CONSIDERATII INTRODUCTIVE
Aplicarea metodei starilor limita la proiectarea elementelor din beton armat implica parcurgerea etapelor indicate in fig.1.1

FIGURA 1.1
Functie de tipul elementului si de caracteristicile de incarcare, una sau mai multe din operatiile cuprinse in schema generala din fig. 1.1. pot lipsi. De exemplu, calculul la oboseala este necesar numai in cazul elementelor supuse la cicluri foarte numeroase de incarcare-descarcare.
Daca dimensiunile sectiunilor de beton si cantitatile de armature determinate pe baza conditiilor de rezistenta (etapa 1) nu satisfac din alte puncte de vedere, de exemplu al deschiderii fisurilor sau al deformatiilor sunt necesare reveniri si reluarea verificarilor cu dimnesiuni imbunatatite.
In cele ce urmeaza se fac o serie de precizari suplimentatre referitoare la operatiile din schema din fig.1.1.
a) Calculul la starea limita de rezistenta:
Smax≤Scap
unde Smax reprezinta efortul sectional maxim in sectiunea in care se poate produce cedarea elementului, iar Scap reprezinta efortul capabil in acea sectiune. Valoarea Smax se obtine din calculul structurii considerand incarcarile cu valori de calcul in pozitiile cele mai dezavantajoase. Valoarea Scap se obtine considerand distributia eforturilor unitare pe sectiune in stadiul ei de cedare si valorile de calcul ale rezistentelor betonului si armaturii. Obiectivul calculului la SLR este de a determina valoarea Scap.
Ipotezle de baza ale calculului sunt valabile pentru elementele structurale liniare ( de tip bara). STAS 10107/0-90 admitr folosirea lor in cazul placilor plane cu incarcari normale pe planul median, precum si in cel al unor elemente de suprafata plane, incovoiate in planul lor ( xum sunt, peretii structuralii de beton armat ).
b) Atunci cand starea de eforturi este compusa, de exemplu moment invovoietor si forta taietoare, relatia de mai sus se inlocuieste cu un grup de relatii, fiecare relatie coresounzand cate unui tip de effort din combinatia respective.
c) La constructiile curente din beton armat nu apre pericolul pierderii stabilitatii formei (flambajului) inainte de atingerea starii limita de rezistenta. LA elementele liniare din beton armat aceasta se asigura prin limitarea superioara a flexibilitatii λ= ( lf este lungimea flambajului, iar i esre raza de giratie minima a sectiunii sale transversale).
Influenta flexibilitatii asupra sigurantei elementelor comprimate de beton armat se ia in considerare prin evaluarea valorii Smax pe baza unui calcul de ordinal II al structurii. In cazurile curente se admite folosirea unei metode simplificate care consta in majorarea prin coeficienti aproximativi a momentelor de ordinal I.
CALCULUL LA STAREA LIMITA DE REZISTENTA LA INCOVOIERE CU SAU FARA EFFORT AXIAL
1 Introducere
Calculul la starea limita de rezistenta la invovoiere cu sau fara effort axial urmareste asigurarea elementelor de beton armat fta de ruperea in sectiuni normale la axa acestora.
Daca suportul vectorului moment incovoietor M coincide cu o axa principala a sectiunii sau daca punctual de aplicatie al fortei N paralele cu axa elementului se afla pe o axa principala a sectiunii(fig. ), atunci solicitarea este de incovoiere simpla ( incovoiere dreapta) si axa neutral este paralela cu directia vectorului M.

Fig.1.2
Combinatia de eforturi M si N associate starii de rezistenta este reprezentata prin curba llimita de interactiune din fig. 1.3 ( reprezentarea grafica a perechiklor de eforturi sectionale M si N care rup o anumita sectiune). Aceasta curba este simetrica sau nu in raport cu axa N dupa cum sectiunea de beton armat este simetrica sau nu in raport cu axa principala fata de care se produce incovoierea ( fig. 1.3).

Fig. 1.3
Dca vectorul moment incovoietor nu se suprapune pe o axa principala a sectiunii sau daca punctual de aplicatie al fortei N nu este plasat in lungul axei principale ( fig. 1.4)
atunci elemental este solicitat la incovoiere oblica si axa neutral nu este paralela cu directia vectorului M ( θ≠ώ ).

Fig. 1.4
In acest caz combinatia de eforturi M ( cu componenetle Mx si My ) si N associate starii limita de rezistenta este reprezentata e suprafata de interactiune din fig. 1.5.

Fig. 1.5
La o anumita armare longitudinala a sectiunii corespunde o anumita curba sau suprafata de interactiune.
La verificarea unei sectiuni de beton armat date se stabileste daca punctual de coordonare N, M se gaseste in domeniul delimitate de curba de interactiune si, respective, daca punctual de coordonare N, Mx , My , se gaseste in domeniul de suprafata de interactiune.
In practica poate aparea una din urmatoarele doua situatii particulare ( fig. 1.6):
daca forta axiala N este
M ≤ Mcap (1.1a)
sau
e0 ≤ e0cap (1.1b)

Fig. 1.6
daca excentricitatea e0 este
|N| ≤ |Ncap| (1.2)
Formele echivalente (1.1) si (1.2) se folosesc in functie de tipul actiunii care produce moment incovoietor si effort axia. Situatia N= ct. corespunde mai bine unei incarcari produse de actiunea seismica ( fig. 1.1). Situatia e0 =ct. corespunde unei incarcari gravitationale (1.2b).
La dimensionarea unei sectiuni de beton armat se stabileste armarea pentru care curba de interactiune constine punctual de coordinate N, M si respective, e0 ( sau N, Mx , My ).
Calculul la starea limita de rezistenta se poate efectua prin doua metode:
a) Metoda generala de calcul bazata pe exprimarea explicita a conditiilor statice,
geometrice si fizice pentru sectiunea considerate;
b) Metoda simplificata de calcul care introduce unele aproximatii in vederea
simplificarii calculului si rezolvarii problemei numai pe baza conditilor de echiliebru. Aceste aproximatii se refera la admiterea unei anumite comfiguratii a distributiei eforturilor unitare din beton si armaturi pe sectiune la SLR, functie de sensul si marimea efortului axial si functie de forma sectiunii transversale. Astfel, pentru fiecare subdomeniu distinct de solicitare excentrica, (vezi 3 fig. 1.10), cazurile I si II de compresiune excentrica, intindere excentrica cu excentricitate mica si intindere excentrica cu excentricitate mare, curba de interactiune se obtine numai pe baza conditiilor statice in sectiune.
Pentru o sectiune data, curbele de interactiune obtinute prin ulilizarea metodei generale si a celei simplificate nu se suprapun. Metoda simplificata ofera insa rezultate sufficient de apropiate de cele furnizate de metoda generala in cazurile sectiunilor cu forma simpla si cu un mod de armare current pentru care este admisa aplicarea metodei simplificate.
2 Metoda generala de calcul
Metoda are la baza urmatoarele ipoteze de calcul (fig.1.7):
- sectiunea plana normala la axa elementului ramane plana si dupa deformare ( ipoteza lui Bernoulli);
- armature nu luneca in raport cu betonul;
- eforturile unitare σ in betonul comprimat si in armature rezulta pe baza deformatiilor ε din curbele caracteristice, ale betonului si ale armaturii;

Fig. 1.7
- se neglijeaza rezistenta betonului la intindere;
- sectiunea normala ajunge la starea limita de rezistenta sub combiantia de eforturi M si N care conduce fie la depasirea deformatiei specifice ultime in betonul comprimat, fie la depasirea deformatiei ultime a armaturii intinse.
Se pot identifica trei domenii distincte, in fiecare dintre acestea, stadiul de rupere atingandu-se prin atingerea unei anumite deformatii specifice.
Astfel, intr-un prim domeniu ruperea sectiunii se datoreaza atingerii deformatiei εau in armature cea mai intinsa a sectiunii ( fig 1.8a), in alt domeniu ruperea este dictate de atingerea deformatiei εbu la fibra extrema comprimata (fig. 1.8b), iar in alt domeniu ( caracterizat de faptul ca intreaga sectiune este comprimata) de atingerea la fibra extrema comprimata a deformatei εb lim < εbu (fig. 1.8c). In acest ultimo domeniu fibra de beton situate la 1 /3,5 h de fibra extrema comprimata are in momentul cedarii deformatia specifica ε b0 = 2 .

Fig. 1.8
In raport cu metoda simplificata de calcul metoda generala prezinta urmatoarele avantaje:
- se poate aplica la toate formele de sectiuni de beton armat, cu armare oarecare, atat pentru incovoierea dreapta cat si pentru cea oblica;
- furnizeaza atat capacitatea de rezistenta a sectiunii cat si capacitatea de deformare specifica;
- se poate folosi si pentru determinarea de eforturi si de deformatii unitare la combinatii N si M inferioare celor associate starii limita de rezistenta.
Metoda generala de calcul se poate aplica numai sectiunilor cu armature data deci in probleme de verificare. Ea nu poate fi folosita ca metoda de dimensionare decat daca se aplica interactive, sau daca pe baza ei se intocmesc tabele de coeficienti de calcul pentru anumite tipuri de sectiuni. Algoritmul determinarii valorii momentului capabil al unei sectiuni de beton armar solicitarea la incovoiere cu un anumoit effort axial N cuprinde urmatoarele etape:
(i) Se stabilesc valorile NM N0 de la granitele intre cele 3 domenii corespunzatoare celor trei moduri distincte de rupere. Cele doua valori corespund distributiei deformatiilor din fig. 1.9a si 1.9b. Inaltimile zonelor comprimate corespunzatoare sunt:

