaza in nodul dintre grinda si stalpul principal la seism trebuie sa fie determinata luand in considerare cele mai defavorabile conditii sub actiunea seismica, adica conditiile de proiectare a capacitatii pentru grinzile care intra in nod si cele mai mici valori compatibile ale fortei taietoare ale celorlaltor elemente care intra in nod.
Pentru forta taietoare orizontala care actioneaza in nucleul de beton al nodului se pot utiliza expresii simplificate, dupa cum urmeaza:
a) pentru nodurile interioare grinda - stalp:
![]()
b) pentru nodurile exterioare grinda - stalp:
![]()
unde
As1 este aria armaturii de la marginea superioara a grinzii;
As2 este aria armaturii de la marginea inferioara a grinzii;
VC este forta taietoare in stalpul de deasupra nodului, rezultata din calculul cu incarcarea seismica de proiectare;
γRd este factorul care tine cont de suprarezistenta datorata rigidizarii otelului la deformatii si nu trebuie sa fie mai mic decat 1,2.
Fortele taietoare care actioneaza la noduri trebuie sa corespunda celui mai defavorabil sens al actiunii seismice influentand valorile As1, As2, VC utilizate in expresiile (22) si (23).
(1)P Se aplica paragraful P.
Se aplica paragraful .
Se aplica paragraful .
(4)P Se aplica paragraful P.
Se aplica paragraful .
(6)P Se aplica paragraful P.
Cerinta de la (6)P se considera satisfacuta daca se aplica urmatoarea procedura simplificata, care incorporeaza regula de proiectare a capacitatii:
Fortele taietoare de proiectare VEd trebuie sa fie determinate cu expresia:
![]()
unde
V'Ed este forta taietoare rezultata din calcul
e este factorul de majorare, calculat cu expresia (25), dar nu mai putin de 1,5:

unde
q este factorul de comportare folosit in proiectare;
MEd este momentul incovoietor de proiectare la baza peretelui;
MRd este momentul incovoietor capabil la baza peretelui;
γRd este factorul care tine cont de suprarezistenta datorata consolidarii otelului;
T1 este perioada fundamentala de vibratie a cladirii pe directia fortelor taietoare VEd;
TC este limita superioara a perioadei din regiunea constanta a acceleratiei spectrale (vezi 3.2.2);
Se(T) este ordonata spectrului elastic de raspuns (vezi 3.2.2).
(8) Prevederile din 4.2.4(8) se aplica peretilor zvelti ai DCH.
(1)P La peretii principali la seism cu raportul inaltime pe lungime, hw/lw, care nu este mai mare de 2,0, nu este necesar sa se modifice momentele incovoietoare rezultate din calcul. Majorarea fortei taietoare datorita efectelor dinamice poate fi neglijata, de asemenea.
Forta taietoare V'Ed rezultata din calcul trebuie sa fie majorata dupa cum urmeaza:

(vezi 2.4.1(7) pentru definitiile si valorile variabilelor).
(1)P Capacitatea la incovoiere trebuie calculata in concordanta cu EN 1992-1-1;2004.
Se aplica paragraful .
Se aplica paragraful .
(1)P Calculele si verificarile rezistentei la forfecare trebuie sa fie efectuate in concordanta cu EN 1992-1-1:2004, daca nu se specifica altceva in paragrafele urmatoare.
(2)P In zonele critice ale grinzilor principale la seism, inclinarea diagonalelor comprimate, q , in modelul de grinda cu zabrele trebuie sa fie 45
Referitor la dispunerea armaturii de forfecare in regiunea critica a grinzii principale la seism, in capatul unde grinda se cupleaza cu stalpul, trebuie distinse urmatoarele cazuri, in functie de valoarea algebrica a raportului z = VEd,min/VEd,max, dintre fortele taietoare minima si maxima, asa cum sunt deduse in concordanta cu 2.1(3).
a) Daca z -0,5, adica atunci cand se asteapta o inversare totala a fortelor taietoare:
i) daca
![]()
unde fctd este valoarea de proiectare a rezistentei betonului la intindere din EN 1992-1-1:2004, aplicandu-se aceiasi regula ca si in a) al acestui paragraf.
ii) daca |VE|max depaseste limita din expresia (27), armatura inclinata trebuie dispusa pe doua directii, la fata de axa grinzii sau dealungul celor doua diagonale ale elevatiei grinzii, preluand jumatate din |VE|max iar cealalta jumatate fiind preluata de etrieri;
- Intr-un asemena caz, verificarea este efectuata cu ajutorul conditiei:
unde
As este aria armaturii inclinate pe o directie, traversand planul potential de lunecare (adica sectiunea din capatul grinzii);
a este unghiul dintre armatura inclinata si axa grinzii (in mod normal a , sau tan a (d-d')/lb).
(1)P Vor fi considerate regiuni critice, regiunile grinzii principale la seism, de la sectiunile de capat unde grinda intra in nodul grinda - stalp, pe o distanta lcr = 1,5hw (unde hw este inaltimea grinzii), ca si de la ambele capete la oricare alta sectiune pasibila de plastificare, in situatia de incarcare seismica.
Se aplica paragraful .
(3)P Se aplica paragraful P.
Se aplica paragraful .
Pentru a satisface conditiile necesare de ductilitate, urmatoarele conditii trebuie sa fie satisfacute pe toata lungimea grinzii principale la seism:
a) trebuie sa fie satisfacut paragraful 4.3.1.2(5)P.
b) trebuie prevazute cel putin doua bare puternic ancorate cu db = 14 mm la partea de sus si de jos a grinzii, pe toata lungimea sa;
c) un sfert din armatura maxima de la varful sectiunilor de reazem trebuie sa fie continuata pe toata lungimea grinzii.
(6)P Se aplica paragraful 4.3.1.2(6)P, inlocuind expresia (13) cu urmatoarea expresie:
(1)P Se aplica paragraful P.
Se aplica paragraful .
(3)P Valoarea fortei axiale normalizate nd a stalpilor principali la seism nu va depasi 0,5
(1)P Se aplica paragraful P.
(2)P Se aplica paragraful P.
(3)P Se aplica paragraful P.
In absenta unor informatii mai precise, lungimea regiunii critice, lcr poate fi calculata dupa cum urmeaza (in metri):
![]()
unde
hc este dimensiunea maxima a sectiunii transversale a stalpului (in metri); si
lcl este lungimea libera (in metri).
(5)P Se aplica paragraful P.
(6)P Se aplica paragraful P.
Detalierea regiunilor critice de deasupra bazei stalpului trebuie sa se bazeze pe o valoare minima a factorului de ductilitate de curbura mf (vezi 2.3.4) obtinut din . In orice loc in care un stalp este protejat impotriva aparitiei articulatiei plastice prin procedura de proiectare a capacitatii din (adica unde expresia (4.29) este satisfacuta), valoarea qo din expresiile (4) si (5) poate fi substituita prin 2/3 din valoarea qo aplicata pe o directie paralela cu inaltimea hc a sectiunii transversale a stalpului.
(8)P Se aplica paragraful P.
Cerintele P, si P ale acestui subparagraf se considera satisfacute daca este satisfacut cu valorile mf specificate in P si al acestui subparagraf.
(10) Valoarea minima prescrisa a lui wwd este 0,12 in regiunea critica a bazei stalpului sau 0,08 in toate regiunile critice de deasupra bazei.
(11)P Se aplica paragraful P.
Conditiile minime din P al acestui subparagraf se considera indeplinite daca urmatoarele cerinte sunt satisfacute in totalitate:
a) diametrul dbw al etrierilor este egal cel putin cu:
![]()
b) Distanta dintre etrieri (in milimetri) nu trebuie sa depaseasca:
unde
bo (in milimetri) este dimensiunea minima a nucleului de beton (in interiorul etrierilor inchisi; si
dbL este diametrul minim al barelor longitudinale (in milimetri).
c) Distanta dintre barele longitudinale consecutive, cuprinse de etrieri sau agrafe nu trebuie sa depaseasca 150 mm.
