Calculul la starea limita de rezistenta al elementelor incovoiate
Incovoierea este solicitarea dominanta a elementelor liniare si a elementelor de suprafata plane supuse la incarcari normale pe axa, respective pe planul median. Exemple tipice de elemente incovoiate sunt grinzile si placile planseelor monolite (fig.1.11a) sau prefabricate (fig.1.11b).

Fig.1.11
In transimiterea incarcarilor la reazeme, actiunea momentelor incovoietoare se combina cu cea a fortelor taietoare. In fig.1.12 se reprezinta schematic traiectoriile eforturilor principale, precum si configuratia fisurilor intr-o grinda de beton armat supusa la momente incovoietoare cu forta taietoare.
In zona centrala, fortele taietoare au valori foarte reduse, predominand actiunea momentelor incovoietoare. Pe aceste portiuni, sisurile se dezvolta normal pe axa elementului si nu este necesara deca armature longitudinala.

Fig. 1.12
In zonele dinspre extremitatile grinzii simplu rezemate din fig.1.12 unde fortele taietoare capata valorile maxime de pe grinda, iar valorile momentelor incovoietoare scads pre zero, fisurile sunt iclinate, urmarind traiectoriile eforturilor principale de compresiune. Fisurile sunt produse de actiunea combinata a momentelor cu cea a fortelor taietoare.
Din punct de vedere practice, situatia de solicitare la incovoiere se considera nu numai atunci cand forta axiala de compresiune N este nula, ci sic and valoarea ei este foarte redusa. Se admite astfle in mod acoperitor sa se calculeze la incovoiere si sectiunile la care N ≤ 0,05Na etse valoarea efortului capbil de compresiune corespunzator situatiei de solicitare la compresiune centrica.
In cazul incovoierii trebuie ca pentru a folosi efficient armature Aa.
In metoda simplificata de calcul la S.L.R se considera distributia de eforturi fig.1.13, respectiv:
- pe inaltimea conventionala X a zonei comprimate, eforturile unitare in beton sunt constante si egale cu Rc;
- in armature intinsa Aa, efortul unitary σa este egal cu Ra;
- in armature comprimata Aa', efortul unitary este mai mic sau egal ( in valoare absoluta) cu Ra, dupa cum inaltimea x a zonei comprimate este mai mica sau, respective, egala si mai mare decat 2a'.

Fig.1.13
In legatura cu aceasta distributie de eforturi sunt necesare o serie de precizari:
a) In fig.1.14 se poate constata ca distributia conventinala de eforturi unitare in betonul comprimat reprezinta o aproximare buna a distributiei de eforturi conform metodei generale de calcul, mai riguroase, in cazul sectiunilor dreptunghiulare, introducand erori neinsemnate in ceea ce priveste pozitia rezultantei eforturilor de compresiune. Se poate admite, de asemenea, aproximatia:
x ≈ 0,8x (1.8)
Astfel, pentru sectiunile dreptunghiulare, ca si pentru sectiunile in forma de T cu proportiile intalinite in mod obisnuit in structurile de beton armat, metoda simplificata ofera o precizie cu totul satisfacatoare pentru proiectarea curenta.
b) Plecand de la distributia ε specifica situatiei de balans si tinand seama de relatia (1.8) se poate scrie:
(1.9)
In tabelul 1.1 se dau valorile ζb prevazute in STAS 10107/0-89. Valorile sunt rotunjite si iau in considerare faptul ca εbu este mai mica de 3,5% in cazul unor betoane de clasa ridicata.
Tabel 1.1- Valorile ζb conform STAS 10107/0-90

a) Limita x=2a' sub care se considera |εa| < Ra este aproximativa, o valoare mai precisa putand fi obtinuta pe baza distributiei ε pe sectiune in momentul cedarii conform ipotezei sectiunii plane. Calcule comparative dovedesc insa ca rezultatele caclculelor nu depend semnificativ de valaorea adoptata pentru aceasta limita, care este foarte comoda pentru practia proiectarii.
In cele ce urmeaza se detaliaza modul practice de calcul la incovoiere al elementelor de beton armat cu diferite sectiuni.
A. ELEMENTE CU SECTIUNE DREPTUNGHIULARA SIMPLU ARMATE
In domeniul cedarii,intr-o sectiune normala la axa, eforturile interioare isi fac echilibru cu momentul incovoietor produs de incercarile aplicate pe grinda.
Distributia de acalcul a eforturilor in sectiune este cea precizata anterior (fig.1.15).

