Coeficientul de temperatura al rezistentei
Tabelul rezistivitatilor diferitelor materiale, prezentat in sectiunea precedenta, s-a referit doar la temperatura de 20o. Prin urmare, dupa cum ati putut banui, rezistivitatea electrica a materialelor depinde de temperatura.
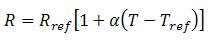
Valorile rezistentelor conductorilor aflati la temperaturi diferite fata de temperatura standard (20o tipic), din tabelul rezistivitatilor, se calculeaza printr-o alta formula decat formula anterioara, si anume:
![]()
unde,
R = rezistenta conductorului la temperatura "T"
Rref = Rezistenta conductorului la temperatura de
referinta, Tref, egala cu 20oC in mod
uzual, dar poate fi si 0oC
α = coeficientul de temperatura al rezistentei specific pentru
materialul conductor
T = temperatura conductorului (oC)
Tref = temperatura de referinta pentru care α este
specificat
Se poate observa din relatia de mai sus, ca in cazul in care temperatura la care se afla conductorul este exact temperatura de referinta (20oC), atunci rezistenta conductorului este exact rezistenta de referinta asa cum este ea calculata din tabelul rezistivitatilor materialelor cu formula: R = ρl/A.
|
Material |
Element / Aliaj |
α |
|
Nichel |
Element |
0.005866 |
|
Fier |
Element |
0.005671 |
|
Molibden |
Element |
0.004579 |
|
Tungsten |
Element |
0.004403 |
|
Aluminiu |
Element |
0.004308 |
|
Cupru |
Element |
0.004041 |
|
Argint |
Element |
0.003819 |
|
Platina |
Element |
0.003729 |
|
Zinc |
Element |
0.003847 |
|
Aur |
Element |
0.003715 |
|
Otel |
Aliaj |
0.003000 |
|
Nicrom |
Aliaj |
0.000170 |
|
Nicrom V |
Aliaj |
0.000130 |
|
Manganina |
Aliaj |
± 0.000015 |
|
Constantan |
Aliaj |
- 0.000074 |
In tabelul alaturat sunt prezentate cateva valori ale coeficientului α pentru cateva metale uzuale, pure sau aliaje, pentru temperatura de referinta (Tref) de 20oC)

Sa luam un circuit practic pentru a vedea efectele temperaturii asupra rezistentei si implicit asupra performantei circuitului.
|
Marime |
Fir1 |
Fir2 |
Sarcina |
Total |
Unitate |
|
E |
0,75 |
0,75 |
12,5 |
14 |
V |
|
I |
50 m |
50 m |
50 m |
50 m |
A |
|
R |
15 |
15 |
250 |
280 |
Ω |
Rezistenta totala a conductorilor din acest circuit este de 30 Ω (Rfir1 + Rfir2) la temperatura standard de 20oC. Folosind metoda tabelului pentru analiza circuitului, obtinem valorile alaturate.
La 20oC, obtinem o cadere de tensiune de 12,5 V la bornele sarcinii si o cadere de tensiune totala de 1,5 V (0,75 V+ 0,75 V) in lungul conductoarelor datorita rezistentei acestora.
Daca temperatura ar creste la 35oC, putem vedea ce se intampla cu rezistentele fiecarui conductor. Presupunand ca materialul conductor este cupru (α = 0,004041), obtinem urmatorul rezultat:
![]()
|
Marime |
Fir1 |
Fir2 |
Sarcina |
Total |
Unitate |
|
E |
0,79 |
0,79 |
12,42 |
14 |
V |
|
I |
49,67 m |
49,67 m |
49,67 m |
49,67 m |
A |
|
R |
15,9 |
15,9 |
250 |
281,82 |
Ω |
Reanalizand circuitul de mai sus cu noile valori, putem vedea efectele cresterii temperaturii asupra circuitului.
Dupa cum se poate observa, tensiunea la bornele sarcinii a scazut de la 12,5 V la 12,42 V, iar caderea de tensiune in lungul conductorilor a crescut de la 0,75 V la 0,79 V ca si consecinta a cresterii temperaturii.
Chiar daca variatiile par mici, acestea se pot dovedi semnificative in cazul liniilor electrice de transport ce se pot intinde pe kilometri intregi intre centralele electrice si statiile de transformare respectiv intre statiile de transformare si consumatori.
|
Politica de confidentialitate |
| Copyright ©
2025 - Toate drepturile rezervate. Toate documentele au caracter informativ cu scop educational. |
Personaje din literatura |
| Baltagul – caracterizarea personajelor |
| Caracterizare Alexandru Lapusneanul |
| Caracterizarea lui Gavilescu |
| Caracterizarea personajelor negative din basmul |
Tehnica si mecanica |
| Cuplaje - definitii. notatii. exemple. repere istorice. |
| Actionare macara |
| Reprezentarea si cotarea filetelor |
Geografie |
| Turismul pe terra |
| Vulcanii Și mediul |
| Padurile pe terra si industrializarea lemnului |
| Termeni si conditii |
| Contact |
| Creeaza si tu |