(13)P La primele doua nivele ale cladirii, conform cu P si ale acestui subpunct, se vor dispune etrieri deasupra regiunilor critice pe o lungime suplimentara egala cu jumatatea lungimii acestor regiuni.
(14) Cantitatea de armatura longitudinala prevazuta la nivelul unde este baza stalpului (la nivelul unde acesta este conectat la fundatie) nu trebuie sa fie mai mica decat aceea prevazuta la partea de sus a aceluiasi nivel.
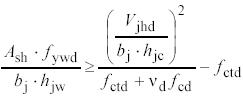
(1)P In diagonala comprimata indusa in nod prin mecanismul de diagonala comprimata, nu trebuie sa fie depasita rezistenta la compresiune a betonului in prezenta deformatiilor de intindere transversala.
In absenta unui model mai precis, cerinta de la P al acestui subpunct poate fi satisfacuta prin regulile care urmeaza.
a) la nodurile interioare grinda - stalp trebuie satisfacute urmatoarele expresii:
unde
![]()
hjc este distanta dintre randurile extreme ale armaturii stalpului;
bj are semnificatia definita in expresia (34);
nd este forta axiala normalizata in stalpul de deasupra nodului; si
Fck este dat in MPa.
b) La nodurile exterioare grinda - stalp:
Vjhd trebuie sa fie mai mic de 80% din valoarea data de membrul drept al expresiei (33) unde:
Vjhd este dat de expresiile (22) si respectiv (23);
(34a)
iar latimea
efectiva a nodului, bj este:
(34b) a) daca
![]()
b) daca
![]()
Trebuie sa se prevada o confinare adecvata la nod (atat orizontala cat si verticala), pentru a limita la cel mult fctd eforturile maxime de intindere σct. In absenta unui model mai precis, aceasta cerinta poate fi satisfacuta prin prevederea in nod a unor etrieri orizontali cu un diametru de cel putin 6mm, astfel incat:

unde
Ash este aria totala a etrierilor orizontali;
Vjhd are semnificatia definita in expresiile (23) si (24);
hjw este distanta dintre randurile de armatura extreme ale grinzii;
hjc este distanta dintre randurile de armatura extreme ale stalpului;
bj are semnificatia definita in expresia (34);
nd este
forta axiala de proiectare, normalizata in stalpul de deasupra (
![]()
fctd este valoarea de proiectare a rezistentei de intindere a betonului, in concordanta cu EN 1992-1-1:2004.
Ca o altenativa la regula specificata in al acestui subparagraf, integritatea nodului dupa fisurarea orizontala poate fi asigurata prin armarea cu etrieri orizontali. In acest scop in nod trebuie prevazuta urmatoarea arie totala de etrieri orizontali.
(36a)
a) la noduri
interioare:
![]()
(36b)
b) la nodurile exterioare:
![]()
unde γRd este egal cu 1,2 (cf ) iar forta axiala normalizata nd se refera la stalpul de deasupra nodului in expresia (36a), sau la stalpul de sub nod in expresia (36b).
Etrierii orizontali calculati ca in si ale acestui subpunct trebuie sa fie uniform distribuiti pe inaltimea hjw intre barele de la varf si de la baza ale grinzii. La nodurile exterioare ei trebuie sa cuprinda capetele barelor din grinda indoite in nod.
La stalpi trebuie prevazuta o armatura verticala adecvata care sa treaca prin nod, astfel incat:
![]()
unde Ash este aria totala necesara a etrierilor orizontali, in concordanta cu si ale acestui subparagraf iar Asv,j este aria totala a barelor intermediare plasate la fata relevanta a stalpului, intre barele de pe colt ale acestuia (inclusiv barele care fac parte din armarea longitudinala a stalpului).
Se aplica .
Se aplica .
(9)P Se aplica P.
(1)P Rezistenta la incovoiere trebuie evaluata si verificata ca pentru stalpi, sub cele mai defavorabile forte axiale, pentru incarcarea seismica de proiectare.
La peretii principali la seism, valoarea fortei axiale normalizate nu trebuie sa depaseas-ca 0,3
Valoarea VRd,max trebuie calculata dupa cum urmeaza:
a) in afara regiunii critice:
ca in EN 1992-1-1:2004, cu lungimea bratului de parghie, z egal cu 0,8lw si inclinarea diagonalei comprimate fata de verticala, data prin tanq, egala cu 1,0.
b) in regiunea critica:
40% din valoarea din afara regiunii critice.
(1)P La calculul armaturii inimii pentru verificarea SLU la forfecare trebuie sa se tina cont de valoarea raportului as = MEd/(VEd lw). La verificarea SLU a unui nivel al cladirii la forfecare trebuie utilizata valoarea maxima a lui as
Daca raportul as 2,0, se aplica prevederile din EN 1992-1-1:2004 6.2.3(1)-(7), cu valoarea lui z si a tanq luate ca in a).
Daca as < 2,0, se aplica urmatoarele prevederi:
a) barele orizontale din inima trebuie sa satisfaca urmatoarea expresie (vezi EN 1992-1-1:2004, 6.2.3(8)):
![]()
unde
rh este raportul de armare al barelor
orizontale din inima (
![]()
fyd,h este valoarea de proiectare a rezistentei de curgere a armaturii orizontale din inima;
VRd,c este valoarea de proiectare a fortei taietoare capabile pentru componentele fara armare de forfecare, in concordanta cu EN 1992-1-1:2004.
In regiunile critice ale peretelui VRd,c trebuie sa fie egala cu zero, daca forta axiala NEd este de intindere.
b) Barele verticale din inima, ancorate si suprapuse pe inaltimea peretelui, in concordanta cu EN 1992-1-1:2004 trebuie sa satisfaca urmatoarea conditie:
unde
rv este raportul de armare al barelor
verticale din inima (
![]()
fyd,v este valoarea de proiectare a rezistentei de curgere a armaturii verticale din inima;
unde forta axiala NEd este considerata pozitiva la compresiune
(4) Barele orizontale din inima trebuie sa fie complet ancorate la capetele sectiunii stalpului, de ex. prin carlige la 90 sau 135 .
(5) Barele orizontale din inima sub forma de etrieri inchisi alungiti sau total ancorati pot fi considerati ca participa in totalitate la confinarea elementelor de granita ale peretelui.
(1)P In regiunile critice, pe planele potentiale de forfecare (de exemplu la nodurile constructiei) trebuie satisfacuta urmatoarea conditie:
![]()
unde VRd,S este valoarea de proiectare a fortei taietoare capabile contra cedarii prin lunecare
Valoarea VRd,S se poate calcula dupa cum urmeaza:
![]()
cu:

unde
Vdd este rezistenta de dorn a barelor verticale;
Vid este rezistenta la forfecare a barelor inclinate (cu un unghi j fata de planul potential de lunecare, adica nodul constructiei);
Vfd este rezistenta de frecare;
mf este coeficientul de frecare beton pe beton sub actiuni ciclice, care poate fi luat egal cu 0,6 pentru suprafete netede si 0,7 pentru suprafete rugoase, asa cum sunt definite in EN 1992-1-1:2004, 6.2.5(2);
z este lungimea bratului de parghie;
x este inaltimea normalizata a zonei comprimate;
aAsj este suma ariilor barelor verticale din inima si a barelor aditionale dispuse in elementele de granita, pentru rezistenta contra lunecarii;
aAsj este suma ariilor tuturor barelor inclinate in ambele directii; in acest scop sunt recomandate bare cu un diametru mare;
![]()
NEd se considera pozitiv la compresiune.