Fig. 1.9
Corespunzator valorilor deformatiilor specifice se determina, utilizand diagramele caracteristice, valorile eforturilor unitare din zona comprimata de beton si respective din armature. Apoi prin insumarea (integrarea) eforturilor pe sectiune se determina valorile eforturilor axiale respective.
(ii) Prin compararea valorii N cu valorile NM si NQ se determina domeniul in care se incadreaza problema (tipul de rupere) si deformatia.specifica caracteristica (denumit pivotal domeniului de rupere respective).
(iii) Plecand de la deformatia specifica (pivotal) caracteristica domeniului de rupere identificat la faza (ii) se propune o distributie ε pe sectiune altfel spus, se allege o valoare x pentru inaltimea zonei comprimate. Se recomanda alegerea initiala, in vederea reducerii numarului de literati, a unei distributii corespunzatoare conditiilor de la jumatatea domeniului. De exemplu, pentru domeniul NM < N < NQ se recomanda sa se aleaga o valoare εla nivelul fibrei extreme intinse egala cu semisuma valorilor corespunzatoare celor doua limite ale domeniului, respective 0 (pentru N= NM) si εauh/h0 (pentru N= NQ).
Corespunzator distributiei ε pe sectiunea rezultata se evalueaza eforturile unitare in beton si in armature (prin intermediul relatiilor σ-ε) si se insumeaza valoarea acestora pe sectiune. Se obtine astfel efortul axial N1.
(iv) Se compara valoarea N1 cu N si se determina intervalul injumatatit in raport cu precedentul (NM < N < N1 sau N1 < N < NQ) in care se incadreaza problema.
(v) Se corecteaza distributia ε la rupere pe sectiune cosiderand o valoare ε la fibra inferioara a sectiunii la jumatatea valorilor corespunzatoare celor doua limite ale noului interval stability.
Se evalueaza valoarea N2 corespunzatoare.
Calculul continua corectandu-se succesiv solutiile din fazele anterioare pana cand se obtine o valoare a efortului axial pe sectiune sufficient de apropiata (in limitele de toleranta admise ) de valoarea N.
(vi) Dupa precizarea distributiei deformatiilor specifice si a eforturilor unitare pe sectiune la starea limita de rezistenta, se determina efortul capabil M dintr-o ecuatie de momente in raport cu unul din punctele sectiunii.
Metoda generala de calcul nu poate fi practice folosita decat cu ajutorul calculatorului.
3 Metoda simplificata de calcul
Metoda simplificata de calcul se bazeaza pe adoptarea unor ipoteze privind distributia eforturilor pe sectiune astfel incat conditiile statice sa fie singure in masura sa permita rezolvarea problemei. Aceste distributii conventionale de eforturi pe sectiune difera functie de pozitia axei neuter a sectiunii la starea limita de rezistenta.
Din punctual de vedere al metodei simplificate se pot identifica si alte situatii caracteristice, suplimentar fata de situatiile M si Q prezentate in
fig. 1 si anume:
- situatia limita B care corespunde cazului in care armature Aa ajunge
la limita de curgere ( εa=Ra/Ea) simultan cu cedarea betonului comprimat (εbc=εbu). In aceasta situatie, numita si situatie de balans (echilibru), inaltimea zonei comprimate este:

Fig.1.10
- situatia limita C in care armature Aa isi atinge limita de deformatie (εa= εau) in timp ce armature Aa, situate la cealalta extremitate a sectiunii nu este solicitata (εa=0; σa=0). Inaltimea corespunzatoare:
![]()
(1.6)
Din definirea situatiilor limite M si Q de la 2. si a situatiilor B si C rezulta urmatoarele:
a) Daca cedarea se datoreaza cedarii betonului la compresiune. La ruperea in sectiunea ceonsiderata, armature Aa, poate fi sanu nu pe palirerul de curgere dupa cum este mai mic sau mai mare decat . Daca armature Aa si intreaga sectiune de beton sunt comprimate.
b) Daca cedarea se datoreaza cedarii armaturii.
Daca atunci armature Aa si omparte din sectiunea de beton sunt comprimate.
Daca atunci armature Aa si deci toata sectiunea sunt intinse.
Pe aceste considerente, in calculul simplificat la incovoiere cu effort axial pot intervene situatii caracteristice ( fig.1.7):
(1.7)
Situatiile precedente se denumesc tinand cont si de semnul fortei axiale, dupa cum urmeaza (fig.1.7):
- cazul II de compresiune excentrica in situatia (i);
- cazul I de compresiune excentrica in situatia (ii) cu forta axiala N de compresiune;
- incovoiere ( simpla) in situatia (ii) cu forta axuala N=0;
- intindere excentrica cu excentricitate mare in situtia (ii) cu forta axiala N de intindere;
- intindere excentrica de excentricitate mica in situatia (iii).
In calclulul cu metoda simplificata ipotezele adoptate in cazul ( in care ruperea se datoreaza cedarii betonului comprimat) se considera variabile si in cazul (in careruperea se datoreaza depasirii rezistentei armaturii). Aceasta aproximatie introduce erori acceptabile din punct de vedere practice si permite o simplificare importanta a calculului.
In continuare se prezinta calculul cu metoda de calcul simplificata pentru cele 5 cazuri de solicitare mentionate.
7 Calculul la starea limita de rezistenta al elementelor incovoiate
Incovoierea este solicitarea dominanta a elementelor liniare si a elementelor de suprafata plane supuse la incarcari normale pe axa, respective pe planul median. Exemple tipice de elemente incovoiate sunt grinzile si placile planseelor monolite (fig.1.11a) sau prefabricate (fig.1.11b).

Fig.1.11
In transimiterea incarcarilor la reazeme, actiunea momentelor incovoietoare se combina cu cea a fortelor taietoare. In fig.1.12 se reprezinta schematic traiectoriile eforturilor principale, precum si configuratia fisurilor intr-o grinda de beton armat supusa la momente incovoietoare cu forta taietoare.
In zona centrala, fortele taietoare au valori foarte reduse, predominand actiunea momentelor incovoietoare. Pe aceste portiuni, sisurile se dezvolta normal pe axa elementului si nu este necesara deca armature longitudinala.

Fig. 1.12
In zonele dinspre extremitatile grinzii simplu rezemate din fig.1.12 unde fortele taietoare capata valorile maxime de pe grinda, iar valorile momentelor incovoietoare scads pre zero, fisurile sunt iclinate, urmarind traiectoriile eforturilor principale de compresiune. Fisurile sunt produse de actiunea combinata a momentelor cu cea a fortelor taietoare.
Din punct de vedere practice, situatia de solicitare la incovoiere se considera nu numai atunci cand forta axiala de compresiune N este nula, ci sic and valoarea ei este foarte redusa. Se admite astfle in mod acoperitor sa se calculeze la incovoiere si sectiunile la care N ≤ 0,05Na etse valoarea efortului capbil de compresiune corespunzator situatiei de solicitare la compresiune centrica.
In cazul incovoierii trebuie ca pentru a folosi efficient armature Aa.
In metoda simplificata de calcul la S.L.R se considera distributia de eforturi fig.1.13, respectiv:
- pe inaltimea conventionala X a zonei comprimate, eforturile unitare in beton sunt constante si egale cu Rc;
- in armature intinsa Aa, efortul unitary σa este egal cu Ra;
- in armature comprimata Aa, efortul unitary este mai mic sau egal ( in valoare absoluta) cu Ra, dupa cum inaltimea x a zonei comprimate este mai mica sau, respective, egala si mai mare decat 2a.

Fig.1.13
In legatura cu aceasta distributie de eforturi sunt necesare o serie de precizari:
a) In fig.1.14 se poate constata ca distributia conventinala de eforturi unitare in betonul comprimat reprezinta o aproximare buna a distributiei de eforturi conform metodei generale de calcul, mai riguroase, in cazul sectiunilor dreptunghiulare, introducand erori neinsemnate in ceea ce priveste pozitia rezultantei eforturilor de compresiune. Se poate admite, de asemenea, aproximatia:
x ≈ 0,8x (1.8)
Astfel, pentru sectiunile dreptunghiulare, ca si pentru sectiunile in forma de T cu proportiile intalinite in mod obisnuit in structurile de beton armat, metoda simplificata ofera o precizie cu totul satisfacatoare pentru proiectarea curenta.
b) Plecand de la distributia ε specifica situatiei de balans si tinand seama de relatia (1.8) se poate scrie:
(1.9)
In tabelul 1.1 se dau valorile ζb prevazute in STAS 10107/0-89. Valorile sunt rotunjite si iau in considerare faptul ca εbu este mai mica de 3 % in cazul unor betoane de clasa ridicata.
Tabel 1.1- Valorile ζb conform STAS 10107/0-90

b) Limita x=2a sub care se considera |εa| < Ra este aproximativa, o valoare mai precisa putand fi obtinuta pe baza distributiei ε pe sectiune in momentul cedarii conform ipotezei sectiunii plane. Calcule comparative dovedesc insa ca rezultatele caclculelor nu depend semnificativ de valaorea adoptata pentru aceasta limita, care este foarte comoda pentru practia proiectarii.
In cele ce urmeaza se detaliaza modul practice de calcul la incovoiere al elementelor de beton armat cu diferite sectiuni.
A. ELEMENTE CU SECTIUNE DREPTUNGHIULARA SIMPLU ARMATE
In domeniul cedarii,intr-o sectiune normala la axa, eforturile interioare isi fac echilibru cu momentul incovoietor produs de incercarile aplicate pe grinda.
Distributia de acalcul a eforturilor in sectiune este cea precizata anterior (fig.1.15).

Fig.1.15
Se noteaza:
a= distnata de la centrul de greutate al armaturii la maerginea intinsa a sectiunii;
ho=h a = inaltimea utila a sectiunii;
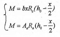
Conditiile statice sunt:
- ecuatia de proiectie pe axa elementului:
bxRc = AaRa
-ecuatia de moment in raport cu un punct al sectinii; se prefera pentru simplitatea formei ecuatiile de moment in raport cu centrul de greutate al armaturilor intinse sau in raport cu punctual de aplicatie al rezultantei eforturilor de compresiune din beton:
(1.11a)
(1.11b)
Daca se noteaza:
inaltimea relativaa
zonei comprimate
coeficientul de
armare al sectiunii
Relatiile (1.10), (.1.11a) si (1.11b) devin:
(1.10)
(1.11a)
(1.11b)
In practica de proiectare intervin 2 tipuri de probleme si anume:
- problema de verificare, in care se dau date complete privind alcatuirea sectiunii de beton armat si se cere sa se determine capacitatea de rezistenta (momentul capabil) a sectiunii.
- problema de dimensionare, in care se cunosc eforturile sectionale (incazul incovoierii, momentul incovoietor din sectiunea in care se dace calculul), sectiunea de beton a elementului sau numai unele dimensiuni ale acesteia si se cere determinarea cantitatii necesare de armature si, daca este cazul, a dimesiunilor sectiunii de beton necunoscute.
Rezolvarea se face direct pe baza conditiilor statice ( ecuatiilor de echilibru) in sectiunea considerate sau cu ajutorul unor coeficienti de calcul care permit o sistematizare a operatiilor si o anumita economie de timp de lucru.
I. Calculul bazat pe rezolvarea sistemului ecuatiilor de echilibru.
(i) VERIFICARE:
Se cunosc: b,h,a,ho,Ao,Rc,Ra
Necunoscute: x,Mcap
Pentru determinarea celor doua necunoscute se dispune de doua
ecuatii, astfel ca problema este determinate. Intrucat ecuatia de proiectie contine o singura necunoscuta (x), iar ecuatia de momente doua, ordinea fireasca a operatiilor este:
se determina x din ecuatia de proiectie:
(1.12)
introducand valoarea x in ecuati de momente rezulta Mcap:

(1.13)
(ii) DIMENSIONARE:
Pot intervene doua tiouri de probleme si anume:
a) Se cunosc: b,h,Rc,Ra,M. Se apreciaza a s, respective ho
Necunoscute: x,Aa
Se procedeaza dupa cum urmeaza:
- din relatia (1.11a), euctie de dradul doi in x, rezulta:

