Intrerupatoare statice de curent alternativ
Cu dezvoltarea dispozitivelor semiconductoare, intrerupatoarele mecanice sunt
din ce in ce mai mult inlocuite cu cele realizate cu elemente statice,care prezinta
o serie de avantaje fata de intrerupatoarele clasice,iar costul lor este in continua
scadere.
1 Conectarea circuitelor de curent alternativ monofazat
La conectarea si deconectarea unei sarcini monofazate este suficienta
utilizarea unui singur intreruptor pe una din ramurile de alimentare.
La conectare apare de obicei si o componenta tranzitorie a curentului care in
functie de amortizare dispare dupa cateva perioade.Daca se noteaza cu t0
momentul de conectare la o tensiune sinusoidala de alimentare:
u(t)=Umsint
curentul prin sarcina R-L va fi:
i
defazajul dintre tensiune si curent,va avea o componenta
sinusoidala de regim stabilizat si una tranzitorie amortizata cu constanta=L/R.
1.1 Conectarea unei inductivitati
In fig. 4.2 se prezinta conectarea unei inductivitati L cu ajutorul unui
intreruptor static pentru doua cazuri limita:
. fara componenta tranzitorie (fig 4.3);
. cu componenta tranzitorie maxima (fig 4.4).
S-a notat cu CL capacitatea infasurarii bobinei.Datorita acestei capacitati la
conectarea inductivitatii L in momentul trecerii prin zero a curentului de sarcina
I va aparea o oscilatie de frecventa medie suprapusa pe tensiunea la bornele
inductivitatii UL .
Frecventa acestei oscilatii este aproximativ 1/.Amplitudinea atinge
valoarea de varf la maximul tensiunii alternative .La deconectare pe tensiunea
tiristorului se va suprapune o oscilatie de frecventa medie aproximativ de
valoarea ![]()

Fig. 4.2. Conectarea unei inductivitati cu intrerupatorul static

Fig. 4.3. Forme de unda la conectarea inductivitatii fara componenta tranzitorie

Fig. 4.4. Forme de unda
la conectarea inductivitatii cu componenta tranzitorie
Daca conectarea intreruptorului se face la momentul trecerii se face la
momentul trecerii in mod natural prin zero a tensiunii alternative u de
alimentare, adica atunci cand curentul atinge valoarea maxima , componenta
tranzitorie va avea valoarea maxima conform relatiei:
1.2 Conectarea
unei capacitati
In figura 4.5 este prezentata conectarea capacitatii C cu ajutorul unui
intreruptor static dintr-un tiristor si o dioda D, legate in antiparalel .
Componenta tranzitorie se elimina numai atunci cand conectarea se face in
momentul trecerii in mod natural prin zero a curentului iar condensatorul a fost
incarcat inainte de valoarea maxima a tensiunii de aceeasi polaritate cu
alternanta la care se face conectarea.
In figura 4.6 se arata variatia in timp a tensiunii pe capacitate, uC, pe
intreruptorul static uT deasemenea a curentului de sarcina i, pe tiristor iT si pe o
dioda iD in cazul cand nu exista componenta tranzitorie.
Inainte de conectare trebuie asigurata incarcarea condensatoarelor pe o
rezistenta la valoarea maima a tensiunii de alimentare.Din cauza incarcarii
condensatorului la blocare pe intreruptor cade o tensiune egala cu dublul valorii
maxime a tensiunii sinusoidale.
Pentru limitarea componentei tranzitorie a curentului la variatia tansiunii
retelei si in caz de deranjament este necesara o inductivitate de protectie LS daca
inductivitatea retelei Lk nu este suficient de mare.
1.3 Intrerupatoare de curent alternativ monofazat
Doua tiristoare legate antiparalel conform figurii 4.7 pot conduce curentul in
ambele sensuri.O semiperioada a curentului alternativ,trece prin tiristorul T1 iar
semiperioada urmatoare prin T2 .Daca curentul alternativ trebuie sa fie conectat
permanent,atunci ambele tiristoare trebuie mentinute in stare amorsata sau sa
asigura la inceputul fiecarei semiperioade un impuls de comanda alternativ pe
cele doua tiristoare.
In figura 4.7 impulsurile de comanda sunt obtinute de la cate un transformator
de impulsuri pentru fiecare tiristor.

Fig. 4.7. Intreruptor de curent alternativ monofazat
Cele doua tiristoare astfel legate formeaza un intrerupator de curent alternativ
monofazat.Daca prin intrerupator trece curentul sinusoidal:
i(t)=Isin..(t)
Valoarea medie a curentului printr-un tiristor poate fi calculata din integrala
pe o
semiperioada a curentului. 