Peretii scurti trebuie sa satisfaca urmatoarele conditii:
a) la baza peretelui, Vid trebuie sa fie mai mare decat VEd/2;
b) la nivelele superioare, Vid trebuie sa fie mai mare decat VEd/4;
Barele inclinate trebuie sa fie total ancorate la ambele capete ale interfetelor de lunecare potentiala si trebuie sa depaseasca toate sectiunile peretelui de deasupra sectiunii critice de baza cu o lungime egala cu cea mai mica dintre distantele 0,5 lw si 0,5 hw
Barele inclinate conduc la o crestere a rezistentei la incovoiere la baza peretelui, de care trebuie tinut cont oriunde actioneaza o forta taietoare VEd calculata in concordanta cu regula de proiectare a capacitatii (vezi P si si ). Pot fi utilizate doua metode alternative.
a) Cresterea capacitatii de rezistenta la incovoiere DMRd, care trebuie utilizata in calculul lui VEd poate fi estimata cu:

unde
li este distanta dintre axele a doua seturi de bare inclinate, dispuse sub un unghi de f fata de planul de lunecare potentiala, masurat la baza sectiunii;
iar celelalte simboluri sunt ca in expresia (42).
b) Forta taietoare VEd poate fi calculata neglijand efectul barelor inclinate. In expresia (42) Vid este forta taietoare capabila neta a barelor inclinate (adica forta taietoare capabila redusa cu cresterea fortei taietoare efective). Forta taietoare capabila neta a barelor inclinate care se opune lunecarii poate fi calculata cu:
Se aplica paragraful .
Se aplica paragraful .
Se aplica paragraful .
Se aplica paragraful .
Se aplica paragraful .
Se aplica paragraful .
Se aplica paragraful .
Se aplica paragraful .
Daca peretele este conectat la o talpa cu grosimea bf hs/15 si latimea lf hs/5 (unde hs este inaltimea libera a etajului) iar elementul de granita confinat trebuie extins dincolo de talpa in inima pe o lungime aditionala de pana la 3bwo, atunci grosimea bw a elementului de granita al inimii trebuie sa corespunda doar prevederilor din pentru bwo (Figura 11).

Figura 11: Grosimea minima a elementelor de granita confinate la peretii DCH cu talpi mari
(10) La elementele de granita ale peretilor se aplica cerintele specificate in iar wwd trebuie sa aiba valoarea minima 0,12. Trebuie utilizata suprapunerea etrierilor astfel incat fiecare bara longitudinala sa fie mobilizata de catre un etrier sau o agrafa.
(11) Deasupra regiunii critice, trebuie prevazute elementele de granita, pe unul sau mai multe nivele, avand cel putin jumatate din armatura necesara in regiunea critica.
(12) Se aplica
(13)P Fisurarea prematura la forfecare a inimii peretelui trebuie prevenita prin prevederea unei cantitati minime de armare a inimii: rh,min rv,min
(14) Armarea inimii trebuie prevazuta sub forma a doua plase cu aceleasi caracteristici de aderenta, cate una pe fiecare fata a peretelui. Plasele trebuie conectate cu agrafe dispuse la aproximativ 500 mm.
(15) Armaturile inimii trebuie sa aiba un diametru de cel putin 8 mm, dar nu mai mare de o optime din latimea bwo a inimii. Distanta dintre ele trebuie sa fie mai mica sau cel mult egala cu cea mai mica dintre urmatoarele distante: 250 mm sau 25 diametri de bara.
(16) Pentru a compensa efectul defavorabil al fisurarii dealungul legaturilor reci, ca si incertitudinile asociate acestora, trebuie prevazuta o cantitate minima de armatura verticala complet ancorata peste acestea. Indicele minim al acestei armaturi, rmin necesar pentru restabilirea rezistenta betonului dinaintea fisurarii, contra forfecarii este:

unde Aw este aria sectiunii transversale orizontale a peretelui iar NEd trebuie sa fie pozitiv la compresiune.
(1)P Cuplarea peretilor prin intermediul placilor nu trebuie luata in considerare pentru ca nu este eficienta.
La grinzile de cuplare se pot aplica doar prevederile din 3.1 daca una (oricare dintre ele) dintre urmatoarele conditii este indeplinita:
a) Fisurarea pe ambele directii diagonale este improbabila. O regula acceptabila de aplicat este:
![]()
b) Se asigura ca modul prevalent de cedare sa fie cel de incovoiere. O regula acceptabila de aplicat este: l/h
Daca nici una dintre conditiile de la (2) nu este indeplinita, rezistenta la actiuni seismice trebuie sa fie asigurata printr-o armatura dispusa dupa ambele diagonale ale grinzii, in concordanta cu urmatoarea expresie (vezi Figura 12):
![]()
unde
VEd este forta taietoare de proiectare din elementul de cuplare (VEd = 2 MEd/l);
Asi este aria totala a barelor de otel pe fiecare directie diagonala;
a este unghiul dintre barele diagonale si axa grinzii.
b) Armarea diagonala trebuie aranjata in elemente de tip stalp cu lugimea laturilor cel putin egala cu 0,5bw; lungimea ancorajelor ei trebuie sa fie cu 50% mai mare decat cea ceruta de EN 1992-1-1:2004.
c) In jurul acestor elemente de tip stalp trebuie prevazuti etrieri pentru a preveni flambajul barelor longitudinale. Pentru etrieri se aplica prevederile de la 3.2.2(12).
d) Pe ambele fete ale grinzii trebuie prevazuta o armatura longitudinala si transversala care sa indeplineasca conditiile din EN1992-1-1:2004 pentru grinzi inalte. Armatura longitudinala nu trebuie sa fie ancorata in peretii cuplati si trebuie sa intre in ei numai pe o lungime de 150 mm.

Figura 12: Grinzi de cuplare cu armare diagonala
(1)P Se aplica EN 1992-1-1:2004, Sectiunea pentru armare si detaliere, impreuna cu regulile suplimentare ale subparagrafelor care urmeaza.
(2)P Pentru armatura transversala din grinzi, stalpi sau pereti se vor utiliza etrierii inchisi cu carlige la 135 , avand o lungime de 10dbw.
(3)P In structurile DCH lungimea de ancorare in nodurile grinda - stalp a barelor din grinzi si stalpi trebuie masurata de la un punct de pe bara la distanta de 5dbL de la fata nodului spre interiorul acestuia, pentru a tine cont de penetrarea plastificarii datorata deformatiilor ciclice postelastice (pentru un exemplu de grinda vezi Figura 13a).
(1)P Cand se calculeaza lungimea de ancoraj sau de inadire a barelor din stalpi care participa la rezistenta la incovoiere a elementului in regiunile critice, raportul dintre aria necesara si aria efectiva a armaturii, As,req/As,prov trebuie sa fie luat egal cu 1.
(2)P Daca, in situatia de proiectare seismica, forta axiala din stalp este de intindere, lungimea de ancoraj va fi majorata cu 50% fata de cea prevazuta in EN 1992-1-1:2004.
(1)P Partea armaturii longitudinale din grinda indoita in noduri pentru ancorare, trebuie sa fie plasata intotdeauna inauntrul etrierilor inchisi ai stalpului.