(1.14)
cantitatea de armature necesara se obtine din ecuatia (1.10) sau (1.11b):

b) Se cunosc: b, Rc,Ra,M
Necunoscute: h ho),x,Aa
Problema implica 3 necunoscute pentru numai doua ecuatii de echilibru. Pentru a obtine o solutie trebuie aleasa valoarea uneia din necunoscute sau raportul dintre doua necunoscute.
In practica se allege pe criterii economice coeficientul de armare, respective raportul dintre aria sectiunii de armatura sic ea a sectiunii de beton.
Ordinea operatiilor este urmatoarea:
- se allege ceoeficientul de armare:

- se determina

- din relatia (1.11a) se obtine inaltimea utila necesara a sectiunii:

(1.15)
- se stabileste inaltimea sectiunii h=ho + a, valoare care se rotunjeste la multiplu de 1 cm, in cazul placilor si la multiplu de 5 cm, in cazul grinzilor obisnuite.
- daca prin rotunjire inaltimea utila este sufficient de apropiata de valoarea rezultata din calcul ( din relatia 1.15), aria de armature se determina cu una din relatiile:

- daca diferenta intre cele doua valori este mai mare se recurge la schema a), considerand valoarea efectiva ho a sectiunii alese.
II. Calculul practice cu ajutorul tabelelor:
Se introduce relatiile:

(1.16)


Daca valorile lui x, respective dand valori coeficientului de armare μ pentru o anumita clasa de beton (respective pentru o anumita valoare Rc) si o anumita marca de otel ( pentru un anumit Ra) se pot determina valorile B,r,μ care se intabuleaza. Se prefera intabularea in raport cu parametrul p= 100μ, procentul de armare.
Cu notatiile (1.16), (1.17), (1.18) relatiile de moment se pot scrie intr-una din tabele:

(1.11a)
![]()
(1.11b)
Rezolvarea problemelor de verificare, respective, de dimnesionare cu ajutorul B,r,γ implica urmatoarele operatii:
(i) VERIFICARE:
- se calculeaza p = 100 μ = 100Aa/bho
- din tabela corespunzatoare valorilor Rc si Rc date se scot valorile coeficientilor B sau γ in functie de p%
- se calculeaza momentul capabil cu una din relatiile:
Mcap = Bbho2
sau
Mcap = AaRaγho
(ii) DIMENSIONARE:
- se calculeaza

- din tabele se pot scoate valorile p sau γ in fucntie de B

- se allege o valoare pozitiva ( in domeniul economic pentru tiipul de element care se dimensioneaza)
- din tabele se scoate valoarea r funcite de o
- se calculeaza valoarea necesara a inaltinmii utile a sectiunii
- se determina inaltimea h a sectiunii h = ho + a
- se rotunjeste valoarea h, corespunzatoare tipului de element.
- pentru determinarea cantitatii de armatura intinsa necesara Aa, se procedeaza dupa cum s-a aratat anterior in cazul aplicarii calculului bazat pe rezolvarea ecuatiilor de echilibru.
Observatii:
1. Cantitatea de armature prevazuta in elementelr solicitatea la incovoiere trebuie sa fie superioara cantitatii minime definite in cap4 sau, altfel exprimat, preocentul armaturii intinse trebuie sa fie superior procentului minim de armare. In caz contrar, dupa fisurarea betonului intins, armature nu poate prelua suplimentul de effort rezultata din iesirea din lucru a betonului intins si elemental se rupe practice ca un element din beton simplu. Valoarea coeficientului minim de armare μmin (sau a procentului minim pmin = 100 μmin, se obtine conditia Mcap > Mf ( Mf = momentul de fisurare ) si este precizata in tabele de coeficienti pentru calculul sectiunilor.
2. Dca sectiunea de armature depaseste o anumita valoarea, inaltimea zonei comprimate x >xb si Aa nu mai ajunge la curgere.
Peste limita corespunzatoare a procentului de armare maxim :

(1.20)
Capacitatea de rezistenta (momentul capabil) a sectiunii nu mai creste practice oricat de mult armature s-ar prevedea. Aceasta concluzie este confirmata de rezultatele obtinute prin aplicarea metodei generale de calcul. Momentul capabil al elementelor incovoiate cu sectiune dreptunghiulara simplu armat este:
(1.21)
De exemplu pentru cazul curent xb = 0.55ho, rezulta :
Mmax = 0,4bho2Rc
Procentele maxime de armare pmax sunt indicate, de asemenea, in tabele de coeficienti.
3. Din analiza expresiei momentului capabil:

rezulta ca:
- modul cel mai efficient de a spori Mcap este cresterea inaltimii sectiunii (creste si ho si γ );
- factori importanti ai valorii momentului capabil sunt Aa si Ra ( la cresterea lor γ scade foarte putin);
- prin cresterea latimii sectiunilor b si a calitatii betonului se obtin cresteri putin inseminate ale momentului capabil (creste putin γ ).
B. ELEMENTE CU SECTIUNE DREPTUNGIULARA DUBLU ARMATE
In constructii exista numeroase elemente incovoiate la care apare necesitatea prevederii unor armature in zona comprimata.
In unele cazuri, din considerente arhitecturale sau functionale, inaltimea sectiunilor grinzilor este limita. Daca valoarea maxima a momentului aplicat grinzii depaseste valoarea momentul maxim a grinzii simplu armate ( M > Mmax = 0,4bho2Rc in cazul betoanelor si otelurilor obisnuite ) este necesatra intatrirea zonei comprimate prin armature.
Asemenea solutii se admit numai in situatii de stricta necessitate, grinzile cu sectiuni cu inaltime mica dublu armate reziltand neeconomicoase in comparative cu grinzile simplu armate cu ianltime mai mare, datorita consumului sporit de otel.
In alte cazuri, posibilitatea aparitiei de momente incovoietoare de semen contrare in aceeasi sectiune reclama prevederea de armature atat la partea partea superioara (necesara in situatia aplicarii unui moment negative, fig.1.16.a cat si la partea inferioara (necesara pentru situatia cand in sectiune actioneaza un moment pozitiv, fig.1.16.b.

Distributia admisa in calcul a eforturilor unitare in sectiune este cea din fig.1.13.
Echilibrul elementului se exprima prin doua ecuatii, in mod obisnuit ecuatia de proiectie pe axa elementului si o ecuatie de moment, de regula, in raport cu axa orizontala ce trece prin centrul de greutate al armaturilor din zona intinsa.
Ecuatiile pot capata forme diferite dupa cum armaturile ajung sau nu la curgere.
Conditia ca armature intinsa sa ajunga la curgere (εa > εap ) este:
Conditia ca armature din zona comprimata sa ajunga la curgere
εa | ≥ εap ) este :
Dca aceste doua conditii sunt indeplinite cele doua ecuatii de echilibru capata forma:
(1.22)
(1.23)
S-a notat : ha = ho a, distanta dintre centrele de greutate ale celor doua armature.
Momentul incovoietor aplicat sectiunii dublu armate se poate considera ca este echilibrat de cuplul M1 al eforturilor din armature comprimata Aa si dintr-o sectiune egala (Aa1 = Aa ) din armature intinsa de momentul capabil M2 al unei sectiuni simplu armate cu armature intinsa
Aa2 = Aa Aa1 ( fig.1.17).

FIGURA 1.17
Cu notatiile:

Cele doua ecuatii se pot scrie in forma urmatoare:

(1.22)
relatii care care se pot servi la rezolvarea problemelor de dimensionare si verificare cu ajutorul coeficientilor intabulati.
Daca x < 2a, atunci | σa| < Ra. Pentru a evita determinarea efortului unitary din armature comprimata, echilibrul se exprima printr-o ecuatie de moment in raport cu centrul de greutatea al acestei armature.

(1.25)
Termenul al doilea din membrul dreapt al ecuatiei se poate neglija, fiind neinsemnat fata de primul termen. Aproximarea are un character acoperitor.
In continuare se prezinta modul current de rezolvare a problemelor de dimensionare si verificare a sectiunilor elementelor incovoiate cu sectiune dreptunghiulara dublu armata.
Se detaliaza numai calculul bazat pe rezolvarea directa a sistemului ecuatiilor de echilibru:
(i) VERIFICARE:
Se cunosc: b,h,Aa,a,a,Rc,Ra
Necunoscute: Mcap,x
Succesiunea operatiilor este:
- din ecuatia de proiectie (1.22):

- fucntie de valoarea lui x astfel obtinuta, valoarea momentului capabil al sectiunii rezulta:

(ii) DIMENSIONARE:
Pot aparea doua tipuri de probleme functie de numarul marimilor necunoscute care trebuie determinate:
a) Se cunosc: b, h, a, a, Rc, Ra
Necunoscute: Aa, Aa, x
Pentru determinarea celor 3 necunoscute se dispune numai de 2 ecuatii (problema este nedeternimata, fiind necesara o relatie suplimentara. Dintre solutiile posibile se allege cea mai economica, respective cea care duce la consumul minim de otel,a dica solutia la care corespunde ( Aa + Aa)min.
Pentru aceasta, capacitatea betonului de a prelua compresiuni trebuie exploatarea la minimum. Se allege x = xb.
Succesiunea operatiilor este urmatoarea:

Daca M < M2max se alege Aa pe criterii constructive si in continuare calculul se conducea ca in cazul b).
b) Se cunosc: b, h, a, a, Aa, Rc, Ra, M
Necunoscute: Aa, x
Se verifica daca armatura comprimata Aaajunge la curgere. Pentru aceasta se calculeaza momentul capabil corespunzator situatiei x = 2a
Ma = 2baRc(ho a) + AaRaha
rezulta ca daca:
M ≥ Ma, x ≥ 2a si | σa| = Ra
M < Ma, x < 2a| σa| < Ra
in cazul x ≥ 2a succesiunea operatiilor este urmatoarea:
M1 = AaRaha
M2 = M M1 ≤ M2max (Daca M2 > M2max ,armature Aa este insuficienta si calculul se conduce ca pentru cazul a).


In cazul x < 2a, armature intinsa necesara rezulta din relatia:

C. ELEMENTE CU SECTIUNE IN FORMA DE T
In costructiile de beton armat intervin deseori elemente incovoiate avand sectiunea in forma de T. Cateva exemple se pot urmari in fig.1.18.
In cazul grinzii planseului monolit din fig.1.18a si b, forma T a sectiunii a rezultat din conlucrarea placii cu gringa ca uramre a turnarii impreuna a celor doua elemente. In zaul grinzii planseului prefabricat (fig.1.18c), forma de T a rezultat ca urmare a necesitatii realizarii la partea superioara a unei dimensiuni suficiente pentru rezemarea placilor prefabricate si spatiului pentru monolitizarea acestora.
Chesoanele din fig.1.18d sau elementele Π din fig.1.18 se pot echivala pentru calcul toto cu sectiuni T.
FIGURA 1.18

Din punct de vedere a; calculului , forma sectiunii este dictate de forma zonei comprimate a sectiunii, betonului din zona intinsa fiind iesit din lucru prin fisurare.
Astfel grinda din fig.1.19a va fi considerate ca o grinda cu sectiune T in zonele cu momente positive (fig.1.19b), dar in zonele cu momente negative (care produc intindere in talpa) sectiunea de calcul are forma dreptunghiulara cu latimea egala cunlatimea b a grinzii 9fig.1.19c).

