ORGANE DE MASINI - CUPLAJE MECANICE, CUPLAJE PERMANENTE MOBILE ELASTICE
CUPLAJE MECANICE
Definire
Cuplajele mecanice sunt subansamble de masini care realizeaza legatura intermitenta intre doua elemente ale unei transmisii in scopul transmiterii miscarii de rotatie si a momentului de torsiune fara a se modifica legea de miscare.
Functii secundare
compensarea abaterilor de pozitie (axiale, radiale, unghiulare si combinate) a elementelor legate datorita erorilor de executie si/sau montaj.
protectia impotriva socurilor si vibratiilor
intreruperea legaturii intre cele doua elemente
limitarea sarcinii transmise
limitarea turatiei
limitarea sensului de transmitere a sarcinii
Clasificarea cuplajelor
| 
   Cuplaje mecanice  | 
  
   Permanente  | 
  
   Fixe  | 
  
    | 
  
    | 
 ||
| 
   Mobile  | 
  
   Rigide  | 
  
   Compensare axiala  | 
 ||||
| 
   Compensare radiala  | 
 ||||||
| 
   Compensare unghiulara  | 
 ||||||
| 
   Compensare combinata  | 
 ||||||
| 
   Elastice  | 
  
   Cu element elastic metalic  | 
 |||||
| 
   Cu element elastic nemetalic  | 
 ||||||
| 
   Intermitente  | 
  
   Comandate (ambreiaje)  | 
  
   Comanda mecanica  | 
  
    | 
 |||
| 
   Comanda hidrostatica  | 
  
    | 
 |||||
| 
   Comandata pneumatica  | 
  
    | 
 |||||
| 
   Comanda electromagnetica  | 
  
    | 
 |||||
| 
   Automate  | 
  
   Limitatoare de sarcina  | 
  
    | 
 ||||
| 
   Limitatoare de turatie  | 
  
    | 
 |||||
| 
   Limitatoare de sens  | 
  
    | 
 |||||
Sarcina de calcul

a – socul inertial de pornire
b - trecerea prin zona de rezonanta
c- functionarea in regim continuu
d – socul inertial la oprire

![]()
Ks – factor de siguranta determinat experimental care depinde de tipul masinii motoare si de regimul de functionare al masinii antrenate de importanta transmisiei etc.
Cuplaje permanente fixe
Cuplajul manson monobloc cu stifturi

Cuplajul manson monobloc cu pene paralele

Cuplajul manson monobloc prin caneluri

Cuplajul cu flanse cu suruburi montate cu joc

Obs. Transmiterea momentului de torsiune se face prin frecare


Cuplajul cu flanse cu suruburi montate fara joc

Obs. Transmiterea momentului de torsiune se face prin forma
Cuplaje permanente mobile rigide
| 
   Tipuri de abateri  | 
 ||||
| 
   combinate  | 
  
   unghiulare  | 
  
   radiale  | 
  
   axiale  | 
  
   fara abateri  | 
 
| 
   
  | 
 ||||
Cuplaje axiale (pentru compensarea abaterilor axiale)

Cuplaje transversale (pentru compensarea abaterilor radiale)


Cuplaje unghiulare (pentru compensarea abaterilor unghiulare)




Cuplaje pentru compensarea abaterilor combinate

Cuplaje permanente mobile elastice
1Cuplaje elastice cu elemente intermediare nemetalice
Cuplaje elastice cu bolturi


Verificarea mansonului la strivire

Verificarea boltului la incovoiere

Cuplaje elastice de tip Periflex (cu bandaj din cauciuc)



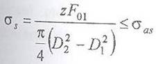
Verificarea bandajului la strivire

Verificarea bandajului la forfecare

.2. Cuplaje elastice cu elemente intermediare metalice
Cuplaj elastic cu arc serpuit (Bibby) de tip Periflex (cu bandaj din cauciuc

Cuplajul Forst

Caracteristicile cuplajelor elastice

Cuplaje intermitente
.1 Cuplaje intermitente comandate (ambreiaje)

2 Cuplaje intermitente limitatoare de sarcina (de siguranta)
- cu stifturi de forfecare


![]()
Cu frictiune

3 Cuplaje intermitente limitatoare de turatie (cerntrifugale)

2 Cuplaje intermitente limitatoare de sens (unisens)

| 
Politica de confidentialitate | 
| Copyright © 
      2025 - Toate drepturile rezervate.  Toate documentele au caracter informativ cu scop educational.  | 
  
Personaje din literatura | 
| Baltagul – caracterizarea personajelor | 
| Caracterizare Alexandru Lapusneanul | 
| Caracterizarea lui Gavilescu | 
| Caracterizarea personajelor negative din basmul | 
Tehnica si mecanica | 
| Cuplaje - definitii. notatii. exemple. repere istorice. | 
| Actionare macara | 
| Reprezentarea si cotarea filetelor | 
Geografie | 
| Turismul pe terra | 
| Vulcanii Și mediul | 
| Padurile pe terra si industrializarea lemnului | 
| Termeni si conditii | 
| Contact | 
| Creeaza si tu |