Daca se intrerupe curentul de comanda atunci curentul intrerupatorului nu se
stinge imediat. Tiristorul care este amorsat se va bloca doar atunci cand curentul
prin el va scadea natural la zero,la sfarsitul semiperioadei corespunzatoare
momentului deconectarii intrerupatorului.
In acest moment curentul ar trebui sa fie preluat de tiristorul celalalt,insa
acesta nu mai primeste impuls de comanda si nu este amorsat.
In figura 4.8 este prezentat un intrerupator monofazat de curent alternativ
realizat cu un triac. Deoarece polaritatea impulsului de comanda nu are
importanta , circuitele de comanda ale triacului sunt foarte simple,astfel
amorsarea poate fi realizata direct de la tensiunea anodica printr-o rezistenta R
si un intrerupator auxiliar K. Cand K este deschis nu exista circuit de comanda
si interceptorul static intrerupe curentul alternativ.Daca K este inchis triacul va fi amorsat de la tensiunea anodica la inceputul fiecarei semiperioade de curent in mod automat.Intreruptorul K poate fi mecanic sau cu elemente statice.


Fig. 4.8. Intreruptor static de curent alternativ monofazat cu triac
Este evident ca impulsul de comanda poate fi aplicat si printr-un transformator
de impulsuri.
Tiristoarele au intreruptoare de curent alternativ si pot functiona pana la
cativa kHz.Limita superioara a frecventei este determinata de timpul de revenire
al tiristorului adica este necesar ca tiristorul sa-si recapete proprietatea de
blocare pana la urmatoarea semiperioada pozitiva a tensiunii retelei.
In cazul unei sarcini rezistive aceasta conditie poate fi scrisa sub forma T/2>t ,
unde T este perioada corespunzatoare frecventei de functionare (T=1/f).
Cand sarcina este pur inductiva datorita defazajului ../2 dintre curent si
tensiune conditia devine T/4>trev .
In cazul tiristoarelor cu timp de revenire scurt (trev>20..s), pentru sarcini
rezistive , limita superioara a frecventei poate fi de 25kHz.
Daca curentul printr-un tiristor poate fi calculata cu relatia:

La conectarea tiristorului panta de crestere a curentului este determinata de
inductivitatea circuitului de sarcina.
Datorita inductivitatilor de scapari existente de obicei panta curentului nu
depaseste valoarea sa critica.
Solicitarile la tensiuni inverse sau directe sunt determinate de valoarea
maxima a tensiunii alternative pe langa care mei trebuie luate in considerare
supretensiunile provenite de la retea.Pentru limitarea supratensiunilor la
stingere de obicei se utilizeaza protectia RB-CB in serie,legata paralel cu tiristorul
sau triacul.
Pierderile in conductie se calculeaza din caracteristica statica de conductie a
tiristorului apoi trebuie asigurata racirea adecvata pentru disiparea acestei
pierderi.
In stare de blocare atat la tensiuni negative cat si la pozitive,apare curent
rezidual care va circula si prin sarcina.Astfel la intreruptoarele statice nu se
poate realiza deconectarea absoluta a sarcinii, de aceea de obicei se mai
monteaza in serie si un separator mecanic.
Dezavantajele interceptoarelor statice fata de cele mecanice sunt:
. sensibilitate la supratensiuni si curenti;
. pierderile in conductie;
. curentul rezidual in stare blocata;
. costul mai ridicat.
Printre avantaje se enumera:
. nu au piese in miscare supuse uzurii mecanice;
. numarul de conectari este practic nelimitat;
. se poate regla precis momentul de conectare;
. deconectarea este fara arc electric;
. frecventa de conectare admisibila este mare;
. costul este in continua scadere fiind determinat de nivelul tehnologic de
fabricatie a dispozitivelor semiconductoare.
Schemele de comanda ale intreruptoarelor de curent alternativ monofazate
Daca tiristorul este elementul component al unui intreruptor trebuie sa I se
aplice un impuls de comanda la inceputul fiecarei semiperioade a curentului
corespunzator tiristorului care conduce.In general curentul si tensiunea
alternativa nu sunt in faza.Defazajul curentului fata de tensiunea retelei este
determinat de caracterul sarcinii.
In fig. 4.9 s-a prezentat alternanta pozitiva a unui curent pur inductiv iL ,
respectiv pur capacitiv iC fata de tensiunea retelei u.
Se poate vedea ca unghiul de amorsare a tiristorului corespunzator unei
alternante in caz general poate sa varieze intr-un domeniu de 10ms.
In schema din figura 4.10 se realizeaza conectarea unui circuit de curent
continuu de comanda iG pe grila fiecarui tiristor cu ajutorul intreruptorului K.
Astfel curentul I va trece prin tiristoare in mod alternativ.Curentul continuu de
comanda reaprinde tiristorul corespunzator la fiecare schimbare de sens a
curentului.

Fig. 4.9. Defazajul curentului pin sarcina capacitiva si respectiv sarcina pur inductiva fata de tensiunea retelei

Fig. 4.4. Schema de conectare si deconectare a circuitelor de curent continuu la grila tiristoarelor
In aceasta schema simpla circuitul de comanda al grilei este legat galvanic de
circuitul de forta al catodului.In figura 4.11 este realizata separarea galvanica a circuitului de comanda cu ajutorul a cate un transformator de impuls

Fig. 4.11. Separarea galvanica a circuitelor de comanda cu transformatoare de impuls
In secundarul transformatorului curentul de comanda este redresat de un
redresor cu punct median si apoi este filtrat de un condensator. Astfel curentul
de comanda nu este intrerupt instantaneu deoarece condensatorul se va descarca
prin circuitul grilei si rezistenta in serie cu grila.
Impulsurile de comanda (fig. 4.12) de polaritate corespunzatoare sunt aplicate
pe ambele tiristoare la inceputul fiecarei semiperioade de curent.Dupa
inchiderea intreruptorului K pentru amorsarea tiristoarelor se utilizeaza
tensiunea anodica.
In functie de polaritatea acestei tensiuni tiristorul corespunzator primeste
impuls de comand prin diodele auxiliare.