FIGURA 1.19
LATIMEA ACTIVA A PLACII
In cazul in care talpa grinzii este foarte dezvoltata ea nu participa in intregime la preluarea eforturilor din incovoierea grinzii, latimea active de conlucrare a talpii cu inima reprezentand numai o fractiune dinnlatimea reala.
Latimea active depinde de urmatorii factori:
proportia zonelor in care placa grinzii se afla in zona comprimata, in raport cu deschiderea (fig.1.20);

FIGURA 1.20
- raportul intre grosimea placii si inaltimea inimii hp/h; daca acest raport este mic eforturile unitare tangentiale τ si implicit eforturile unitare principale de intindere pot capata valori importnate care conduc la o fisurare accentuate a talpii si iesirea partiala din lucru a acesteia (fig.1.21a).
Eforturile unitare σ nu sunt uniform distribuite in talpa, avand valori, in general, mai reduse cu cat distanta fata de axul grinzii este mai mare. Pentru simplificarea calculelor, in mod conventional eforturile se considera constante in momentul ruperii, cu valoarea Rc avand o latime echivalenta bp (fig.1.21b).

FIGURA 1.21
Prescriptiile romanesti stabilesc ca latimea active bp a placii la
sectiuni cu talpa in zona comprimata in calculul la S.L.R. sa se determine pe baza conditiilor:

Lungimea lc in care talpa se afla in zona comprimata se stabileste
conform fig.1.20.
In cazul grinzikor cu placi in consola (cum sunt grinzile prefabricate care nu fac parte dintr-un planseu) se vor respecta si conditiile:

RELATII DE CALCUL:
Se admite, conform ipotezelor generale adoptate in metoda simplificata de calcul, ca in momentul cedarii distributia eforturilor in sectiune este cea din fig.1.22, unde se indica si notatiile ce se vor folosi in continuare.

FIGURA 1.22
Echilibrul elementului se exprima printr-o ecuatie de proiectie pe axa elementului si o ecuatie de momente in raport cu centrul de greutate al armaturilor intinse.

S-a considerat cazul general cand axa neutral se afla sub marginea inferioara a placii.
Efortul unitary in armature se poate considera egal cu Ra numia daca este respectata conditia:
x ≤ xb
Operatiile de calcul se pot interpreta mai usor daca se face descompunerea indicate in fig.1.23.
Relatiile de echivalenta intre sectiunea reala (fig.1.23a) si cele doua sectiuni care rezulta din aceasta descompunere (fi.1.23b si c) sunt:
Aa = Aa1 + Aa2 (1.28)
M = M1 + M2 (1.29)
Ecuatiile de echilibru corespunzatoare situatiei din fig.1.23b sunt:
(1.28a)
(1.29a)

FIGURA 1.23
Iar pentru sectiunea simplu armata din fig.1.23c:
(1.28b)

(1.29b)
Prin insumarea termenilor ecuatiilor (1.28a), (1.28b) si (1.29a), (1.29b) se obtin relatiile de echilibru (1.28) si (1.29).
Identificarea conditiilor in care cedeaza sectiunea ( x≤hp sau x>hp) se face in felul urmator:
a) Probleme de verificare
Se calculeaza aria sectiunii de armature Aap care poate echilibra eforturile de compresiune pentru cazul limita x = hp.

(1.30)
si se compara aceasta valoare cu aria Aa a sectiunii de armature prevazuta efectiv in sectiune. Pot intervene trei cazuri.
Daca: Aa=Aap rezulta ca x=hp
Aa>Aap rezulta ca x>hp
Aa<Aap rezulta ca x<hp

FIGURA 1.24
c) Probleme de dimensionare
Se determina momentul capabil Mp al sectiunii corespunzator situatiei in care x=hp.

(1.31)
care se compara cu momentul de calcul M al sectiunii.
Daca: Mp=M rezulta ca x=hp
Mp<M rezulta ca x>hp
Mp>M rezulta ca x<hp
Calculul practice in proiectare implica succesiunea de operatii indicate in contiuare. S-a detaliat numia calculul bazat pe rezolvarea directa a ecuatiilor de echilibru.
(i) VERIFICARE:
Se cunosc: b, h, hp, a, Aa, Ra, Rc
Necunoscute: Mcap, x
a) Cazul x ≤ hp
Rezolvarea se efectueaza ca pentru sectiuni dreptunghiulare simplu armate (vezi 1.24a):

b) Czul x > hp
Mcap=M1+M2cap

unde

(ii) DIMENSIONARE:
Se cunosc: b, h, hp, a, Rc, Ra, M
Necunoscute: Aa, x
a) Cazul x ≤ hp
Calculul se efectueaza ca pentru o sectiune dreptunghiulara cu latimea bp. Din ecuatia de momente se obtine

b) Cazul x > hp

Valoarea armaturii Aa2 se determina rezolvand o sectiune dreptunghiulara cu latimea b simplu armata supusa la un moment incovoietor:

Astfel se determina:


5 Calculul la starea limita de rezistenta al elementelor din beton armat solicitate la compresiune excentrica
5.1 Consideratii introductive
Elemenetele structurale tipice pentru solicitarea la compresiune excentrica sunt elemente verticale ale structurilor, stalpii si peretii structurali. In fig.1.25 se prezinta diagramele de eforturi sectionale produse de incarcarile verticale si, respective de cele orizontale, precum si eforturile rezultante.
Sa observam ca functie de marimea relative a eforturilor axiale produse de incarcarile verticale si a eforturilor produse de incarcarile orziontale (denumite in limbajul ingineresc current effect indirect al fortelor orizintale) in stalpi, efortul axial din stalpi poate fi nu numai de compresiune ci si de intindere.

FIGURA 1.25
Denumirea solicitarii, compresiune sau intindere excentrica, se aplica prin aceea ca efectul celor doua eforturi M si N se poate echivala cu cel al unei forte aplicate excentric pe sectiune. In cadrul paragrafului 5 ne referim la solicitarea la compresiune excentrica, cazul intinderii excentrice fiind tratat la paragraful 6.
Comportarea sub incarcari si modul de cedare al stalpilor depind de interactiunea eforturilor M si Q pe o parte si de intensitatea eforturilor de compresiune, pe de alta parte.
Interactiunea efoerturilor M si Q sau altfel exprimat intre eforturile σM de moment si eforturile τ sunt functie de raportul H/h intre inaltimea stalpului si dimensiunile sectiunii transversale. Aceasta dependenta poate fi sugerata de valoarea raportului σM/τmed exprimata pentru conditiile comportarii liniare elastice. Astfel pentru o sectiune dreptunghiulara:
(1.32)

(1.33)
Forta taietoare Q in stalpi reprezinta panta diagramei de
moment, ea putand fi exprimata sub forma:

in cazul solicitarii stalpului pana la plastifierea la extremitatile acestuia, situatia care poate intervenii in cazul actiunii unor cutremure de mare intensitate (1.26).

(1.26)
In felul acesta raportul σM/τmed capata o expresie de forma:

(1.27)
Modul de cedare al stalpilor cu diferite rapoarte H/h se prezinta in
figura (1.27). Se pot identifica trei categorii de staple din acest punct de vedere si anumite lungimi in care raportul H/h ≥5), stalpi de lungime medie (2 ≤ H/h < 5) si staple scurti ( H/h < ).
Stalpii lungi (1.27a) resprezinta un mod de rupere practice neafectat de forta frecare. Atat vreme cat efortul de compresiune este (relative la sectiunea de beton) ruperea este asemanatoare cu ruperea la incovoiere, evitandu-se ruperi normale la axa, cu incursiuni substantiale ale armaturii de otel in domeniul elastic de deformatie.

FIGURA 1.27
In cazul staplilor scurti, efectul fortei taietoare este predominant, putand duce la ruperi extreme de casante, prin dizlocari dupa planuri de rupere indirecte, mai ales daca eforturile de compresiune sunt relative mari (fig.1.27c). Deoarece asemenea eforturi de rupere se pot evita cu dificultate si printr-un consum important de otel in armature transversale, prescriptiile de proiectare nu recomanda folosirea in structuri a acestei categorii de stalpi, daca acestia urmeaza sa preia efectul fortelor orizontale dinamice.
In cazul stalpilor cu proportii intermediare intre cele ale stalpilor lungi si ale stalpilor scurti, cedarea poate intervene dupa fisuri inclinate la axa elementului avand o ductilitate limitata (1.27b).
In cele ce urmeaza se are in vedere cazul current al stalpilor lungi si medii la care ruperea este in mai mica masura influentata de forta taietoare. In cazul acestor stalpi se poate analiza separate cedarea in sectiuni normale la axa elementului sub actiunea combinata a efortului M si N, pentru preluarea fortelor taietoare luandu-se masuri separate de armare transversala cu etrieri.
Ne referim din nou la fig.1.0. unde este reprezentata diagrama de inteactiune la limita a elementelor solicitate la incovoiere cu effort axial. Domeniul corespunzator al compresiunii excentrice este impartit de punctual de balans in doua subdomenii de comportare distincte. Cele doua subdomenii delimitate sunt denumite respective, cazul I de compresiune excentrica pentru N ≤ NB si cazul II de compresiune excentrica pentru
N > NB.
Cazul I de compresiune ii corespunde o rupere prin zdrobirea betonului din zona comprimata, armature din zona intinsa fiind solicitata oeste limita de curgere > εap). Privit din exterior un stalp comprimat excentric cu excentricitate mare manifesta o comportare similara cu cea a elementelor incovoiate (fig.1.27a).
In cazul II de compresiune excentrica ruperea se produce tot ptin betonul comprimat, dar armature intinsa nu mia ajunge la curgere. Cand efortul axial de compresiune este mare ( in raport cu sectiunea de beton ), aceasta armature ajunge sa fie comprimata, astfel ca apare mai potrivit ca acseatra armature sa fie denumita armature intinsa sau mai putin comprimata. Ruperea este asemantatoare cu directia fortei de compresiune centrica, manifestandu-se prin fisuri paralele cu directia fortei de compresiune. In situatiile in care in sectiune apar si eforturi de intindere in fazele avansate de solicitare pot aparea si fisuri normale la axa, putin dezvoltate.
Inncazul I de compresiune excentrica ruperea are un character ductile, in timp ce in al doilea caza ruperea are un character casant, dara avertizare prealabila. In cazul stalpilor care preiau efectul actiunii seismice, se urmareste sa se evite, prin modul de poriectare a acestora ruperea casanta, asigurandu-se o capacitate cat mai amre de deformatie in domeniul inelastic, prin ca re sa se absoarba sis a se disipe energie indusa de cutremur.
Inainte de a aborda probleme practice de calcul la compresiune excentrica se impun o serie de observatii:
a) Cazul compresiunii centrice, uan din limitele domeniului solicitarii la compresiune excentrica, calalta limita fiind cazul incovoierii, reprezinta o situatie strict teoretica. Intotdeauna apar excentricitati geometrice sau datorate neomogenitatii betonului din elemnte structurale. Pentru a tine seama de aceste excentricitati STAS 10107/0-90 impune considerarea unei excentricitati aditionale, egala cu cea mai mare dintre valorile h/ 30 ( h, dimensiunea sectiunii transversale in directia de aplicare a momentului ) si 20mm. In felul acesta excentricitatea de calcul eoc se ia :

Altfel spus, momentul de calcul ce se ia in considerare la dimensionare este M + Nea. Sau, la verificarea sectiunilor, daca se cunoaste momentul capabil Mcap al unei sectiuni comprimate excentric, se poate conta numai pe fractiunea disponibila Mcap,disp=Mcap Nea (fig.1.10).
b) In redactarea anterioara a standardului ( STAS 10107/0-76) cele doua subdomenii ale solicitatii la compresiune excentrica erau denumite compresiune excentrica cu excentricitate mare ( pentru cazul I de compresiune excentrica) si compresiune excentrica cu excentricitate mica (pnetru cazul II). S-a renuntat la aceste denumiri ca fiind improprii, deoarece pozitiile punctului de balans B la o sectiune de beton cu diferite acantitati (procente) de armare nu corespund unei valori constante a excentricitatii eo = Mcap/N. In fig.1.28 se poate constata ca punctele de balans pe curbele limita de interactiune pentru diferite procente de armare corespund practice unei valori constante NB a fortei axiale.