(2)P Pentru a preveni cedarea aderentei, diametrul barelor longitudinale din grinda ce trec prin nodurile grinda - stalp, dbL, trebuie limitat in concordanta cu urmatoarele expresii:
a) pentru nodurile interioare grinda - stalp:
(50a)

b) pentru noduri exterioare grinda - stalp:
(50b)

unde
hc este latimea stalpului paralel cu barele;
fctm este valoarea medie a rezistentei la intindere a betonului;
fyd este valoarea de proiectare a rezistentei la curgere a otelului;
nd este forta axiala normalizata, de proiectare, a stalpului, luata cu valoarea minima din situatia de incarcare seismica (nd = NEd/fcd Ac);
kD este factorul clasei de ductilitate egal cu 1 pentru DCH si 2/3 pentru DCM;
r' este indicele armaturii comprimate din grinda, care trece prin nod;
rmax este indicele maxim permis al armaturii intinse(vezi 4.3.1.2(4) si 3.1.3(4));
γRd este factorul de incertitudine a modelului privind valoarea de proiectare a rezistentelor, luat egal cu 1,2 sau 1,0 respectiv pentru DCH sau DCM (pentru suprarezistenta datorata consolidarii otelului longitudinal din grinda).
Limitarile de mai sus (expresiile (50)) nu se aplica barelor diagonale care traverseaza nodurile.
Daca cerinta specificata in P al acestui punct nu poate fi satisfacuta pentru nodurile grinda-stalp exterioare, din cauza ca inaltimea sectiunii, hc a stalpului paralel cu barele este prea mica, trebuie luate urmatoarele masuri aditionale, pentru a asigura ancorajul armaturii longitudinale din grinda.
a) Grinda sau placa pot fi extinse orizontal in exterior sub forma unei prelungiri (vezi Figura 13a).
b) Pot fi utilizate bare cu cap sau placi de ancoraj sudate la capatul barelor (vezi Figura 13b).
c) Pot fi adaugate indoituri cu o lungime minima de 10dbL si o armare transversala strans legata in interiorul indoiturii barei (vezi Figura 13c).
(4)P Barele de sus sau de jos care trec prin nodurile interioare, trebuie sa se opreasca in componentele care intra in nod la o distanta de cel putin lcr (lungimea regiunii critice a componentei, vezi P si P) de la fata nodului.

Legenda
A placa de ancoraj; B etrieri in jurul barelor din stalp
Figura 13: Masuri aditionale pentru ancorare in nodurile exterioare grinda-stalp
(1)P In zonele critice ale elementelor structurale barele nu trebuie inadite prin suprapunere si sudura.
(2)P Inadirea la stalpi sau pereti se poate face prin cuplaje mecanice daca acestea sunt probate prin teste corespunzatoare in conditii compatibile cu clasa de ductilitate aleasa.
(3)P Armatura transversala care va fi prevazuta pe lungimea suprapunerii, trebuie sa fie calculata in concordanta cu EN 1992-1-1:2004. Suplimentar mai trebuie satisfacute si urmatoarele cerinte:
a) Daca barele continue si ancorate sunt dispuse intr-un plan paralel cu armatura traansversala, atunci suma ariilor tuturor barelor inadite, aAsL, trebuie utilizata in calcul armaturii transversale.
b) Daca barele continue si ancorate sunt dispuse intr-un plan normal pe armatura transversala, atunci aria armaturii transversale trebuie calculata pe baza ariei armaturii longitudinale cu suprapunerea cea mai mare, AsL;
c) Distanta s dintre armaturile transversale in zona de suprapunere (in milimetri) nu trebuie sa depaseasca
![]()
unde h este dimensiunea minima a sectiunii transversale (in milimetri).
Aria necesara a armaturii transversale Ast in zona de suprapunere a armaturilor longitudinale realizata in acelas loc (asa cum este definit in EN 1992-1-1:2004), la stalpi sau elemente de granita ale peretilor, poate fi calculata cu expresia urmatoare:
![]()
unde
Ast este aria sectiunii unei ramuri a armaturii transversale;
dbL este diametrul barelor suprapuse;
s este distanta dintre armaturile transversale;
fyld este valoarea de proiectare a rezistentei de curgere a armaturii longitudinale;
fywd este valoarea de proiectare a rezistentei de curgere a armaturii transversale;
(1)P Paragraful 7 se aplica elementelor considerate secundare, care sunt supuse numai unor deformatii semnificative in situatia de proiectare seismica (de ex. nervurile placilor nu fac obiectul cerintelor paragrafului 7). Aceste elemente trebuie sa fie proiectate si detaliate astel incat sa-si mentina capacitatea de a suporta incarcarile gravitationale concomitente cu situatia de incarcare sesimica, atunci cand sufera deformatii maxime din incarcarea seismica.
(2)P Deformatiile maxime datorate incarcarii seismice trebuie calculate in concordanta cu 4.3.4 si se va tine cont de efectele P-D in concordanta cu 4.4.2.2(2) si (3). Ele trebuie sa rezulte din calculul structurii sub incarcarea din seism, neglijandu-se contributia elementelor secundare la rigiditatea laterala iar elementele principale modelate prin luarea in calcul a rigiditatii la incovoiere si forfecare corespunzatoare starii lor de fisurare.
Se considera ca elementele secundare satisfac cerintele de la (1)P al acestui subpunct daca momentele incovoietoare si fortele taietoare calculate pe baza deformatiilor de la (2)P al acestui subpunct si pe baza rigiditatii elementelor fisurate la incovoiere si forfecare, nu depasesc momentul capabil, MRd si respectiv forta taietoare capabila, VRd, determinate pe baza EN 1992-1-1:2004.
(1)P Paragrafele urmatoare se aplica la proiectarea elementelor de fundatie din beton, cum ar fi fundatii izolate, grinzi de legatura, grinzi de fundatie, placi de fundatie, pereti de fundatie, capiteluri de piloti si piloti, ca si conexiunile dintre aceste elemente sau dintre ele si elementele verticale din beton. Proiectarea acestor elemente trebuie sa respecte regulile din EN 1998-5:2005, 4.
(2)P Daca efectele actiunii de proiectare asupra elementelor structurilor disipative sunt deduse pe baza considerentelor de proiectare a capacitatii in concordanta cu 4.4.6(2)P, nu se asteapta nici un fel de disipare de energie in aceste elemente, in situatia de proiectare seismica. Proiectarea acestor elemente trebuie sa respecte regulile din 3.2(1)P.
(3)P Daca efectele actiunii de proiectare asupra elementelor de fundatie ale structurilor disipative sunt deduse pe baza calculului pentru situatia de proiectare seismica, fara considerentele de proiectare a capacitatii din 4.4.6(2)P, proiectarea acestor elemente trebuie sa respecte regulile pentru elementele suprastructurii corespunzatoare clasei de ductilitate alese. Pentru grinzile de legatura si grinzile de fundatie, fortele taietoare de proiectare trebuie deduse pe baza considerentelor de proiectare a capacitatii, in concordanta cu 4.2.2 la cladirile DCM sau in concordanta cu 2.1(2)P, 2.1(3) la cladirile DCH.
Daca efectele actiunii de proiectare asupra elementelor de fundatie au fost deduse folosind o valoare a factorului de comportare q mai mica sau egala cu limita superioara a lui q pentru structuri slab disipative (1,5 la constructii de beton sau intre 1,5 si 2 la constructii metalice sau compozite metal-beton, in concordanta cu Nota 1 din Tabelul 6.1 sau respectiv Nota 1 a Tabelului 7.1), proiectarea acestor elemente trebuie sa urmeze regulile de la 3.2(1)P (vezi si 4.4.2.6(3)).
