Circuite serie simple
Sa incepem cu un circuit electric format dintr-o baterie si trei rezistori:

Primul principiu pe care trebuie sa-l intelegem legat de circuitele serie este pastrarea constanta a valorii curentului in intreg circuitul, si prin urmare, prin fiecare component (prin fiecare component va trece aceeasi cantitate de curent electric). Acest lucru se datoreaza existentei unei singure cai pentru trecerea electronilor, iar daca privim circuitul ca un tub cu margele, putem intelege de ce rata de deplasare a margelelor trebuie sa fie aceeasi in orice punct al tubului (circuitului).
Dupa modul in care este asezata bateria de 9 volti in circuit, ne putem da seama ca deplasarea electronilor se va realiza in sens invers acelor de ceasornic (atentie, folosim sensul real de deplasare al electronilor in circuit), de la punctul 4 la 3, 2, 1 si inapoi la 4. Totusi, avem o singura sursa de tensiune si trei rezistori. Cum putem aplica legea lui Ohm in acest caz?

Un principiu important de tinut minte legat de legea lui Ohm, este relatia dintre tensiune, curent si a rezistenta intre aceleasi doua puncte din circuit. De exemplu, in cazul unei singure baterii si a unui singur rezistor in circuit, putem calcula foarte usor valorile curentului, pentru ca acestea se refera la aceleasi doua puncte din circuit.

Din moment ce punctele 1 si 2 sunt conectate impreuna printr-un fir de o rezistenta neglijabila (la fel si punctele 3 si 4), putem spune ca punctele 1 si 2 sunt comune, precum si ca punctele 3 si 4 sunt comune intre ele. De asemenea, stim faptul ca avem o tensiune de 9 volti intre punctele 1 si 4 (direct asupra bateriei), si pentru ca punctele 1 si 2 cu punctele 3 si 4 sunt comune, trebuie de asemenea sa avem tot 9 volti intre punctele 2 si 3 (direct asupra rezistorului).
Prin urmare, putem aplica legea lui Ohm (I=E/R) asupra curentului prin rezistor, pentru ca stim tensiunea (E) la bornele rezistorului precum si rezistenta acestuia. Toti termenii (E, I, R) se aplica in cazul acelorasi doua puncte din circuit, asupra aceluiasi rezistor, prin urmare putem folosi legea lui Ohm fara nicio problema.

Totusi, in circuitele ce contin mai mult de un singur rezistor, trebuie sa fim atenti cum aplicam legea lui Ohm. In exemplul de sus, cu trei rezistori in circuit, stim ca avem 9 volti intre punctele 1 si 4, valoarea reprezentand forta electromotoare disponibila pentru impingerea electronilor prin conexiunea serie realizata din rezistorii R1,R2 si R3. Nu putem insa imparti cei 9 volti la 3kΩ, 10kΩ sau 5kΩ pentru a gasi valoarea curentului, pentru ca nu cunoastem de fapt valoarea tensiunii pe fiecare din rezistori in parte, ci cunoastem valoarea tensiunii pe intreg ansamblul de rezistori.
Valoarea de 9 volti reprezinta o cantitate totala a circuitului, pe cand valorile de 3kΩ, 10kΩ si 5kΩ, reprezinta cantitati individuale. Daca ar fi sa folosim in cadrul legii lui Ohm o valoare totala (tensiunea in acest caz) concomitent cu o valoare individuala (rezistenta in acest caz), rezultatul nu va fi acelasi pe care il vom regasi intr-un circuit real.
In cazul lui R1, legea lui Ohm se va folosi specificand tensiunea si curentul la bornele rezistorului R1, si valoarea rezistentei lui, 3kΩ

Dar din moment ce nu cunoastem tensiunea la bornele lui R1 (doar tensiunea totala pe toti cei trei rezistori conectati in serie), si nu cunoastem nici curentul prin R1 (curentul prin intreg circuitul de fapt, deci si prin ceilalti doi rezistori), nu putem realiza niciun calcul cu niciuna dintre formule. Acelasi lucru este valabil si pentru R2 si R3.
Prin urmare, ce putem face? Daca am cunoaste valoarea totala a rezistentei din circuit, atunci am putea calcula valoarea totala a curentului pentru cantitatea totala a tensiunii (I=E / R).
Cu aceasta observatie putem enunta al doilea principiu al circuitelor serie: in oricare circuit serie, rezistenta totala a circuitului este egala cu suma rezistentelor individuale a fiecarui rezistor, prin urmare, cu cat avem mai multe rezistente in circuit, cu atat mai greu le va fi electronilor sa se deplaseze prin circuit:
![]()
In exemplul nostru, avem trei rezistori in serie, de 3 kΩ, 10 kΩ, respectiv 5 kΩ, ceea ce rezulta intr-o rezistenta totala de 18Ω:
![]()

Ceea ce am facut de fapt, a fost sa calculam rezistenta echivalenta a rezistorilor de 3 kΩ, 10 kΩ si 5 kΩ luati impreuna. Cunoscand acest lucru, putem redesena circuitul cu un singur rezistor echivalent reprezentand combinatia serie a celor trei rezistori R1, R2 si R3.
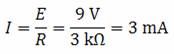
Acum avem toate informatiile necesare pentru calcularea curentului prin circuit, deoarece avem tensiunea intre punctele 1 si 4 (9 volti), precum si rezistenta intre punctele 1 si 4 (18kΩ):


Cunoscand faptul ca prin fiecare component curentul este acelasi (circuit serie), si cunoscand valoarea curentului total in cazul de fata, putem reveni la circuitul initial pentru a nota valoarea curentului prin fiecare component in parte.
Intrucat valoarea curentului prin fiecare rezistor este acum cunoscuta, putem folosi legea lui Ohm pentru determinarea caderilor de tensiune pe fiecare component in parte:

Putem observa caderea de tensiune pe fiecare rezistor in parte si faptul ca suma acestor caderi de tensiune (1.5 V + 5 V + 2.5 V) este egala cu tensiunea la bornele bateriei, 9 V. Acesta reprezinta al treilea principiu al circuitelor serie: tensiune electromotoare (a bateriei) este egala cu suma caderilor de tensiune pe fiecare component in parte:
![]()
Circuitele serie sunt folosite ca si divizoare de tensiune.
|
Politica de confidentialitate |
| Copyright ©
2026 - Toate drepturile rezervate. Toate documentele au caracter informativ cu scop educational. |
Personaje din literatura |
| Baltagul – caracterizarea personajelor |
| Caracterizare Alexandru Lapusneanul |
| Caracterizarea lui Gavilescu |
| Caracterizarea personajelor negative din basmul |
Tehnica si mecanica |
| Cuplaje - definitii. notatii. exemple. repere istorice. |
| Actionare macara |
| Reprezentarea si cotarea filetelor |
Geografie |
| Turismul pe terra |
| Vulcanii Și mediul |
| Padurile pe terra si industrializarea lemnului |
| Termeni si conditii |
| Contact |
| Creeaza si tu |