FIGURA 1.28
In felul acesta, pentru o anumita excentricitate eo, starea limita de rezistenta a sectiunii comprimate excentric poate corespunde cazului I sau II dupa cum armarea sectiunii este mai slaba sau, respective, mai puternica.
c) Se reamintesc ca in cazul elementelor comprimate de beton armat la care capacitatea de rezistenta depinde inytr-o masura importnata de beton si de rezistenta acestuia, rezistentele de calcul lae betonului la compresiune si la intindere variaza functie de dimensiunile minime ale sectiunii elementelor si de inaltimea de turnare a betonului.
5.2 Cazul I de compresiune excentrica
In domeniul cazului I de compresiune excentrica (N≤NB), inaltimea zonei comprimate a sectiunii satisface conditia x<xb. Pe aceasta baza, metoda simplificata de calcul propune aceeasi distributie de eforturi pe sectiune la starea limita de rezistenta ca si in cazul incovoierii.
In cazul sectiunilor se poate accepta aproximatia x=0,8x.
In fig.1.29a se prezinta distributia eforturilor intr-o sectiune de forma oarecare:

FIGURA 1.29
Se fac notatiile:
Ta=AaTa - efortul de intindere din armaura Aa
Cb - rezultanta eforturilor de compresiune din zona comprimata de beton
Ca=Aaσa - rezultanta eforturilor din zona comprimata, asa cum s-a aratat la paragraful 4
| σa|=Ra daca x ≥ | σa| < Ra daca x <2a (armature comprimata nu ajunge la curgere).
z - distanta de la punctual de aplicatie al fortei Cb la axul armaturii Aa
h1 - distanta de la centrul de greutate al sectiunii la fibra extrema compriamta
Relatiile de echilibrul au forma generala;
N = Cb + Ca Ta
M + N (ho h1) = Cbz + Caha
Membrul stang al ecuatiei se poate scrie si sub forma:
M + N(ho-h1)=Ne
la care: e=eoc + h2 este distanta de la punctual de aplicatie al fortei
excentrice la axa armaturii Aa.
In cazul x < 2a ecuatia de moment in raport cu axul armaturii
comprimate prezinta avantajul ca evita explicarea efortului σa cu valoarea
necunoscuta la armature Aa.
M N(h1 a) = Taha + Cb(ha z) (1.37)
In care termenul al doilea din membrul drept este neglijat in raport cu ceilalti termini ai ecuatiei, datorita dimensiunilor reduse ale zoneo comprimate si valorilor apropiate ale dimensiunilor ha si z.
In cazul particular al sectiunilor dreptunghiulare (fig.1.29c), ecuatiile (1.35), (1.36) si (1.37) devin:
In continuare se prezinta detalierea operatiilor de proiectare numai pentru cazul sectiunilor dreptunghiulare.
(i) VERIFICARE SECTIUNILOR
In practica se intalnesc doua cazuri de determinare a capacitatii de rezistenta si presupune:
- dterminarea momentului capabil cand se cunoaste efortul axial N aplicat in sectiune;
- determinarea fortei axiale capabile cand se cunoaste excentricitaeat cu care se aplica aceasta.
a) Se cunoaste: b,h,Aa,Aa,a, a, N
Necunoscute: Mcap, x
Din ecuatia de proiectie se obtine inaltimea zonei comprimate:

(1.38)
- Daca 2a ≤ x ≤ xb, momentul capabil rezulta din ecuatia (1.36)

(1.39)
- Daca x > xb, se vor aplica relatiile de calcul corespunzatoare cazului II de compresiune excentrica.

(1.40)
- Din valoarea teoretica Mcap stabilita mai sus trebuie scazuta valoarea Nea pentru a tine seama de efectul excentricitatilor aditionale.
b) Se dau: b, h, Aa, Aa, a, a, eo=M/N=ct. (1.30)
Necunoscute: Ncap, x.
- Valoarea x se determina dintr-o ecuatie de moment in raport cu suportul fortei excentrice N, in care intervine numai aceasta necunoscuta.

(1.41)
- Dupa determinarea valorii x, Ncap se obtine din ecuatia de proiectie:
![]()

FIGURA 1.30
(ii) DIMENSIONAREA SECTIUNILOR ( DIMENSIONAREA ARMATURILOR LONGITUDINALE)
In practica proiectarii se intalnesc doua tipuri de probleme; dupa cum armature Aa din zona comprimata este sau nu cunoscuta:
a) Se dau: b, h, a, a, Rc, Ra,
Necunoscute: Ncap, x.
Problema este nedeterminarea deoarece numarul necunoscutelor este mai mare decat numarul ecuatiilor de echilibru.
Se considera o conditie suplimentara: suma cantitatilor de armature (Aa + Aa) sa fie minima, ceea ce corespunde la a considera dezvoltarea maxima a zonei comprimate de beton: x=xb.
- Din ecuatia (1.36) se obtine:

(1.43)
- Cunoscand Aa si x=xb din ecuatia (1.35) rezulta armatura intinsa necesara:

(1.44)
Daca din relatia (1.43) rezulta Aa≤0 sau foarte mica, armature comprimata se allege pe criterii constructive, iar armatura intinsa se calculeaza ca in cazul b).
b) Se dau: b, h, a, a, Aa, Ra, Rc, M, N
Necunoscute: Aa, x
Problema implicadoua ecuatii cu doua necunoscute. Ecuatia de moment (1.36) furnizeaza valoarea singurei necunoscute care apare in aceasta ecuatie:

(1.45)
se obtine:

(1.46)
- Daca x ≥ 2a, armature Aa rezulta din ecuatia (1.35):

- Dca x < 2a dimensionarea armaturii Aa se face pe baza relatiei (1.37):

(1.47)
(iii) CAZUL PARTICULAR AL ARMATURII SIMETRICE
- Daca Aa = Aa, cazu frecvent in practica proiectarii stalpilor, ecuatia de proiectare (1.35) devine:
N = bxRc (1.48)
de unde:

(1.49)
- Ecuatia de moment (1.36) furnizarea necunoscutele corespunzatoare tipului de problema:
a) de verificare:

c) de dimensionare:

- Valorile M si Mcap se corecteaza pentru a tine seama de efectul excentricitatii aditionale.
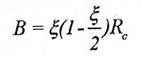
5.3. Cazul II de compresiune excentrica
In domeniul cazului II de compresiune excentrica, inaltimea zonei comprimata x, este mai mare decat xb si deci sectiunea cedeaza prin ruperea betonului comprimat fara ca armature sa ajunga la curgere (σa < Ra). Distributia de deformatii pe sectiuni are una din configuratiile din fig.1.32. Se constata:
a) in ceea ce priveste deformatiile specifice pe sectiune:
- in domeniul xb ≤ x ≤ h, deformatia limita a betonului comprimat este εbu. Se admite x ≈ 0 x (vezi fig.1.14).

FIGURA 1.31
- in domeniul x > h, se poate considera ca deformatia limita a betonului comprimat variza ca in fig.1.8c,d; legea de variatie liniara a valorii εb lim in acest domeniu este caracterizata de faptul ca la distanta de fibra extrema comprimata, εbc = εbo = ct.

b) in ceea ce priveste valoarea efortului unitara din armtura Aa:
- in domeniul xb < x < ho, efortul unitar εa scade de la valaorea Ra( curgere prin intindere) la zero;
- in domeniul ho < x < ∞, effort unitary σa variaza de la zero la valoarea Ra (curgere din compresiune).
c) in ceea ce priveste valoarea eforuylui unitary din armtura Aa
- efortul unitar σa= -Ra (curgere prin compresiune) in tot domeniul compresiunii excentrice cazul II ca urmare a facptului ca la toate armaturile folosite in beton armat este realizata conditia Ra < εboEa.
Rezulta deci distributiile conventionale de eforturi la starea limita de rezistenta in domeniul compresiunii excentrice- cazul II- din fig.1.32. Relatia x = 0 ho este valabila numai pentru conditiile din fig.1.32a, b, d
(x ≤ 0,8 ho).
Valoarea efortului unitar σa se stabileste dupa cum se arata in continuare:
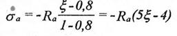
- in domeniul εb ≤ ε ≤ 0,8 pe baza distributiei deformatiilor specifice corespunzatoare ipotezei sectiunilor plane din fig.1.33 rezulta:

(1.52)

FIGURA 1.53
Exprimand valoarea εbu in functie de deformatia specifica de curgere a armaturii, prin intermediul relatiei (1.25), corespunzatoare conditiilor de balans si punand σa=εaEa se ajunge la expresia (1.53) in care valoarea σa aparea ca o fractiune din Ra:
(1.53)

FIGURA 1.33
- in domeniul x > 0,8 se utilizeaza relatia:
σa=-Ra( 5ζ 4 ) (1.54)
- rezulta din ipoteza variatiei liniare a efortului unitary din armature Aa intre valoare 0 pentru x = 0,8 h si Ra pentru x = h (fig.1.34):

Ecuatiile care descriu echilibrul elementului sunt:

(1.55)
In care ecuatia de proiectie este de gradul 2 in x, in cazul aplicarii relatiei (1.52) si de gradul 1, in cazul aplicarii relatiei (1.54).