In subsolurile de tip cutie ale structurilor disipative, cuprinzand: a) o placa de beton ce actioneaza ca o diafragma rigida la nivelul acoperisului subsolului; b) o placa de fundatie sau o retea de grinzi de legatura sau grinzi de fundatie la nivelul fundatiei si c) pereti de fundatie periferici sau interiori proiectati in concordanta cu (2)P al acestui subpunct, stalpii si grinzile (inclusiv cele ale acoperisului subsolului) se asteapta sa ramana in domeniul elastic sub incarcarea seismica de proiectare si pot fi proiectate in concordanta cu 3.2(1)P. Peretii structurali trebuie sa fie proiectati pentru dezvoltarea articulatiilor plastice la nivelul placii de acoperis a subsolului. In acest scop, la peretii care continua cu aceiasi sectiune transversala deasupra acoperisului subsolului, trebuie considerat ca regiunea critica se extinde sub nivelul acoperisului subsolului pe inaltimea hcr (vezi 4.3.4.2(1) si 3.4.5(1)). In plus, acesti pereti trebuie dimensionati la forfecare pe intrega inaltime libera din subsol considerand ca suprarezistenta la incovoiere γRd MRd (cu γRd = 1,1 pentru DCM si γRd = 1,2 pentru DCH) se dezvolta la nivelul acoperisului subsolului iar la nivelul fundatiei momentul este zero.
(1)P Stalpii scurti dintre varful unei fundatii izolate sau cap de pilot si scafa grinzilor de legatura sau a placilor de fundatie trebuie evitati. In acest scop scafa grinzilor de legatura sau a placilor de fundatie trebuie sa fie sub varful fundatiei sau al capului de pilot.
Fortele axiale in grinzile de legatura sau in zonele de legatura ale placilor de fundatie trebuie considerate, la verificare, ca actioneaza in concordanta cu 4.1.2(6) si (7) ale EN 1998-5, impreuna cu efectele determinate in concordanta cu 4.4.2.6(2)P sau 4.4.2.6(3) pentru situatia seismica de proiectare, luand in considerare si efectele de ordinul 2.
Grinzile de legatura si grinzile de fundatie trebuie sa aiba o sectiune transversala cu latimea de cel putin bw,min si inaltimea de cel putin, hw,min.
NOTA Valorile atribuite dimensiunilor bw,min si hw,min pentru a fi utilizate intr-o tara pot fi gasite in Anexa Nationala la acest document. Valorile recomandate sunt: bw,min = 0,25 m si hw,min = 0,4 pentru cladiri cu pana la 3 nivele si hw,min = 0,5 m pentru cele cu patru sau mai multe nivele deasupra fundatiei.
Placile de fundatie, alcatuite in concordanta cu EN 1998-5:2004, 4.1.2(2) pentru conexiuni orizontale cu fundatii izolate sau capete de piloti, trebuie sa aiba o grosime de cel putin tmin si un procent de armare de cel putin rs,min la varf si la baza.
NOTA Valorile care trebuie atribuite pentru tmin si rs,min intr-o tara pot fi gasit in Anexa Nationala la acest document. Valoarile recomandate sunt tmin = 0,2 si rs,min
Grinzile de legatura si grinzile de fundatie trebuie sa aiba pe toata lungimea lor un procent de armare de cel putin rb,min atat la varf, cat si la baza.
NOTA Valoarea ce se atribuie pentru rb,min pentru a fi utilizata intr-o tara poate fi gasita in Anexa Nationala la acest document. Valoarea recomandata este rb,min
(1)P Regiunea (nodul) comun a unei grinzi sau perete de fundatie cu un element vertical va urma regulile din 4.3.3 su 3.3 ca pentru regiunea unui nod grinda-stalp.
Daca o grinda sau un perete de fundatie ale unei structuri DCH sunt proiectate pentru efectele actiunii determinate pe baza consideratiilor privind proiectarea capacitatii, in concordanta cu 4.4.2.6(2)P, forta taietoare orizontala Vjhd in regiunea nodului se determina pe baza rezultatelor calculului in concordanta cu 4.4.2.6(2)P, (4), (5) si (6).
(3) Daca grinda sau peretele de fundatie ale unei structuri DCH nu sunt proiectate in concordanta cu abordarea corespunzatoare proiectarii capacitatii din 4.4.2.6(4), (5), (6) (vezi 8.1(3)P), forta taietoare Vjhd in regiunea nodului se determina in concordanta cu 2.3(2), expresiile (22), (23), pentru noduri grinda-stalp.
La structurile DCM conexiunea grinzilor sau peretilor de fundatie cu elementele verticale pot urma regulile din 4.3.3.
Indoiturile sau carligele de la baza barelor longitudinale vor fi orientate astfel incat sa induca compresiune in aria de conexiune.
(1)P Varful pilotului pana la o distanta egala cu de doua ori dimensiunea d a sectiunii transversale de sub capitelul pilotului ca si regiunile pana la o distanta de 2d de fiecare parte a interfetei dintre doua straturi de sol cu o rigiditate la forfecare net diferita (raportul rigiditatilor mai mare ca 6) vor fi detaliate ca regiuni de articulatie plastica potentiala.. In acest scop trebuie sa fie prevazute cu armatura transversala si de confinare urmand regulile pentru regiunile critice ale stalpilor din clasa corespunzatoare de ductilitate sau cel putin de tip DCM.
(2)P Cand cerintele specificate in 8.1(3)P sunt aplicate pentru proiectarea pilotilor structurilor disipative, pilotii trebuie proiectati si detaliati pentru o articulatie plastica la cap. In acest scop, lungimea pe care se cere o armatura transversala si de confinare majorata este necesara la varful pilotului, in concordanta cu (1)P al acestui subpunct este majorata cu 50%. Suplimentar, verificarea SLU a pilotului la forfecare trebuie sa utilizeze o forta taietoare de proiectare cel putin egala cu cea calculata pe baza 4.4.2.6(4) pana la (8).
Pilotii solicitati la intindere sau fixati la varf contra rasucirii trebuie prevazuti cu ancoraje in capitel pentru a se asigura capacitatea de rezistenta la reactiunea de intindere din sol sau capacitatea la intindere a armaturii pilotului, oriunde este mai mica. Daca partea acestor piloti inglobata in capitel este turnata inaintea capitelului, atunci trebuie prevazute dornuri la interfata unde are loc conexiunea.
Datorita vulnerabilitatii particulare a peretilor inglobati la parter, este de asteptat o neregularitate seismica indusa in aceste zone si de aceea trebuie luate masuri de protectie. Daca nu se utilizeaza o metoda mai precisa, pe toata lungimea stalpului de la parter trebuie considerata regiune critica si confinata in consecinta.
Daca inaltimea elementelor inglobate este mai mica decat inaltimea libera a stalpilor adiacenti, trebuie luate urmatoarele masuri:
a) pe toata lungimea sa, stalpul este considerat zona critica si trebuie sa fie armat cu cantitatea si modelul de etrieri ceruti de regiunile critice;
b) consecintele descresterii raportului deschiderii de forfecare a acestor stalpi trebuie sa fie tratate corespunzator. In acest scop, prevederile din 4.2.3 si 2.2 trebuie aplicate la calculul fortei taietoare active, in functie de clasa de ductilitate. In acest calcul, lungimea libera a stalpului, lcl trebuie sa fie luata egala cu lungimea pe care stalpul nu este in contact cu panourile inglobate iar momentul Mi,d in sectiunea stalpului de la marginea superioara a panoului inglobat trebuie sa fie luat egal cu γRd MRc,i unde γRd = 1,1 pentru DCM si 1,3 pentru DCH iar MRc,i este valoarea de proiectare a momentului capabil al stalpului;
c) armatura transversala care trebuie sa preia forta taietoare trebuie sa fie plasata pe lungimea stalpului dar nu in contact cu panoul inglobat si sa fie extinsa pe lungimea hc (dimensiunea sectiunii transversale a stalpului in planul inglobarii) in partea de contact a stalpului cu inglobarea;
d) daca lungimea stalpului care nu este in contact cu inglobarea este mai mica de 1,5hc, forta taietoare trebuie preluata prin armatura diagonala.
Acolo unde panoul inglobat se intinde pe toata lungimea libera a stalpului iar zidaria se afla numai pe o parte a stalpului (de ex la stalpii de colt), se considera regiune critica pe toata lungimea iar stalpul trebuie armat cu cantitatea si modelul de etrieri cerut in regiunile critice.
