Aplicatii circuite electrice de curent continuu
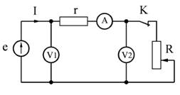
Se realizeaza montajul din fig.5.
1.1) Se modifica rezistenta reostatului R de la valoarea zero (scurtcircuit) pana la infinit (linie in gol) si se urmaresc variatiile parametrilor electrici (atentie pentru domeniul de curenti in jurul valorii Isc/2).
1.2) Rezultatele obtinute se inscriu in tabelul 1, dupa care se executa reprezentarea lor grafica.
|
Tabelul 1 |
|||||||
|
Nr. crt. |
I A] |
e [V] |
U2 [V] |
r I [V] |
Pd W] |
Pc W] | |
Fig.5.
Se rezolva (algebric), aplicand legile lui Kirchoff, circuitul din fig.6.
Se realizeaza schema din fig.3. Se verifica rel.(10) atribuind diverse valori pentru R1 , a si Rs. Rezultatele masuratorilor se inscriu in tabelul 2.
Se realizeaza schema din fig.7.
4.1) Cu comutatoarele K1, K2 pe pozitiile I se verifica legarea in paralel a generatoarelor de tensiune e1 si e2, considerand R1 si R2 drept rezistente interne ale acestora, iar R3, rezistenta sarcinii. Se adopta valorile:
e1 = 5V ; e2 = 6V ; R1= 1Ω ; R2= 2Ω ; R3 = 3Ω. Calculele se vor efectua conform rel. (14).
4.2) Cu comutatoarele K1, K2 conectate succesiv pe pozitiile I si II se verifica teorema suprapunerii efectelor. Rezultatele masuratorilor se inscriu in tabelul 3 si se vor compara cu valorile calculate la pct. 3.1.
Semnificatiile notatiilor:
I1(I), I2(I), I3(I) - valori masurate pentru pozitiile comutatoarelor K1, K2 figurate in schema;
I1(II), I2(II), I3(II) - valori masurate pentru pozitiile inverse ale comutatoarelor K1, K2;
I1=I1(I)+
I1(II)
I2=I2(I)+ I2(II) ; I3=I3(I)+
I3(II) ;
I1',I2',I3' - curenti calculati cu rel.(14), pentru valori reale ale parametrilor circuitului.
Fig.6 Fig.7
|
Tabelul 3 |
||||||||||||
|
Nr. crt. |
I1(I) A] |
I2(I) A] |
I3(I) A] |
I1(II) A] |
I2(II) A] |
I3(II) A] |
I1 A] |
I2 A] |
I3 A] |
I1' A] |
I2' A] |
I3' A] |
|
Tabelul 2 |
|||||
|
Nr. crt. |
U1 V] |
R1 V |
a |
RS V |
U2 V] |
|
Politica de confidentialitate |
| Copyright ©
2025 - Toate drepturile rezervate. Toate documentele au caracter informativ cu scop educational. |
Personaje din literatura |
| Baltagul – caracterizarea personajelor |
| Caracterizare Alexandru Lapusneanul |
| Caracterizarea lui Gavilescu |
| Caracterizarea personajelor negative din basmul |
Tehnica si mecanica |
| Cuplaje - definitii. notatii. exemple. repere istorice. |
| Actionare macara |
| Reprezentarea si cotarea filetelor |
Geografie |
| Turismul pe terra |
| Vulcanii Și mediul |
| Padurile pe terra si industrializarea lemnului |
| Termeni si conditii |
| Contact |
| Creeaza si tu |