FIGURA 1.34
In general in cazul solicitarii la compresiune excentrica - cazul II se adopta simetrica, astfel ca relatia (1.55) reprezinta 2 ecuatii cu cate 2 necunoscute din problemele de dimensionare, cat si in cele de verificare: armature Aa si x in cazul dimensionarii, Mcap si x in cazul verificarii.
Pentru a evita rezolvarea sistemului de ecuatii s-au intocmit tabele cu coeficientii pentru calculul direct al armaturii sau al momentului capabil. Parametrii considerati in alcatuirea tabelelor sunt:


In manualul Indrumator pentru calculul si alcatuirea elementelor structurale de beton armat Editura Tehnica 1992, se prezinta tabele de coeficienti pentru calculul la compresiune excentrica. Valorile coeficientilor se refera la intreg domenul compresiunii excentrice ( cazul I si cazul II ).
In fig.135 se prezinta configuratia generale a tabellorl si, prin intermediul sagetilor , modil in care se opereaza in problemele de verificare si respective de dimensionare.

FIGURA 1.34
Astfel in cazul verificarii sectiunilor:
- Se calculeaza valorile n si ά
- Dintabele, functie de ά si n se scoate m
- Mcap = mbh02Rc
- Mcap efectiv = Mcap - Nea
In cazul dimensionarii armaturii:
- Se calculeaza valorile n si m
- In tabele, functie de valorile n si m se gaseste ά si apoi Aa = άbh0Rc/Ra
5.4 Expresia analitica simplificata a curbei de interactiune limita
Se considera cazul sectiunii dreptunghiulare simetric armata.
Ecuatiile de echilibru in domeniul compresiunii excentrice cazul I- sunt:
Acceptam simplificarea h0 = ha care introduce erori neghlijabile daca acoperirea teoretica cu beton a este mica in raport cu inaltimea sectiunii.
Se exprima in forma adimensionala termenii ecuatiilor prin impartirea lor la Ra, in cazul primei ecuatii si la bho2Rc in cazul celei de-a doua. Cu notatiile definite se obtine:
n = ζ (1.56)
m + 0,5n = n(1-o,5n) + ά (1.57)
Rezulta ca in domeniul cazului I de comnpresiune excentrica limitat de valori ale lui n = 0 si n = nB = ζB curba m = f(n) la ruperea elementulii de beton armat se poate aproxima printr-o parabola avand ecuatia (fig.1.36).

FIGURA 1.36
M = -0,5n2 + o,5n + ά (1.57)
in prima derivate a afunciei m se obtine:
dm/dn = - n+ 0,5 (1.58)
derivata ca valoare maxima a momentului se obtine pentru valoarea n = 0,5.
Derivata a doua a momentului: d2m/d2n
= -1 este
Ecuatia (1.57a) mai evidentuiaza si faptul interesant din puncte de vedere practice la un effort constant, variatia Δm a momentului capabil adimensionalizat este egal chiar cu variatia coeficientului mechanic de armare Δά.
Calculele executate cu ajutorul metodei exacte ( metodei generale de calcul ) ca in domeniul cazului II de compresiune excentrica relatia m-n este foarte apropiata de o relatie liniar. Acceptand aceasta ipoteza simplificatoare, curba limita de interactiune este reprezentat prin dreapta:

(1.59)
Care trece prin punctele A ( de coordinate n=no, m=0 ) si B (n=nB si m=mB).
Din fig.1.36 se mai constata ca in conditiile compresiunii centrice variatia cu Δά a coeficientului mechanic de armare conduce cu o variatie in acelasi sens a valorii corespunzatoare Δno = 2Δά. Aceasta observatie impreuna cu cea mentionata anterior referitoare la relatia Δm = Δά a domeniului I de compresiune excentrica sugereaza un procedeu simplu de trasare a curbelor m-n.
5.5. Proprietatile de deformare proelastica ale sectiunilor elementleor solicitate la incovoiere cu sau fara effort axial de compresiune
Proprietatile de deformare proelastica a elementelor structurale prezinta importanta pentru structurile de beton in urmatoarele cazuri:
a) In situatiile in care prin redidtributia eforturilor in structura in raport cu distributia corespunzatoare comportarii elastice liniare se pot obtine solutii mai avantajoase din punct de vedere ethnic si economic. De exmeplu, in cazul grinzii dublu incastrate din fig.1.37a, considerarea unor momente de dimensionare egale cu ql2/16 in camp sip e reazeme, permite poriectarea unor grinzi mai putin inalte decat in situatia ca se iau ca baza pentru dimensionare momentele stabilite orin calulul in domeniul elastic ( in acest caz inaltimea sectiunii grinzii este dictate de momentul maxim ql2/12 din sectiunea de incastrare). Acest mode de dimensionare poate fi acceptat numia daca in articulatiile plastice apar pe reazeme se pot dezvolta rotiri plestice sufficient de mari, faa ca sa intervina ruperea, pentru ca grinda sa mai poata suporta sporirea incarcarilor pana la atingerea momentului capabil in sectiunea din campul grinzii.
In realitate in cazul elemntelor de beton armat nu se potate vorbii de articulatii plastice punctuale ci de zone plastice cu o anumita lungine (lp in fig.1.37b), in care armature este solicitata in domeniul postelastic, iar rotirea in : articulatia plastica reprezinta suma rotirilor plastice ale sectiunilor din zona plastica (ale curburilor specifice, fig.1.37b).
In cazul placii continue din fig.1.37c, adoptarea in deschiderile interioare a unor momente egale in campuri sip e reazeme permite o armare mai rationala si mai usor de executat. Astfel, se evita supradimensionarea armaturilor din camp, care in numeroase situatii, prin dimensionarea la momentele obtinute din calculul in domeniul elastice rezulta sub cele minime constructive, iar alcatuirea armaturii, prin numarul egal de armature in camp sip e reazeme, permite o executie usoara si rapida.
b) In cazul structurilor proiectate pentru a prelua efectul fortelor seismice asigurarea unei capacitate substantiale de deformare postelastica reprezinta un obiectiv essential al proiectarii, deoarece prin deformarea in domeniul postelastic se poate absorbi si disipa p fractiune foarte importanta din energia indusa in structuri de cutremurele foarte puternice (fig.1.38).

FIGURA 1.37
Capacitatea de deformare postelastica a structurii depinde de capacitatea de deformare in domeniul postelastic in sectiunile din zonele plastice ale acesteia.

FIGURA 1.38
In fig.1.39a se prezinta curbele care reprezinta variatia curburii specifice (rotirii sectionale ) la rupere Φc cu valoarea efortului axial de compresiune pentru sectiuni simetrice. In figura s-a adoptat o exprimare adimensionala n Φuho respectiv Φuho. Rotiri plastice Φp = Φu Φc se inregistreaza numai in domeniul cazului I de compresiune excentrica. In fig.139b si c, se prezinta diagramele deformatiilor specifice pe sectiune corespunzatoare celor doua situatii de solicitare.

FIGURA 1.39
La evaluarea caracteristicilor de deformare in domeniul postelastic este necesar sa se considere valorile medii ale rezitentelor otelului Ra si a betonului comprimat Rc, cele mai probabile, si nu valorile de calcul care sunt valori minime probabile.
In stadiul de cedare rotirea sectionala are amrimea (fig 1.39b):
(1.60)

(1.61)
care exprima o variatie hiperbolica a lui Φu cu n daca se tine seama de relatia (1.56)

(1.62)
Rotirea plastica in articulatia plastica dezvoltata intr-un element de beton armat se obtine integrand rotirile specifice (curburile) plastice pe lungimea lp a articulatiei plastice (fig.1.37b):
, unde Φx este curbura plastica (Φx > Φc ) intr-o sectiune x din curba plastica.
Daca se considerea cazul general al armaturii nesimetrice, ianltimea zonei comprimate in momentul ruperii este data de relatia:
![]()
(1.63)
Dupa importanta tuturor termenilor ecuatiei cu bhoRc si explicitnad inaltimea rekativa a zonei ciomprimate se obtine:
xu = n + ά ά (1.64)
si corespindenta relatiei (1.61) devine:

(1.65)
In ceea ce priveste valoarea Φc aceasta se stabileste pe baza distributiei deformatiilor specifice pe sectiune in stadiile de initiere a curgerii in armature Aa:

(1.66)

(1.67)
Inaltimea zonei comprimate de beton se determina pe baza ipotezelor de calcul pentru stadiul 2 de lucru al elementelor de beton armat.
Din fig. 1.39 a se constata ca valorile Φcho variaza foarte putin cu n. Calculele demonstreaza ca se poate accepta valoarea aproximativa
Φcho≈ 3.
Se obisnuieste sa se evalueze capacitatea sectionala de deformare in domeniul postelastic prin intermediul reportului:

(1.68)
numit indice de ductilitate.
Se constata ca valoarea indicelui de ductilitate se poate pune sub forma:

(1.69)
Rezulta ca pentru sporirea ductilitatii ( a capacitatii de deformare in domeniul postelastic) sectiunii exista urmatoarele posibilitatii:
- sa se mareasca dimensiunile sectiunii de beton ( pentru reducerea lui n);
- sa se reduca cantitatea de armature din zona intinsa;
- sa se sporeasca cantitatea de armature din zona comprimata;
- sa se sporeasca capacitatea de deformare a betonului la compresiune; aceasta se poate realize prin prevederea unor armature transversale eficiente.
5.6. Efectul zveltetei la elemente comprimate excentric.
Prin elemente zvelte se inteleg elemente la care efectele de orddinul II ( diferentele intre momentele calculate prin ecjilibru de pozitie deformata a structurii si momentele rezultate dintr-un calcul de ordinal I, determinate pe pozitia nedeformata a structurii) sunt semnificative si nu pot fi neglijate in calcul.