Pe lungimea lc, a stalpilor pe care actioneaza forta din diagonala comprimata a elementului inglobat, acestia trebuie verificati la forfecare pentru cea mai mica dintre urmatoarele doua forte taietoare: a) componenta orizontala a fortei din diagonala comprimata a elementului inglobat, luata egala cu forta taietoare orizontala capabila a panoului estimata pe baza fortei taietoare capabile a patului de conexiune; sau b) forta taietoare calculata in concordanta cu 4.2.3 sau 2.2, in functie de clasa de ductilitate, considerand ca surplusul de capacitate la incovoiere al stalpului, γRd MRc,i se dezvolta la ambele capete ale lungimii de contact, lc. Lungimea de contact trebuie luata egala cu latimea totala verticala a diagonalei comprimate a elementului inglobat. Daca nu este efectuata o evaluare mai precisa a acestei latimi, luand in considerare proprietatile elastice si geometria panoului inglobat si a stalpului, latimea diagonalei comprimate poate fi luata ca o fractiune constanta din lungimea diagonalei panoului.
O placa de beton armat rigida poate fi considerata ca este o diafragma, daca grosimea ei nu este mai mica de 70 mm si este armata pe ambele directii orizontale cu cel putin armatura minima specificata in EN 1992-1-1:2004.
O placa turnata peste un element prefabricat de planseu sau de acoperis poate fi considerata diafragma daca: a) indeplineste cerintele de la (1) ale acestui subparagraf; b) este proiectata sa asigure ea insasi rezistenta si rigiditatea cerute unei diafragme; si c) este turnata peste un substrat curat si rugos sau conectat cu acesta prin conectori de forfecare.
(3)P Proiectarea seismica trebue sa includa verificarea la starea limita ultima a diafragmelor de beton armat din structurile DCH cu urmatoarele proprietati:
geometrii neregulate, forme divizate in plan sau diafragme cu retrageri ori proeminente;
goluri neregulate sau mari in diafragme;
distributia neregulata a maselor si/sau a rigiditatilor (de ex in cazul retragerii sau al iesirii in afara fatadei cladirii);
subsoluri cu pereti asezati numai partial pe perimetru sau numai in zona parterului.
Efectele actiunilor in diafragmele de beton armat pot fi estimate prin modelarea diafragmei ca o grinda inalta sau ca o grinda cu zabrele plana ori prin modelul diagonalei comprimate, pe reazeme elastice.
Valorile de proiectare ale efectelor actiunilor trebuie determinate luind in considerare 4.4.2.
Rezistentele de proiectare trebuie sa fie determinate in concordanta cu EN 1992-1-1:2004.
In cazul sistemelor cu pereti sau cu nucleu central de tip DCH, trebuie sa se verifice daca are loc transferul fortelor orizontale de la diafragme la nucleu sau pereti. In acest sens se aplica urmatoarele prevederi:
a) forta taietoare de proiectare la interfata diafragmei cu peretii sau cu nucleul central trebuie limitata la 1,5fctd pentru a tine fisurarea sub control;
b) trebuie asigurata o rezistenta adecvata pentru a impiedica cedarea prin lunecare la forfecare, presupunand ca inclinarea diagonalei comprimate este de 45 . Trebuie prevazute bare aditionale care sa contribuie la rezistenta la forfecare la interfata dintre diafragma si nucleele centrale sau pereti; ancorajele acestor bare trebuie sa urmeze prevederile din 6.
(1)P Paragraful 11 se aplica la proiectarea seismica a structurilor realizate partial sau total din elemente prefabricate.
(2)P Toate prevederile Sectiunii 5 ale acestui Eurocod si ale EN 1992-1-1:2004, Sectiunea 10 se aplica, daca nu se specifica altceva (vezi 11.1.3.2(4)).
Urmatoarele tipuri structurale, asa cum sunt definite in 1.2 si 2.2.1 sunt luate in considerare in 11:
sisteme tip cadre;
sisteme tip pereti;
sisteme duale (sisteme tip cadru mixte prefabricate sau sisteme tip perete prefabricate sau monolite).
Suplimentar sunt luate in considerare si urmatoarele sisteme:
sistemele din panouri mari (structuri cu pereti incrucisati);
structuri celulare (sistemul cu incaperi de tip celula prefabricata monolit).
La modelarea structurilor prefabricate sunt necesare urmatoarele evaluari:
a) Identificarea rolului elementului structural dintre cele ce urmeaza:
acela de a rezista numai la incarcari gravitationale, de ex. stalpi articulati inconjurand un nucleu din beton armat;
acela de a rezista atat la incarcari gravitationale, cat si la incarcari din seism, de ex. cadre sau pereti;
acela de a asigura conexiuni adecvate intre elemente structurale de ex. diafragme de planseu sau acoperis.
b) Capacitatea de a indeplini prevederile referitoare la rezistenta la seism din 1 pana la 10, dupa cum urmeaza:
sisteme prefabricate capabile sa satisfaca toate prevederile din aceste paragrafe;
sisteme prefabricate combinate cu stalpi sau pereti monolit pentru a satisface toate prevederile;
sisteme prefabricate care se abat de la aceste prevederi si, pe cale de consecinta, au nevoie de criterii suplimentare de proiectare, trebuind sa li se asigure factori de comportare mai redusi.
c) Identificarea elementelor nestructurale care pot fi:
total decuplate de la structura; sau
partial capabile sa preia deformatiile elementelor structurale
d) Identificarea efectului conexiunilor asupra capacitatii structurii de disipare a energiei:
conexiuni bine plasate, in afara regiunilor critice (asa cum este definit in 1.2(1)), care nu afecteaza capacitatea de disipare a energiei structurii (vezi 11.2.1.1 si de ex. Figura 14.a);
conexiuni plasate in regiunile critice, dar supradimensionate adecvat referitor la restul structurii, astfel incat in situatia de proiectare seismica raman in domeniul elastic, in timp ce in alte regiuni apare un raspuns inelastic (vezi 11.2.1.2 si de ex. Figura 14.b);
conexiuni plasate in regiunile critice avand o ductilitate substantiala (vezi 11.2.1.3 si de ex. Figura 14.c).

Figura 14: a) conexiuni plasate in afara regiunilor critice; b) conexiuni supradimensionate, cu articulatii plastice mutate in afara conexiunii; c) conexiuni de forfecare ductila ale panourilor mari, plasate in regiunile critice (de ex. la parter); si d) conexiuni de continuitate, ductile, plasate in regiunile critice ale cadrelor
La elementele prefabricate si conexiunile lor, trebuie luata in considerare posibilitatea degradarii raspunsului datorat deformatiilor ciclice post-plastificare. In mod normal degradarea unui asemenea raspuns este compensata prin factorii partiali ai materialului pentru otel si beton (vezi 2.4(1)P si 2.4(2)). Daca aceasta compensare nu este posibila rezistenta de proiectare a conexiunilor prefabricate sub incarcarile monotone trebuie sa fie corespun-zator redusa pentru verificarile corespunzatoare ipotezei de incarcare seismica.
In structurile din beton prefabricat mecanismul prevalent de disipare a energiei consta in rotirile plastice din regiunile critice.
Pe langa disiparea de energie prin rotiri plastice in regiunile critice, structurile prefabricate pot disipa energie si prin mecanismele de forfecare plastica dealungul imbinarilor, cu conditia ca urmatoarele doua conditii sa fie satisfacute:
a) forta capabila nu trebuie sa se diminueze substantial in timpul actiunii seismice; si
b) instabilitatile posibile trebuie sa fie corespunzator evitate.