Fig.1.15
Se noteaza:
a= distnata de la centrul de greutate al armaturii la maerginea intinsa a sectiunii;
ho=h - a = inaltimea utila a sectiunii;
Conditiile statice sunt:
- ecuatia de proiectie pe axa elementului:
bxRc = AaRa
-ecuatia de moment in raport cu un punct al sectinii; se prefera pentru simplitatea formei ecuatiile de moment in raport cu centrul de greutate al armaturilor intinse sau in raport cu punctual de aplicatie al rezultantei eforturilor de compresiune din beton:
(1.11a)
(1.11b)
Daca se noteaza:
inaltimea relativaa zonei comprimate
coeficientul de armare al sectiunii
Relatiile (1.10), (.1.11a) si (1.11b) devin:
(1.10)'
(1.11a)'
(1.11b)'
In practica de proiectare intervin 2 tipuri de probleme si anume:
- problema de verificare, in care se dau date complete privind alcatuirea sectiunii de beton armat si se cere sa se determine capacitatea de rezistenta (momentul capabil) a sectiunii.
- problema de dimensionare, in care se cunosc eforturile sectionale (incazul incovoierii, momentul incovoietor din sectiunea in care se dace calculul), sectiunea de beton a elementului sau numai unele dimensiuni ale acesteia si se cere determinarea cantitatii necesare de armature si, daca este cazul, a dimesiunilor sectiunii de beton necunoscute.
Rezolvarea se face direct pe baza conditiilor statice ( ecuatiilor de echilibru) in sectiunea considerate sau cu ajutorul unor coeficienti de calcul care permit o sistematizare a operatiilor si o anumita economie de timp de lucru.
I. Calculul bazat pe rezolvarea sistemului ecuatiilor de echilibru.
(i) VERIFICARE:
Se cunosc: b,h,a,ho,Ao,Rc,Ra
Necunoscute: x,Mcap
Pentru determinarea celor doua necunoscute se dispune de doua
ecuatii, astfel ca problema este determinate. Intrucat ecuatia de proiectie contine o singura necunoscuta (x), iar ecuatia de momente doua, ordinea fireasca a operatiilor este:
se determina x din ecuatia de proiectie:
(1.12)
introducand valoarea x in ecuati de momente rezulta Mcap:

(1.13)
(ii) DIMENSIONARE:
Pot intervene doua tiouri de probleme si anume:
a) Se cunosc: b,h,Rc,Ra,M. Se apreciaza a s, respective ho
Necunoscute: x,Aa
Se procedeaza dupa cum urmeaza:
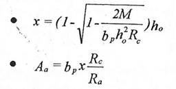
- din relatia (1.11a), euctie de dradul doi in x, rezulta:

(1.14)
cantitatea de armature necesara se obtine din ecuatia (1.10) sau (1.11b):

b) Se cunosc: b, Rc,Ra,M
Necunoscute: h,(ho),x,Aa
Problema implica 3 necunoscute pentru numai doua ecuatii de echilibru. Pentru a obtine o solutie trebuie aleasa valoarea uneia din necunoscute sau raportul dintre doua necunoscute.
In practica se allege pe criterii economice coeficientul de armare, respective raportul dintre aria sectiunii de armatura sic ea a sectiunii de beton.
Ordinea operatiilor este urmatoarea:
- se allege ceoeficientul de armare:

- se determina

- din relatia (1.11a)' se obtine inaltimea utila necesara a sectiunii:

(1.15)
- se stabileste inaltimea sectiunii h=ho + a, valoare care se rotunjeste la multiplu de 1 cm, in cazul placilor si la multiplu de 5 cm, in cazul grinzilor obisnuite.
- daca prin rotunjire inaltimea utila este sufficient de apropiata de valoarea rezultata din calcul ( din relatia 1.15), aria de armature se determina cu una din relatiile:

- daca diferenta intre cele doua valori este mai mare se recurge la schema a), considerand valoarea efectiva ho a sectiunii alese.
II. Calculul practice cu ajutorul tabelelor:
Se introduce relatiile:

(1.16)


Daca valorile lui x, respective dand valori coeficientului de armare μ pentru o anumita clasa de beton (respective pentru o anumita valoare Rc) si o anumita marca de otel ( pentru un anumit Ra) se pot determina valorile B,r,μ care se intabuleaza. Se prefera intabularea in raport cu parametrul p= 100μ, procentul de armare.
Cu notatiile (1.16), (1.17), (1.18) relatiile de moment se pot scrie intr-una din tabele:

(1.11a)"
![]()
(1.11b)"
Rezolvarea problemelor de verificare, respective, de dimnesionare cu ajutorul B,r,γ implica urmatoarele operatii:
(i) VERIFICARE:
- se calculeaza p = 100 μ = 100Aa/bho
- din tabela corespunzatoare valorilor Rc si Rc date se scot valorile coeficientilor B sau γ in functie de p%
- se calculeaza momentul capabil cu una din relatiile:
Mcap = Bbho2
sau
Mcap = AaRaγho
(ii) DIMENSIONARE:
- se calculeaza

- din tabele se pot scoate valorile p sau γ in fucntie de B

- se allege o valoare pozitiva ( in domeniul economic pentru tiipul de element care se dimensioneaza)
- din tabele se scoate valoarea r funcite de o
- se calculeaza valoarea necesara a inaltinmii utile a sectiunii
- se determina inaltimea h a sectiunii h = ho + a
- se rotunjeste valoarea h, corespunzatoare tipului de element.
- pentru determinarea cantitatii de armatura intinsa necesara Aa, se procedeaza dupa cum s-a aratat anterior in cazul aplicarii calculului bazat pe rezolvarea ecuatiilor de echilibru.
Observatii:
1. Cantitatea de armature prevazuta in elementelr solicitatea la incovoiere trebuie sa fie superioara cantitatii minime definite in cap4 sau, altfel exprimat, preocentul armaturii intinse trebuie sa fie superior procentului minim de armare. In caz contrar, dupa fisurarea betonului intins, armature nu poate prelua suplimentul de effort rezultata din iesirea din lucru a betonului intins si elemental se rupe practice ca un element din beton simplu. Valoarea coeficientului minim de armare μmin (sau a procentului minim pmin = 100 μmin, se obtine conditia Mcap > Mf ( Mf = momentul de fisurare ) si este precizata in tabele de coeficienti pentru calculul sectiunilor.
2. Dca sectiunea de armature depaseste o anumita valoarea, inaltimea zonei comprimate x >xb si Aa nu mai ajunge la curgere.
Peste limita corespunzatoare a procentului de armare maxim :

(1.20)
Capacitatea de rezistenta (momentul capabil) a sectiunii nu mai creste practice oricat de mult armature s-ar prevedea. Aceasta concluzie este confirmata de rezultatele obtinute prin aplicarea metodei generale de calcul. Momentul capabil al elementelor incovoiate cu sectiune dreptunghiulara simplu armat este:
(1.21)
De exemplu pentru cazul curent xb = 0.55ho, rezulta :
Mmax = 0,4bho2Rc
Procentele maxime de armare pmax sunt indicate, de asemenea, in tabele de coeficienti.
3. Din analiza expresiei momentului capabil:

rezulta ca:
- modul cel mai efficient de a spori Mcap este cresterea inaltimii sectiunii (creste si ho si γ );
- factori importanti ai valorii momentului capabil sunt Aa si Ra ( la cresterea lor γ scade foarte putin);
- prin cresterea latimii sectiunilor b si a calitatii betonului se obtin cresteri putin inseminate ale momentului capabil (creste putin γ ).
B. ELEMENTE CU SECTIUNE DREPTUNGIULARA DUBLU ARMATE
In constructii exista numeroase elemente incovoiate la care apare necesitatea prevederii unor armature in zona comprimata.
In unele cazuri, din considerente arhitecturale sau functionale, inaltimea sectiunilor grinzilor este limita. Daca valoarea maxima a momentului aplicat grinzii depaseste valoarea momentul maxim a grinzii simplu armate ( M > Mmax = 0,4bho2Rc in cazul betoanelor si otelurilor obisnuite ) este necesatra intatrirea zonei comprimate prin armature.
Asemenea solutii se admit numai in situatii de stricta necessitate, grinzile cu sectiuni cu inaltime mica dublu armate reziltand neeconomicoase in comparative cu grinzile simplu armate cu ianltime mai mare, datorita consumului sporit de otel.
In alte cazuri, posibilitatea aparitiei de momente incovoietoare de semen contrare in aceeasi sectiune reclama prevederea de armature atat la partea partea superioara (necesara in situatia aplicarii unui moment negative, fig.1.16.a cat si la partea inferioara (necesara pentru situatia cand in sectiune actioneaza un moment pozitiv, fig.1.16.b.

Distributia admisa in calcul a eforturilor unitare in sectiune este cea din fig.1.13.
Echilibrul elementului se exprima prin doua ecuatii, in mod obisnuit ecuatia de proiectie pe axa elementului si o ecuatie de moment, de regula, in raport cu axa orizontala ce trece prin centrul de greutate al armaturilor din zona intinsa.
Ecuatiile pot capata forme diferite dupa cum armaturile ajung sau nu la curgere.
Conditia ca armature intinsa sa ajunga la curgere (εa > εap ) este:
Conditia ca armature din zona comprimata sa ajunga la curgere
( | εa' | ≥ εap ) este :
Dca aceste doua conditii sunt indeplinite cele doua ecuatii de echilibru capata forma:
(1.22)
(1.23)
S-a notat : ha = ho - a', distanta dintre centrele de greutate ale celor doua armature.
Momentul incovoietor aplicat sectiunii dublu armate se poate considera ca este echilibrat de cuplul M1 al eforturilor din armature comprimata Aa' si dintr-o sectiune egala (Aa1 = Aa' ) din armature intinsa de momentul capabil M2 al unei sectiuni simplu armate cu armature intinsa
Aa2 = Aa - Aa1 ( fig.1.17).

FIGURA 1.17
Cu notatiile:

Cele doua ecuatii se pot scrie in forma urmatoare:

(1.22)'
relatii care care se pot servi la rezolvarea problemelor de dimensionare si verificare cu ajutorul coeficientilor intabulati.
Daca x < 2a', atunci | σa'| < Ra. Pentru a evita determinarea efortului unitary din armature comprimata, echilibrul se exprima printr-o ecuatie de moment in raport cu centrul de greutatea al acestei armature.

(1.25)
Termenul al doilea din membrul dreapt al ecuatiei se poate neglija, fiind neinsemnat fata de primul termen. Aproximarea are un character acoperitor.
In continuare se prezinta modul current de rezolvare a problemelor de dimensionare si verificare a sectiunilor elementelor incovoiate cu sectiune dreptunghiulara dublu armata.
Se detaliaza numai calculul bazat pe rezolvarea directa a sistemului ecuatiilor de echilibru:
(i) VERIFICARE:
Se cunosc: b,h,Aa',a,a',Rc,Ra
Necunoscute: Mcap,x
Succesiunea operatiilor este:
- din ecuatia de proiectie (1.22):

- fucntie de valoarea lui x astfel obtinuta, valoarea momentului capabil al sectiunii rezulta:

(ii) DIMENSIONARE:
Pot aparea doua tipuri de probleme functie de numarul marimilor necunoscute care trebuie determinate:
a) Se cunosc: b, h, a, a', Rc, Ra
Necunoscute: Aa, Aa', x
Pentru determinarea celor 3 necunoscute se dispune numai de 2 ecuatii (problema este nedeternimata, fiind necesara o relatie suplimentara. Dintre cu alcatuire mixta).
Pentru determinarea celor 3 necunoscute se dispune numai de 2 ecuatii (problema este nedeternimata, fiind necesara o relatie suplimentara. Dintre solutiile posibile se allege cea mai economica, respective cea care duce la consumul minim de otel,a dica solutia la care corespunde ( Aa + Aa')min.
Pentru aceasta, capacitatea betonului de a prelua compresiuni trebuie exploatarea la minimum. Se allege x = xb.
Succesiunea operatiilor este urmatoarea:

Daca M < M2max se alege Aa' pe criterii constructive si in continuare calculul se conducea ca in cazul b).
b) Se cunosc: b, h, a, a', Aa', Rc, Ra, M
Necunoscute: Aa, x
Se verifica daca armatura comprimata Aa'ajunge la curgere. Pentru aceasta se calculeaza momentul capabil corespunzator situatiei x = 2a'
Ma = 2baRc(ho - a') + Aa'Raha
rezulta ca daca:
M ≥ Ma, x ≥ 2a' si | σa'| = Ra
M < Ma, x < 2a'| σa'| < Ra
in cazul x ≥ 2a' succesiunea operatiilor este urmatoarea:
M1 = AaRaha
M2 = M - M1 ≤ M2max (Daca M2 > M2max ,armature Aa' este insuficienta si calculul se conduce ca pentru cazul a).


In cazul x < 2a', armature intinsa necesara rezulta din relatia:

C. ELEMENTE CU SECTIUNE IN FORMA DE "T"
In costructiile de beton armat intervin deseori elemente incovoiate avand sectiunea in forma de "T". Cateva exemple se pot urmari in fig.1.18.
In cazul grinzii planseului monolit din fig.1.18a si b, forma T a sectiunii a rezultat din conlucrarea placii cu gringa ca uramre a turnarii impreuna a celor doua elemente. In zaul grinzii planseului prefabricat (fig.1.18c), forma de T a rezultat ca urmare a necesitatii realizarii la partea superioara a unei dimensiuni suficiente pentru rezemarea placilor prefabricate si spatiului pentru monolitizarea acestora.
Chesoanele din fig.1.18d sau elementele Π din fig.1.18 se pot echivala pentru calcul toto cu sectiuni T.
FIGURA 1.18

Din punct de vedere a; calculului , forma sectiunii este dictate de forma zonei comprimate a sectiunii, betonului din zona intinsa fiind iesit din lucru prin fisurare.
Astfel grinda din fig.1.19a va fi considerate ca o grinda cu sectiune T in zonele cu momente positive (fig.1.19b), dar in zonele cu momente negative (care produc intindere in talpa) sectiunea de calcul are forma dreptunghiulara cu latimea egala cunlatimea b a grinzii 9fig.1.19c).

FIGURA 1.19
LATIMEA ACTIVA A PLACII
In cazul in care talpa grinzii este foarte dezvoltata ea nu participa in intregime la preluarea eforturilor din incovoierea grinzii, latimea active de conlucrare a talpii cu inima reprezentand numai o fractiune dinnlatimea reala.
Latimea active depinde de urmatorii factori:
proportia zonelor in care placa grinzii se afla in zona comprimata, in raport cu deschiderea (fig.1.20);

FIGURA 1.20
- raportul intre grosimea placii si inaltimea inimii hp/h; daca acest raport este mic eforturile unitare tangentiale τ si implicit eforturile unitare principale de intindere pot capata valori importnate care conduc la o fisurare accentuate a talpii si iesirea partiala din lucru a acesteia (fig.1.21a).
Eforturile unitare σ nu sunt uniform distribuite in talpa, avand valori, in general, mai reduse cu cat distanta fata de axul grinzii este mai mare. Pentru simplificarea calculelor, in mod conventional eforturile se considera constante in momentul ruperii, cu valoarea Rc avand o latime echivalenta bp (fig.1.21b).

FIGURA 1.21
Prescriptiile romanesti stabilesc ca latimea active bp a placii la
sectiuni cu talpa in zona comprimata in calculul la S.L.R. sa se determine pe baza conditiilor:

Lungimea lc in care talpa se afla in zona comprimata se stabileste
conform fig.1.20.
In cazul grinzikor cu placi in consola (cum sunt grinzile prefabricate care nu fac parte dintr-un planseu) se vor respecta si conditiile:

RELATII DE CALCUL:
Se admite, conform ipotezelor generale adoptate in metoda simplificata de calcul, ca in momentul cedarii distributia eforturilor in sectiune este cea din fig.1.22, unde se indica si notatiile ce se vor folosi in continuare.