Fig. 4.12. Schema de formare a impulsurilor de comanda la inceputul fiecarei semiperioade
Schema din figura 4.13 realizeaza comanda tiristoarelor cu un tren de
impulsuri de frecventa medie aplicate printr-un transformator de impulsuri si
redresat cu ajutorul unei diode.In cazul curentilor de 50Hz sau 60Hz este nevoie
de o frecventa de comanda de cativa KHz,care nu modifica prea mult momentul
de conectare al curentului nici in cazul cel mai defavorabil al pozitiei impulsului
de comanda.De exemplu la frecventa de 50Hz a retelei si la frecventa de 3KHz a impulsurilor de comanda in cel mai rau caz avem de-a face cu o intarziere la
amorsare de 60 electrice.


Fig. 4.13. Schema de comanda a tiristoarelor cu tren de impulsuri de frecventa medie
Schema economica a intreruptorului static monofazat
In figura 4.14 este reprezentat un intreruptor de curent alternativ realizat cu
un singur tiristor T legat pe bratul de curent continuu al unui redresor
necomandat in punte.
Curentul tiristorului este format de semiperioade pozitive deoarece tiristorul
lucreaza la fiecare semiperioada.Calculand valoarea medie a curentului prin
tiristor se obtine o valoare mai mare fata de rezultatele date relkatia:
LLa deconectarea
intreruptorului static datorita diodelor redresoare , pe
tiristorul blocat se aplica numai la tensiune pozitiva.
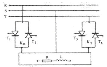
2 Intreruptoarele de curent alternativ trifazat
Conectarea curentului alternativ trifazat se face de fapt asemanator ca in cazul
curentului monofazat.
In general,pe fiecare faza se monetaza un intreruptor static.In figura 4.15 este
reprezentata conectarea si deconectarea unei sarcini trifazate inductiv-rezistive
alimentata de la retea.

Fig. 4.15. Intreruptor static trifazat
Conectarea se face de la intrerupatoarele KR , KS si KT prin aprinderea
tiristoarelor componente ale acestora.
La conectarea unei sarcini R-L si in cazul sistemului trifazat apar componente
tranzitorii ale curentului.
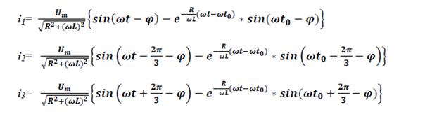
Daca cele trei faze se conecteaza in momentul t0 curentii de faza vor fi:
in fiecare faza
curentul se opune dintr-o componenta stationara sinusoidala si
o componenta tranzitorie exponentiala amortizata.
In cazul conectarii simultane a celor trei faze in cel putin doua faze apare
componenta tranzitorie deoarece intr-un moment dat curentul poate sa treaca
natural prin nul,in cel putin o faza.
Scheme economice ale intreruptoarelor statice trifazate
Pot fi realizate intreruptoare trifazate cu mai putine elemente statice
comandabile.Aceste solutii sunt reprezentate in figura 4.17.In sisteme trifazate
cu nul sunt necesare trei perechi de tiristoare in antiparalel insa cand nu este
conductor de nul ,intreruptorul static poate fi realizat cu doua blocuri de
tiristoare ca in figura 4.16.
La acest intreruptor in stare deconectata fiecare tiristor va fi supus la o
tensiune de blocare egala cu tensiunea de linie a retelei.

Fig. 4.16. Intreruptor static pe doua faze

Fig. 4.17.a. Intreruptor static trifazat cu tiristor si dioda montate in antiparalel

Fig. 4.17.b. Intreruptor in triunghi dupa sarcina

Fig. 4.17.c. Inversor de faze cu triace

Fig. 4.17.d. Inversor cu intrerupator cu patru faze

Fig. 4.17.e. Inversor cu triace si contactoare
|
Politica de confidentialitate |
| Copyright ©
2025 - Toate drepturile rezervate. Toate documentele au caracter informativ cu scop educational. |
Personaje din literatura |
| Baltagul – caracterizarea personajelor |
| Caracterizare Alexandru Lapusneanul |
| Caracterizarea lui Gavilescu |
| Caracterizarea personajelor negative din basmul |
Tehnica si mecanica |
| Cuplaje - definitii. notatii. exemple. repere istorice. |
| Actionare macara |
| Reprezentarea si cotarea filetelor |
Geografie |
| Turismul pe terra |
| Vulcanii Și mediul |
| Padurile pe terra si industrializarea lemnului |
| Termeni si conditii |
| Contact |
| Creeaza si tu |