FIGURA 1.40
Pentru un stalp in consola ( incastrat la baza si liber la extremitatea superioara ), ca in fig.1.40., solicitat la compresiune excentrica, momentul incovoietor total la baza este:
- in calculul de ordinal I:
M1 = SH
- in calculul de ordinal II:
MII = M1 + ΔM = SH + Nx (1.70)
Efectul de ordinal II , ΔM = SH este proportional cu valoarea efortului axial si cu sageata, deci cu flexibilitatea ( zveltetea) stalpului. In calcule practice, zveltetea stalpilor din beton armat cu sectiune dreptunghiulara este caracterizata prin coeficientul de zveltete conventional λ= lf/h, unde :
lf= lungimea de flambaj
h= dimensiunea sectiunii transversale dupa directia de actiune a momentului incovoietor.
Incarcand un
stalp de beton armat cu excentricitate

FIGURA 1.41
a) La valorile reduse ale coeficientului de zveltete ≤ 10), efectele de ordinal II sunt practice neglijabile. Curba de incarcare M = f(N) este o dreapta (dreapta (1) in fig.1.41b. Valoarea N corespunzatoare punctului A1, de intersectie a dreptei (1) cu curba limita de interactiune se noteaza Ncap . Stalpii din aceasta categorie sunt denumiti stalpi nezvelti.
b) La valori 10 ≤ λ ≤ 30, relatia M = f(N) se departeaza de la forma liniara ( curba (2) in fig.1.41b. Cu cat λ este mai mare, cu atat efectele de ordinal II sunt mai I portnate si cu cat curba (2) se departeaza mai mult de dreapta (1) intersectand curba limita de interactiune intr-un punct A2, la care corespunde Ncap < Ncap,1.
Trebuie observat ca cedarea intervine tot prin atingerea starii limita de rezistenta si nu prin pierderea stabilitatii. Stalpii din aceasta categorie se denumesc stalpi zvelti.
In cazul stalpilor zvelti trebuie luata in calculul o majorare a momentului incovoietor cu cantitatea ΔM = Nx.
c) La valori λ > 30, cedarea se poate produce prin pierderea stabilitatii (flambaj), forta critica de flambaj putand fia tinsa inainte de atingerea starii limita de rezistenta ( punctual A3 de pe curba (3). Dupa atingerea valorii Ncr, deformatiile cresc nedefinit de mult sub N = ct.
Stalpii din categoria λ > 30 sunt denumiti foarte zvelti si ei sunt de evitatt in constructiilr de beton armat.
Ponderea cu care intervine in calcul influenta zveltetei stalpilor se masoara prin valoarea coeficientului η = MII/MI.
Pentru un stalp izolat dintr-un material ideal-elastic, la care lungimea de flambaj este cunoscuta, coeficientul η se poate calcula cu suficienta exactitiate cu ajutorul formulei Perry-Timoshenko:
(1.71)
unde
(1.72)
Expresia (1.72), riguros valabila numia cand diagramele M1 si ΔM sunt affine, (conditie realizata numai cand incarcarea laterale este distribuita sinusoidal) se poate folosi pentru orice tip de incarcare, conducand la erori fata de rezultatele obtinute printr-un calcul exact.
Trebuie subliniat faptul ca valoarea Ncr2, in situatia stalpilor zvelti
are numai o semnificatie teoretica, neputand fi atinsa (fig.1.41b) si trebuie considerate ca o valoare utilizata intr-o expresie de calcul.
In cazul stalpilor care fac parte dintr-o dtructura , expresia (1.71) devine aproximativa, intrucat notiunea de lungime de flambaj isi pierde semnificatia fizica directa si nu se poate vorbi decat de valori conventionale stabilite prin apreciere.
In functie de ponderea efectelor de ordinal II, respective de marimea prezumata a coeficientului η se recomanda urmatoarelel procedee de calcul pentru stalpii de beton armat:
(i) pentru η < 1,2 se admite sa se efectueze un calcul obisnuit de ordinal I al structurii, iar momentele MI astfel obtinute sa fie majorate cu coeficientii η calculate cu expresia (1.71) in care Ncr se determina cu formula (1.72), adoptandu-se pentru lungimile de flambaj valori appreciate in functie de natura legaturilor stalpilor la extremitati.
(ii) pentru 1,2 < η ≤ 1,5, este necesar sa se efectueze un calcul de ordinal II al structurii, in care se admite sa se considere in mod simplificat pentru fiecare element structural modului de rigiditate EI constant, independent de starea de solicitare.
(iii) cazurile in care η > 1,5 trebuie, in general, evitate. Cand aceasta nu este posibil este necesar un calcul de ordinal II mai aprofundat al structurii, tinand seama si de variatia modului de tigiditate EI in functie de starea de solicitare, luan in considerare deci, atat neliniaritatea geometrica (efectele de ordinal II ), cat sic ea fizica ( EI variabil, tinand seama de fisurarea si deformatiile inelastice ale materialeleor). Un astfel de calcul nu se oiate efectua decat cu ajutorul unor programe adecvate de calcul automat si constituie si un instrument de cercetare pentru fundamentarea ipotezelor admise in primele doua metode.
In ceea ce priveste valoarea modulului de rigiditate utilizat in calcul prin metode (i) si (ii), trebuie observat (fig.1.41b) ca efectele de ordinal II se accentueaza pe amsura ce elemental se apropie de stadiul de cedare. De aceea, EI trebuie introdus cu marimea corespunzatoare stadiului de cedare, pentru care in STAS 10107/0-90 se da expresia:

(1.73)
in care:
Ib = momentul de inertie al sectiunii brute de beton;
Eb = modulul de elasticitate al betonului;
p = preocentul total de armare din sectiunea stalpului;
Mld = momentul incovoietor din incercarile de lunga durata care produc stalpului o deformatie in acelasi sens cu cea determianta pentru efectul de ordinal II;
M = momentul incovoietor total.
In cazurile curente se paote lua: EI≈0 EbIb
Pentru clarificarea definitiei anterioare date termenului Mld sa consideram situatia din fig.1.42, a unei structuri prefabricate pentru o hala industriala parter la care incarcarile verticale transmise stalpilor de grinda principala a acoperisului se aplica excentric. Momentele Reo transmise stalpilor cuprind si fractiuni de lunga durata, dar in virtutea simetriei ele nu conduc la deplasari laterale ale nodurilor si in consecinta deformatia pe care o produc unui stalp difera ca forma de cea generala de fortele orizontale, determinate pentru efectele de ordinul II.

FIGURA 1.42
In fig.7.42 se vede ca in sectiunea de la baza stalpului , unde excentricitatea suplimentara din actiunea incarcarilor orizontale este maxima, cea produsa de momentele M = Reo este nula. Efectul ei se resimte numai in zona mijlocului inaltimii stalpului, unde in schimb momentul din incarcarile orizontale are o valoare mult mai mica. In consecinta, in cazul considerat, momentele datorate excentricitatilor de aplicare ale incarcarilor verticale transmise de grinzile principate nu se includ in Mld ' de la numitorul expresiei (1.73).
In finalul discutiei problemei efectului structural al flexibilitatii stalpilor este important de mentionat si faptul ca in cazul constructiilor asociate la cutremure puternice si la care stalpii participa la preluarea fortelor orizontale seismice, o flexibilitate prea mare a acestor elemente afecteaza in sens defavorabil raspunsul seismic al structurii (pot interveni deplasari mari care antreneaza degradarea puternica a peretilor de umplutura, se pot dezvolta mecanisme structurale de plastificare defavorabile de tip etaj slab, etc.). Asigurarea unei rigiditati suficiente la deplasari laterale a stalpilor este necesara si din aceste motive.
Calculul la starea limita de rezistenta la incovoiere oblicasau
fara efort axial
In cazul general al unui element din beton armat solicitat la efort normal cu excentricitate oblica, intr-o sectiune transversala avand axele principale Ox, Oy fig,7.43a) actioneaza:

FIGURA 1.73
- fortul normal N;
- momentul Mx = Neox, corespunzator componentei dupa directia Ox a excentricitatii oblice eo;
- momentul My = Neoy, corespunzator componentei dupa directia Oy a excentricitatii oblice eo.
Notatiile Mx, My sunt deci corelate cu directiile excentricitatilor eox, eoy si nu cu directiile vectorilor-moment, ceea ce prezinta avantajul practic ca se folosesc aceeasi indici pentru momente si pentru excentricitatile pe care le genereaza.
Armaturile au fost notate ca in fig 1.43b, coresunzator momentelor Mx, My, astfel ca, de exemplu, pentru My = 0, Aax sa reprezinte armarea pentru momentul Mx.
In sistemul de axe N-Mx-My, relatia N Mcap(x)-Ncap(y) se reprezinta printr-o suprafata limita de interactiune ca in fig.1.44a. Intersectiile acestei suprafete cu planele NoMx, NoMy sunt curbele limita de interactiune N-Mcap(x) (cand My= 0), respectiv N Mcap(y) (cand Mx = 0). Unei valori date a efortului normal N ii corespunde planul hasurat din figura, paralel cu planul MxoMy si a carui intersectie cu suprafata limita de interactiune este o curba de forma celei din fig 1.44b.
Metoda de baza pentru calculul la incovoiere oblica, cu sau fara efort axial, asa numita metoda 'exacta', (metoda generala de la 2) se bazeaza pe considerarea simultana a conditiilor statice, geometrice si fizice, exprimate in raport cu axa neutra oblica.

FIGURA 1.44
Calculul pe aceste baze nu poate fi efectuat decat cu ajutorul unor programe de calcul automat sau prin folosirea unor abace obtinute de la date furnizate de utilizarea unor asemenea programe, grupate dupa valorile unor parametri (cum sunt sunt, de exemplu, forma sectiunii si modul de armare), dar care, evident, nu pot acoperi toate cazurile ce intervin in practica.
In proiectarea curenta se admite si utilizarea de procedee simplificate care pot fi abordate cu un calcul manual, dintre care cea mai folosita este asa numita metoda a elipsei.
Aceasta metoda consta in aproximarea curbei de interactiune
Mcap(x)-Mcap(y) pentru N dat (fig.1.44b) printr-o elipsa de gradul β are valori in domeniul 1,3 ≤ β ≤ 2.
In figura 1.44 si in relatia 1.74 s-au facut notatiile:
M = momentul incovoietor capabil, actionand intr-un plan oblic OM, inclinat cuunghiul ω fata de axa Ox a sectiunii;
Mx My = componentele momentului M in planurile Ox, Oy, definite in modul aratat mai inainte;
Mxo = momentul capabil pentru N dat, in situatia My=0;
Myo = idem, in situatia Mx = 0.
Valorile P au fost stabilite pe baza unor ample studii parametrice executate cu ajutorul calculului numeric prin metoda generala si sunt data in tabelul 1.2
Din aceste studii a rezultat ca principalii parametrii de care de care depinde β sunt: nivelul de solicitare axiala, caracterizat prin coeficientul adimensional n= N/bhRc si modul de dispunere a barelor de armatura in sectiune. Procentul de armare are o influenta mult mai redusa. S-au luat ca baza valorile
n = 0.10,8 si trei tipuri de distributie a armaturilor:
- 4 bare dispuse la cele 4 colturi ale sectiunii;
- mai multe bare pe fiecare latura, cu Aax Aay
- mai multe bare pe fiecare latura, cu Aay = (1,52)Aax.
Valorile exponentului β
|
N bhRc |
Modul de dispunere a barelor de armatura |
||
|
A. 4 bare la colturi |
B. > 4 bare la Colturi Aay = Aax |
C. > 4 bare la colturi Aay=( Aax |
|
TABELUL 1.2
Valorile exponentului au fost determinate punandu-se conditia ca pentru 'oblicitatea maxima' a planului de actiune al momentului (corespunzand diagonalei sectiunii) rezultatele calculului dupa metoda elipsei sa coincida cu cele dupa metoda riguroasa (fig.1.45)
In calculele de proiectare intervin doua categorii de probleme si anume verificarea sectiunilor si dimensionarea armaturilor.
In cazul problemei de verificare se cunosc valorile momentelor capabile Mox si Moy corespunzatoare armaturii sectiunii si valorii N a efortului axial de compresiune.