FIGURA 1.22
Echilibrul elementului se exprima printr-o ecuatie de proiectie pe axa elementului si o ecuatie de momente in raport cu centrul de greutate al armaturilor intinse.

S-a considerat cazul general cand axa neutral se afla sub marginea inferioara a placii.
Efortul unitary in armature se poate considera egal cu Ra numia daca este respectata conditia:
x ≤ xb
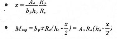
Operatiile de calcul se pot interpreta mai usor daca se face descompunerea indicate in fig.1.23.
Relatiile de echivalenta intre sectiunea reala (fig.1.23a) si cele doua sectiuni care rezulta din aceasta descompunere (fi.1.23b si c) sunt:
Aa = Aa1 + Aa2 (1.28)
M = M1 + M2 (1.29)
Ecuatiile de echilibru corespunzatoare situatiei din fig.1.23b sunt:
(1.28a)
(1.29a)

FIGURA 1.23
Iar pentru sectiunea simplu armata din fig.1.23c:
(1.28b)

(1.29b)
Prin insumarea termenilor ecuatiilor (1.28a), (1.28b) si (1.29a), (1.29b) se obtin relatiile de echilibru (1.28) si (1.29).
Identificarea conditiilor in care cedeaza sectiunea ( x≤hp sau x>hp) se face in felul urmator:
a) Probleme de verificare
Se calculeaza aria sectiunii de armature Aap care poate echilibra eforturile de compresiune pentru cazul limita x = hp.

(1.30)
si se compara aceasta valoare cu aria Aa a sectiunii de armature prevazuta efectiv in sectiune. Pot intervene trei cazuri.
Daca: Aa=Aap rezulta ca x=hp
Aa>Aap rezulta ca x>hp
Aa<Aap rezulta ca x<hp

FIGURA 1.24
c) Probleme de dimensionare
Se determina momentul capabil Mp al sectiunii corespunzator situatiei in care x=hp.

(1.31)
care se compara cu momentul de calcul M al sectiunii.
Daca: Mp=M rezulta ca x=hp
Mp<M rezulta ca x>hp
Mp>M rezulta ca x<hp
Calculul practice in proiectare implica succesiunea de operatii indicate in contiuare. S-a detaliat numia calculul bazat pe rezolvarea directa a ecuatiilor de echilibru.
(i) VERIFICARE:
Se cunosc: b, h, hp, a, Aa, Ra, Rc
Necunoscute: Mcap, x
a) Cazul x ≤ hp
Rezolvarea se efectueaza ca pentru sectiuni dreptunghiulare simplu armate (vezi 1.24a):

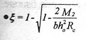
b) Czul x > hp
Mcap=M1+M2cap

unde:

(ii) DIMENSIONARE:
Se cunosc: b, h, hp, a, Rc, Ra, M
Necunoscute: Aa, x
a) Cazul x ≤ hp
Calculul se efectueaza ca pentru o sectiune dreptunghiulara cu latimea bp. Din ecuatia de momente se obtine

b) Cazul x > hp

Valoarea armaturii Aa2 se determina rezolvand o sectiune dreptunghiulara cu latimea b simplu armata supusa la un moment incovoietor:

Astfel se determina:


|
Politica de confidentialitate |
| Copyright ©
2025 - Toate drepturile rezervate. Toate documentele au caracter informativ cu scop educational. |
Personaje din literatura |
| Baltagul – caracterizarea personajelor |
| Caracterizare Alexandru Lapusneanul |
| Caracterizarea lui Gavilescu |
| Caracterizarea personajelor negative din basmul |
Tehnica si mecanica |
| Cuplaje - definitii. notatii. exemple. repere istorice. |
| Actionare macara |
| Reprezentarea si cotarea filetelor |
Geografie |
| Turismul pe terra |
| Vulcanii Și mediul |
| Padurile pe terra si industrializarea lemnului |
| Termeni si conditii |
| Contact |
| Creeaza si tu |