Cele trei clase de ductilitate prevazute in Sectiunea 5 pentru structurile monolite sunt valabile si pentru structurile prefabricate. Din Sectiunea 5, pentru structurile prefabricare din clasa de ductilitate L sunt valabile numai 2.1(2) si 3.
NOTA Selectia clasei de ductilitate pentru diverse tipuri de sisteme din beton prefabricat in diverse tari sau parti ale tarii poate fi gasita in Anexa Nationala a acestui document. Clasa de ductilitate L este recomandata numai pentru cazul de seismicitate redusa. Pentru sisteme din panouri mari se recomanda clasa de ductilitate M.
(4) Capacitatea de disipare de energie la forfecare poate fi luata in considerare, mai ales la sistemele tip pereti prefabricati, tinand cont de valorile factorilor locali de ductilitate la lunecare ms in alegerea factorului global de comportare q.
In 11 sunt luate in considerare numai structurile prefabricate regulate (vezi 4.2.3). Totusi, verificarea elementelor prefabricate ale structurilor neregulate se poate baza pe prevederile acestui subparagraf.
Toate elementele structurale verticale trebuie continuate pana la nivelul fundatiei fara intreruperi.
Incertitudinile referitoare la rezistente se trateaza la fel ca in 2.3.7(2)P.
Incertitudinile referitoare la ductilitate se trateaza la fel ca in 2.3.7(3)P.
Pentru structurile prefabricate care se conformeaza prevederilor din 11, valoarea factorului de comportare qp poate fi calculata cu urmatoarea expresie, afara de cazul in care studii speciale permit abaterea de la aceasta:
![]()
unde
q este factorul de comportare in concordanta cu expresia (1);
kp este factorul de reducere dependent de capacitatea de disipare de energie a structurii prefabricate (vezi (2) al acestui subpunct).
NOTA Valorile atribuite factorului kp pentru utilizarea intr-o tara pot fi gasite in Anexa Nationala la acest document. Valorile recomandate sunt:
1,00 pentru structurile cu conexiuni in concordanta cu 11.2.1.1, 11.2.1.2 sau 11.2.1.3
kp
0,5 pentru structurile cu alte tipuri de conexiuni
Pentru structurile prefabricate care nu se conformeaza prevederilor de proiectare din 11, factorul de comportare qp trebuie luat cu o valoare de maximum 1,
In timpul montajului structurii, pe perioada cand se prevad sprijiniri, actiunile seismice nu trebuie sa fie considerate ca o ipoteza de proiectare. Totusi, ori de cate ori aparitia unui cutremur ar putea sa produca colapsul unei parti a structurii cu un risc serios pentru vietile omenesti, trebuie prevazute sprijiniri temporare, special proiectate pentru reducerea corespunzatoare a efectelor actiunii seismice.
Daca nu se specifica altceva prin studii speciale, aceasta actiune poate fi luata egala cu o parte Ap din actiunea de proiectare asa cum este definita in Sectiunea 3.
NOTA Valoarea atribuita lui Ap pentru a fi utilizata intr-o tara poate fi gasita in Anexa Nationala a acestui document. Valoarea recomandata pentru Ap este 30%.
Pentru a fi considerate in afara regiunilor critice, imbinarile elementelor prefabricate trebuie sa fie plasate la o distanta fata de capatul regiunii critice cel putin egala cu cea mai mare dintre dimensiunile sectiunii transversale a elementului din zona unde se afla regiunea critica.
Imbinarile de acest tip trebuie sa fie dimensionate pentru: a) forta taietoare determinata cu regula de proiectare a capacitatii din 4.2.2 si 4.2.3, luand un factor care sa tina cont de suprarezistenta datorata consolidarii otelului, γRd, egal cu 1,1 pentru DCM si 1,2 pentru DCH; si b) un moment incovoietor cel putin egal cu momentul rezultat din calcul sau cu 50% din momentul capabil MRd, in sectiunea din capatul celei mai apropiate regiuni critice, multiplicat cu factorul γRd.
Efectele actiunii de proiectare asupra imbinarilor supradimensionate trebuie sa fie determinate pe baza regulilor de proiectare a capacitatii din 4.2.2 si 4.2.3, considerand capacitatea de suprarezistenta la incovoiere in capetele sectiunilor critice egala cu γRd MRd ,luand factorul γRd egal cu 1,2 pentru DCM si 1,35 pentru DCH.
Barele de armatura care se termina in imbinarea supradimensionata trebuie sa fie integral ancorate inainte de sectiunile din capetele regiunii critice.
Armatura regiunii critice trebuie sa fie total ancorata in afara imbinarii supradimen-sionate.
Aceste imbinari trebuie sa se conformeze criteriilor de ductilitate locala din 2.3.4 si din paragrafele relevante ale 4.3 si 3.
Alternativ trebuie sa se demonstreze prin teste ciclice inelastice pe un numar corespunzator de specimene reprezentative ca imbinarea considerata are o deformatie ciclica stabila si o capacitate de disiparea a energiei cel putin egala cu a imbinarii monolite care are aceiasi rezistenta si ca se conformeaza prevederilor de ductilitate locala din 4.3 sau 3.
Testele pe specimene reprezentative trebuie sa fie realizate urmand o istorie ciclica a deplasarilor, incluzand cel putin trei cicluri complete la o amplitudine corespunzatoare lui qp in concordanta cu 2.3.4(3).
Rezistenta de proiectare a imbinarilor dintre elementele prefabricate din beton trebuie calculata in concordanta cu prevederile din EN 1992-1-1:2004, 6.2.5 si din EN 1992-1-1:2004, Sectiunea 10, folosind factorii partiali ai materialului din 2.4(2) si (3). Daca aceste prevederi nu sunt adecvate conexiunii considerate, rezistenta sa trebuie evaluata prin studii experimentale corespunzatoare.
La evaluarea rezistentei unei conexiuni contra lunecarii de forfecare, rezistenta prin frecare, datorata efortului exterior de compresiune, trebuie neglijata (in opozitie cu efortul intern datorat efectului de fixare a barelor care traverseaza o conexiune).
Sudarea barelor de otel in conexiunile disipatoare de energie poate fi luata in considerare din punct de vedere structural cand sunt indeplinite toate conditiile care urmeaza:
a) se utilizeaza numai oteluri sudabile;
b) materialele pentru sudura, tehnicile si personalul asigura o pierdere a ductilitatii locale mai mica de 10% din factorul de ductilitate care s-ar fi realizat daca conexiunea ar fi fost facuta fara sudura.
Pentru elementele din otel (sectiuni sau bare), fixate pe componentele de beton cu intentia de a contribui la rezistenta la seism, trebuie sa se demonstreze analitic si experimental ca rezista la incarcarile ciclice cu deformatii impuse la nivelul de ductilitate urmarit, asa cum se specifica in 11.2.1.3(2).
(1)P Se aplica prevederile relevante din EN 1992-1-1:2004, Sectiunea 10 si din 4.2.1, 4.3.1, 2.1, 3.1 ale acestui Eurocod, suplimentar fata de regulile stabilite anterior in 11.
(2)P Grinzile prefabricate simplu rezemate trebuie structural conectate la stalpi sau pereti. Imbinarea trebuie sa asigure transmiterea fortelor orizontale in situatia de proiectare seismica fara sa se bazeze pe frecare.
Suplimentar fata de prevederile relevante din EN 1992-1-1:2004, Sectiunea 10, tolerantele si deformatiile admise ale reazemelor trebuie sa fie suficiente pentru deplasarile preconizate ale componentelor portante(vezi 4.3.4).
Se aplica prevederile relevante din 4.3.2 si 3.2, suplimentar fata de regulile stabilite anterior in 11.
Imbinarile stalp - stalp din regiunile critice sunt permise numai in DCM.