FIGURA 1.45
Sectiunea rezista la actiunea unui moment incovoietor cu componentele Mx si My, efortul axial avand valoarea N, daca este verificata inegalitatea:
(1.75)
in care β are valoarea corespunzatoare intensitatii n= N/bhoRc si modului
de armare ale sectiunii.
In cazul problemei de dimensionare sunt cunoscute sectiunea de beton si valorile eforturilor sectionale N, Mx, My aplicate pe sectiune.
Rezolvarea problemei de dimensionare implica determinarea elipsei care contine punctul de coordonate Mx si My, si ale valorilor Mxo si Myo corespunzatoare. Stabilirea cantitatilor de armatura Ax si Ay rezulta astfel, din dimensionarea la compresiune excentrica dreapta, pentru valorile de momente Mxo si Myo.
Spre deosebire de cazul compresiunii excentrice drepte ( ω= 0° sau
ω = 90° ) in locul unei singure necunoscute, intervin 2necunoscute Aax si Aay. In consecinta, problema devine nedeterminata, fiind posibile o infinitate de solutii, corespunzatoare diferitelor rapoarte intre Aax si Aay cu respectarea conditiilor de procent minim de armare si de alcatuire a armaturii (distante intre bare, acoperire cu beton).
De asemenea, rezultatul calculului este functie si de numarul si pozitia barelor de armatura (uniform distribuite pe laturile sectiunii sau grupate spre colturi, etc).
Pentru ridicarea nedeterminarii si crearea posibilitatii unei dimensionari directe a armaturilor, este deci necesar sa se aleaga de la inceput numarul si dispozitia barelor pe fiecare latura si apoi sa se prestabileasca, fie Aax sau Aay fie Aax/Aay.
Daca oblicitatea planului de actiune a momentului incovoietor este mica (una dintre componentele momentului pe axele principale are o valoare mica), in toate ipotezele de incarcare, se ajunge ca dupa directia respectiva sa rezulte o armare minima constructiva. In acest caz se alege de la inceput armarea dupa acea directie, cu alte cuvinte momentul capabil corespunzator (sa admitem ca acesta este Mox ramanand ca necunoscuta armatura dupa cealalta directie. Aceasta implica dimensionarea la compresiune excentrica dreapta la o valoare a momentului Moy dedusa din relatia (1.75) in care β are valoarea corespunzatoare modului de armare adoptat si valorii n.
In celelalte cazuri devine necesar sa se aleaga valoarea raportului Aax/Aay. Este avantajos ca acest raport sa fie stabilit pornind de la conditia de minimizare a armaturii totale a sectiunii. Daca intervin mai multe ipoteze de incarcare, care pot fi determinante pentru dimensionarea armaturilor, optimizarea se efectueaza in consecinta.
Cu notatiile:

(1.76)
Ecuatia (1.75) devine:

(1.77)
Se expliciteaza moy in fucntie de ceilalti termeni:
(1.78)
Conditia de optimizare ( Aax + Aay)min se pune sub forma:

(1.79)
Se scrie derivata sumei (1.77) in functie de mxo si se anuleaza. Trecand peste detaliile de calcul se obtin urmatoarele solutii:

(1.80)
(1.81)
Valorile kx optim=
(mx / my)optim si ky
optim= (my/myo)optim se dau in
tabelul
in functie de valorile β si mx/my. Practic,
rezolvarea, problemei implica
parcurgerea urmatoarelor etape de calcul:
(i) Se calculeaza n, mx, my cu relatiile (1.76)
(ii) Se alege o distributie preliminara a armaturilor
(iii) Se determina β in functie de n si de dispozitia aleasa pentru armaturidin tabelul 1.2
(iv) Se calculeaza mx / my (mx < my)
(v) Din tabelul 1.3 se scot
marimile kx optim si ky
si β stabilite anterior.
(vi) mxo= mx/kx optim; myo=my/ky optim
(vii) Cu n, mxo se calculeaza armatura Aax necesara ca pentru o sectiune solicitata la compresiune excentrica dreapta (cu excentricitate monoaxiala).
(viii) La fel cu n, myo se calculeaza Aay.
TABEL 1.3
6. Calculul la starea limita de rezistenta al elementelor din beton armat solicitate la intindere excentrica
6A. Consideratii introductive
In structurile de rezistenta ale constructiilor intervin si elemente solicitate la intindere centrica sau la intindere excentrica (incovoiere cu efort axial de intindere). In fig.1.40 sunt date cateva exemple de asemenea situatii. Astfel sectiunile verticale prin peretele cilindric al rezervorului circular din fig.1.40 a sunt solicitate practic la intindere centrica. In cazul peretelui de siloz prismatic din fig.1.40 b, solicitarea este de intindere excentrica, ca si in cazul tirantului arcului din fig.1.40 c sau a unora din barele fermei din fig.1.40 d. In aceste ultime situatii efortul dominant de intindere este insotit si de eforturi de incovoiere care provin din incarcarea corespunzatoare greutatii proprii a acestor elemente si din efectul legaturii rigide a barelor in noduri.
In general tendinta moderna este ca elementele supuse la eforturi de intindere sa fie realizate din beton precomprimat, datorita avantajelor specifice acestui material in ceea ce priveste rigiditatea si gradul de fisurare.
Comportarea la rupere a elementelor solicitate la incovoiere cu efort axial de intindere depinde de excentricitatea eo = M/N a fortei de intindere in raport cu centrul de greutate al sectiunii.
Daca punctul de aplicatie al fortei excentrice este situat la exteriorul annaturilor, in sectiunea de beton se dezvolta o zona activa de beton comprimat si distributia de eforturi pe sectiune este similara cu cea din cazul incovoierii sau al cazului I de compresiune excentrica.
Aceasta situatie de solicitare este denumita intindere excentrica cu excentricitate mare.

FIGURA 1.41
Daca punctul de aplicatie al fortei excentrice este situat intre armaturile dispuse la extremitatile sectiunii, fisurile strabat intreaga sectiune de beton, astfel incat in momentul ruperii sunt active numai armaturile, al caror efort de intindere echilibreaza actiunea exterioara aplicata elementului. Acest tip de solicitare este denumit intindere excentrica cu excentricitate mica.
Referindu-se la curba de interactiune limita din fig.1.41, corespunzatoare cazului sectiunilor isimetrice cu armare simetrica, cele doua domenii de comportare sunt separate de punctul C. Acestuia ii corespunde un efort axial de intindere Nc = AaRa, ca urmare a faptului ca suportul fortei excentrice coincide cu axul armaturii intinse de actiunea momentului incovoietor.
In cazul N < Nc (considerand efortul de intindere pozitiv) in momentul ruperii se dezvolta o zona comprimata de beton. Ruperea intervine fie prin atingerea deformatiei ωbu in fibra extrema comprimata de beton (N < Nq), fie prin atingerea deformatiei βau in armatura intinsa (N > Nq). In calculul cu ajutorul metodei simplificate se admite in intreg domeniul intinderii excentrice cu excentricitate mare sa se considere conditiile de rupere corespunzatoare subdomeniului N < NQ, respectiv conditiile din cazul incovoierii sau al compresiunii excentrice - cazul I. Aceasta ipoteza simplificatoare, desi cu caracter descoperitor ca urmare a considerarii in calcul a unui brat de parghie mai mare decat cel real (fig.1.41), introduce erori neglijabile.
l.2.6.2 Intindere excentrica cu excentricitate mare
Distributia considerata in calcul a eforturilor pe sectiune este cea din fig.1.42. Pentru simplitatea discutiei s-a considerat cazul sectiunilor dreptunghiulare.

FIGURA 1.42
Admitand cazul general al armarii nesimetrice si admitand ca sunt respectate conditiile:
2a' < x < xb
ecuatiile de echilibru ale unui element cu sectiune dreptunghiulara intins excentric cu excentricitate mare sunt:
![]()
(1.82)
![]()
(1.83)
Se constata ca relatiile (1.82) si (1.83) se pot obtine direct din relatiile (1.35)' si (1.36)' corespunzatoare solicitarii de compresiune execentrica - cazul I, schimband semnul fortei N.
Modul practic de rezolvare a problemelor de verificare si de dimensionare coincide cu eel din cazul I de compresiune excentrica si din acest motiv nu se mai detaliaza. De asemenea, daca nu sunt respectate conditiile privind maiimea zonei comprimate, relatiile (1.82) si (1.83) se modifica asa cum s-a aratat pentru cazul I de compresiune excentrica.
6.3. Intindere excentrica cu excentricitate mica
In cazul sectiunilor simetrice si annate simetric sau, mai general, in cazul in care punctul de aplicatie al fortei N de intindere coincide cu centrui de greutate al armaturilor Aa , curba limita de interactiune se prezinta ca in fig.1.41. Starea limita de rezistenta este asociata cu atingerea valorii Ra in armatura Aa, in care momentul incovoietor induce intindere.
Intrucat in momentul ruperii armatura de la cealalta extremitate a sectiunii nu ajunge la curgere, pentru exprimarea echilibrului se utilizeaza o ecuatie de moment in raport cu axul acestei armaturi (fig.1.43):

FIGURA 1.43
(1.84)
sau in cazul sectiunilor simetrice armate simetric:

(1.85)
In fig.1.43, cu h1 si h2 s-au notat distantele la suportul fortei de intindere la fibrele extreme ale sectiunii de beton, iar cu ha distanta interax dintre armaturi.
Daca efortul de intindere N nu se aplica in centrul de greutate al armaturilor Aa' si Aa, atunci curba de interactiune se prezinta ca in fig.1.44 b, daca Aa(h2 - a) > A(h1 - a') sau ca in fig.1.44 b, daca Aa(h2 - a) < Aa'(h1'- a).
Functie de. valorile relative ale efortului de intindere si momentului incovoietor (fig.1.43c) starea limita de rezistenta este asociata fie cu curgerea armaturii Aa, fie cu curgerea armaturii Aa'.
Pentru cazul din fig.1.44a, portiunea rectilinie CD a curbei de interactiune corespunzand curgerii armaturii Aa are ecuatia:
![]()
(1.86)

FIGURA 1.44
iar portiunea rectilinie ED, corespunzator curgerii armaturii Aa' are ecuatia:
![]()
(1.87)
Punctul D de la intersectia celor doua drepte, reprezentand cele doua domenii distincte de comportare, are coordonatele:

Rezulta ca daca diagrama de interactiune are configuratia din fig.1.44a, pentru valori ale fortei de intindere mai mari decat Nb = 2Aa'Ra conditia de rezistenta presupune ca momentul M aplicat sectiunii satisface relatia:

(1.88)
|
Politica de confidentialitate |
| Copyright ©
2025 - Toate drepturile rezervate. Toate documentele au caracter informativ cu scop educational. |
Personaje din literatura |
| Baltagul caracterizarea personajelor |
| Caracterizare Alexandru Lapusneanul |
| Caracterizarea lui Gavilescu |
| Caracterizarea personajelor negative din basmul |
Tehnica si mecanica |
| Cuplaje - definitii. notatii. exemple. repere istorice. |
| Actionare macara |
| Reprezentarea si cotarea filetelor |
Geografie |
| Turismul pe terra |
| Vulcanii Și mediul |
| Padurile pe terra si industrializarea lemnului |
| Termeni si conditii |
| Contact |
| Creeaza si tu |