Pentru sistemele tip cadre prefabricate cu conexiuni grinda - stalp articulate, stalpii trebuie perfect incastrati la baza in fundatii de tip pahar, proiectate in concordanta cu 11.2.1.2.
Nodurile monolite grinda - stalp (vezi Figura 14a) trebuie sa urmeze prevederile relevante din 4.3.3 si 3.3.
Rezistenta si ductilitatea imbinarilor capetelor de grinda cu stalpii (vezi Figura 14b si c) trebuie sa fie verificate in mod special, asa cum se specifica in 11.2.2.1.
Se aplica EN 1992-1-1:2004, Sectiunea 10 cu urmatoarele modificari:
a) Indicele de armare total minim al armaturii verticale se refera la sectiunea transversala efectiva de beton si trebuie sa includa barele verticale ale inimii si ale elementelor de granita;
b) Armarea cu un singur rand de plase nu este permisa;
c) Trebuie prevazuta o confinare minima a betonului de la marginea tuturor panourilor prefabricate, asa cum se specifica in 4.3.4.2 sau 3.4.5 pentru stalpi, pe o sectiune patrata cu dimensiunea bw, unde bw este grosimea panoului.
Partea panoului dintre nodul vertical si un gol asezat la mai putin de 2,5bw fata de nod trebuie dimensionata si detaliata in concordanta cu 4.3.4.2 sau 3.4.5, in functie de clasa de ductilitate.
Trebuie evitata diminuarea fortelor capabile ale raspunsului conexiunilor.
In acest scop, toate conexiunile verticale trebuie sa fie simple, protejate contra forfecarii si verificate la forfecare.
Conexiunile orizontale comprimate pe toata lungimea lor pot fi alcatuite fara protectie la forfecare. Daca sunt partial comprimate - partial intinse trebuie protejate pe toata lungimea contra forfecarii.
La verificarea imbinarilor orizontale ale peretilor din panouri mari prefabricate se aplica urmatoarele reguli suplimentare:
a) fortele totale de intindere produse de efectele axiale ale actiunii (din perete) trebuie preluate de armatura verticala dispusa dealungul ariei panoului supusa la intindere si complet ancorate in corpul panourilor de deasupra si de sub conexiune. Continuitatea acestei armaturi trebuie sa fie asigurata printr-o sudura ductila in conexiunea orizontala sau preferabil intr-o piesa speciala prevazuta in acest scop (Figura 15).
b) La conexiunile orizontale care sunt partial intinse - partial comprimate (sub incarcarea din seism) verificarea rezistentei la forfecare (vezi 11.2.2) trebuie efectuata in lungul partii comprimate. Intr-un asemenea caz, valoarea fortei axiale NEd trebuie inlocuita cu valoarea fortei toatale de compresiune, Fc ce actioneaza pe aria comprimata.
Legenda
A suprapunerea prin sudura a barelor
Figura 15: Armatura intinsa posibil necesara la muchiile peretilor
Urmatoarele reguli suplimentare trebuie respectate pentru a mari ductilitatea locala in lungul imbinarilor verticale ale panourilor mari:
a) in imbinarile total comprimate, trebuie sa se prevada un procent minim de armare de 0.10%, iar in cele partial intinse - partial comprimate un procent minim de armare de 0,25%;
b) cantitatea de armatura din imbinari trebuie limitata, pentru a evita o diminuare abrupta a raspunsului post-varf de forta. In absenta unor date specifice, procentul de armare nu trebuie sa depaseasca 2%;
c) armatura de acest tip trebuie sa fie distribuita pe intreaga lungime a imbinarii. In DCM aceasta armare poate sa fie concentrata in trei zone (varf, mijloc, baza);
d) sunt necesare prevederi pentru asigurarea continuitatii armaturii pe intreaga lungime a imbinarii dintre panouri. In acest scop, in imbinarile verticale, barele din otel trebuie sa fie ancorate fie sub forma de bucla sau (in cazul nodurilor cu cel putin o fata libera) prin sudura dealungul conexiunii (vezi Figura 16);
e) pentru a proteja continuitatea in lungul imbinarii dupa fisurare, in betonul care umple spatiul imbinarii trebuie prevazuta o armatura logitudinala cu procentul minim de armare rc,min (vezi Figura 16).
NOTA Valoarea atribuita pentru rc,min pentru a fi utilizata intr-o tara poate fi gasita in Anexa Nationala a acestui document. Valoarea recomandata este rc,min

Key
A armare care traverseaza conexiunea;
B armare in lungul conexiunii;
C profil care contribuie la preluarea fortei taietoare
D monolitizare care umple spatiul dintre panouri
Figura 16: Sectiune transversala a conexiunii verticale dintre panouri mari prefabricate, a) nod cu doua fete libere; b)nod cu o fata libera
Ca rezultat al capacitatii de disipare de energie in lungul imbinarilor verticale (si in parte si in lungul celor orizontale) ale panourilor mari, peretii formati din asemenea panouri prefabricate sunt exceptati de la cerintele din 4.3.4.2 si 3.4.5 privind confinarea elementelor de granita.
In cazul diafragmelor de planseu realizate din elemente prefabricate, pe langa prevederile din EN 1992-1-1:2004, Sectiunea 10 relevante pentru placi si de prevederile din 10 se mai aplica si prevederile care urmeaza.
Cand conditia de difragma rigida, conforma cu 4.3.1(4) nu este satisfacuta, trebuie luate in considerare in model atat flexibilitatea planseului in planul sau, cat si a imbinarilor verticale.
Comportarea de diafragma rigida este amplificata daca nodurile diafragmei sunt amplasate numai deasupra reazemelor. O suprabetonare adecvata din beton armat monolit realizata in-situ poate mari substantial, de asemenea, rigiditatea diafragmei. Grosimea stratului de suprabetonare nu trebuie sa fie mai mica de 40 mm daca deschiderea dintre reazeme este mai mica de 8 m, si nu mai mica de 50 mm pentru deschideri mai mari; plasele de armare trebuie sa fie cuplate la elementele verticale de rezistenta de peste planseu si de sub planseu.
Fortele de intindere trebuie sa fie preluate de agrafe dispuse cel putin pe perimetrul diafragmei, ca si in lungul imbinarilor dintre elementele prefabricate de placa. Daca se utilizeaza o suprabetonare turnata monolit in-situ, aceasta armatura aditionala trebuie plasata in suprabetonare
In toate cazurile aceste agrafe trebuie sa formeze un sistem continuu de armare pe ambele directii ale diafragmei si trebuie legate corespunzator la fiecare element lateral de rezistenta
Fortele taietoare care actioneaza in planul planseului in imbinarile dintre placi sau dintre placi si grinzi trebuie sa fie calculate cu un factor de supraincarcare egal cu 1,30. Forta capabila trebuie calculata ca in 11.2.2.
Elementele seismice principale, atat de deasupra cat si de sub diafagma trebuie sa fie conectate adecvat la diafragma. In acest scop, toate nodurile orizontale trebuie sa fie corect armate. Fortele de frecare datorate compresiunii externe nu trebuie luate in considerare.
|
Politica de confidentialitate |
| Copyright ©
2025 - Toate drepturile rezervate. Toate documentele au caracter informativ cu scop educational. |
Personaje din literatura |
| Baltagul – caracterizarea personajelor |
| Caracterizare Alexandru Lapusneanul |
| Caracterizarea lui Gavilescu |
| Caracterizarea personajelor negative din basmul |
Tehnica si mecanica |
| Cuplaje - definitii. notatii. exemple. repere istorice. |
| Actionare macara |
| Reprezentarea si cotarea filetelor |
Geografie |
| Turismul pe terra |
| Vulcanii Și mediul |
| Padurile pe terra si industrializarea lemnului |
| Termeni si conditii |
| Contact |
| Creeaza si tu |