O masina calorica este un proces ciclic care absoarbe caldura si produce lucru asupra vecinatatilor. "Ciclic" inseamna ca sistemul se reintoarce la starea initiala la sfarsitul fiecarui ciclu, astfel incat nu exista o modificare permanenta a sistemului. Doar ciclul determina lucrul in cursul unui ciclu Carnot, prezentat mai jos sub forma unei diagrame p-V.

Curbele TU si TL sunt izoterme. TU este temperatura bai termice cu temperatura cea mai mare (denumita si rezervor) si TU este temperatura bai termice cu temperatura mai mica. Curbele care reprezinta trecerea, BC respectiv DA sunt adiabatice. Ciclul incepe in punctul A; sistemul sufera o expansiune izoterma la temperatura TU , pana la punctul B. In aceasta expansiune izoterma sistemul absoarbe caldura de la baia de caldura cu temperatura superioara (qU > 0) si efectueaza lucru asupra vecinatatilor (sa ne reamintim ca w este definit drept lucru efectuat asupra sistemului, in consecinta wAB < 0). Apoi sistemul este izolat adiabatic de baia de caldura si expandeaza adiabatic la punctul C. Nu exista caldura implicata in acest proces de expansiune, dar lucru pentru aceasta portiune este de asemenea negativ in valoare (wBC < 0). In punctul C sistemul este pus in contact cu o baie termica du temperatura TL si sufera o compresie izoterma pana la punctul D. Pentru acest segment al ciclului qL < 0 si wCD > 0 deoarece vecinatatile sunt cele care produc acum lucru asupra sistemului iar caldura incepe sa se scurga spre baia calorica du temperatura TL. In punctul D sistemul este din nou unul izolat fata de baile termice si se comprima adiabatic la punctul A. In aceasta compresie adiabatica caldura este, desigur, zero iar lucrul unul pozitiv (wDA > 0).
Putem analiza ciclu Carnot dupa cum urmeaza: caldura q pentru intregul ciclu este
q = qAB + qCD,, (16.1)
iar lucrul pe intreg ciclu este redat de expresia
w = wAB + wBC + wCD + wDA (16.2)
Atata timp cat starea initiala a sistemului este identica cu starea finala a acestuia putem afirma ca modificarea energie sale interne U este zero. Din legea intai a termodinamicii rezulta ca
(16.3)
din care putem usor observa ca
(16.4)
De remarcat faptul ca ciclul Carnot opereaza ca o masina calorica (in sensul acelor de ceasornic), w < 0, astfel incat -w > 0 si q > 0.
Asa cum am spus deja ciclul Carnot este o masina calorica. Aceasta inseamna ca dorim sa absoarba caldura si sa converteasca aceasta caldura in lucru. Va trebui sa stim cat lucru obtinem pentru o anumita cantitate de caldura furnizata, Putem defini astfel eficienta, e, a acestui proces ca
(16.5)
care, daca se tine cont de ecuatiile (16.1) si (16.2) devine
(16.6)
Pentru a mentine notatia traditionala vom mentiona ca segmentul A→ B a ciclului este la temperatura bai cu temperatura superioara, TU, iar segmentul C→ D este cel la nivelul temperaturii bai cu temperatura inferioara. Ecuatia (16.6) devine
(16.7)
Segmentele
A→ B si C→ D reprezinta expansiunea izoterme
ale gazului ideal la TU
respectiv compresie izoterma la TL. Pentru expansiuni
si compresii ale gazelor ideale
. Astfel putem
acum scrie
(16.8)
si
(16.9)
Daca introducem in ecuatia (16.7), in partea dreapta a acesteia, obtinem
(16.10)
simplificand prin nR rezulta
(16.11)
Daca vom cauta o expresie a eficientei in termenii de temperaturi, ecuatia (16.11) nu este cea mai potrivita datorita prezentei volumelor in ecuatie. Totusi, exista un alt set de relatii intre volume ce rezida din faptul ca drumurile B→ C si D→ A sunt adiabatice si a faptului ca cunoastem relatia volumelor in procese adiabatice in cazul gazelor ideale. Sa ne reamintim ca o expansiune adiabatica a gazului ideal are expresia (utilizand temperaturile, presiunile si volumelor corespunzatoare ciclului Carnot reprezentat aici)
(16.12)
pentru segmentul B→ C a ciclului si o ecuatie echivalenta pentru segmentul D→ A. (γ este raportul capacitatilor calorice,' Cp/CV.). Vom substitui acum presiunile in ecuatia (16.12) prin inserarea valorilor presiunii din expresia ecuatiei de stare a gazului ideal, reamintindu-ne ca in punctele A si B temperatura este TU iar in punctele C si D temperatura este TL.
(16.13)
Simplificand si acum cu nR si combinand volumele obtinem
(16.14)
Din aceste substitutii obtinem
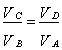
(16.15)
De remarcat ca exista o expresie echivalenta pentru calea D→ A a ciclului.
(16.16)
Din ultimele doua ecuatii rezulta ca:
(16.17)
sau
(16.18)
sau, prin rearanjare
(16.19)
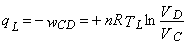
Daca vom aplica acest rezultat in ecuatia (16.11)
(16.20)
Cei doi logaritmi sunt negativi deci,
(16.21)
De remarcat ca eficiente mari se obtin cu o temperatura mica a bai la TL iar eficienta unitara se poate obtine doar daca temperatura bai cu temperatura mai mica este zero absolut. Deoarece, in majoritatea cazurilor, TL este determinata de vecinatati inginerii cauta sa utilizeze la maxim avantajele date de TU. Masinile termice adevarate nu sunt, desigur, cicluri Carnot, dar a doua lege a termodinamicii cere ca nici o masina termica care opereaza in domeniul de temperaturi TL si TU sa nu aiba o eficienta mai mare decat cea a ciclului Carnot. Astfel ciclul Carnot ofera eficienta ideatica superioara a unei masini calorice. Chiar si daca in cazul unui ciclu Carnot se reprezinta ideatic principiul masinilor termice, principiul general este perfect valabil. Daca temperatura inferioara TL este restrictiva se poate creste eficienta masinii termice prin cresterea temperaturii TU. Daca, in schimb TU este temperatura restrictiva, eficienta poate fi marita prin scaderea termenului TL.
Trebuie inca o data mentionat ca toate temperaturile implicate in acest proces se refera la temperaturi ale gazului ideal. Aceasta inseamna ca sunt masurate cu ajutorul scarii de temperatura a gazului ideal. Este posibil si de dorit ca ciclul Carnot sa fie folosit pentru a definii "scala termodinamica a temperaturii". NU vom lamurii acest lucru acum, dar este suficient de a spune ca prin alegerea unei referinte corespunzatoare pentru temperatura putem determina o analogie a celor doua scale de temperatura mai sus mentionate.
|
Politica de confidentialitate |
| Copyright ©
2025 - Toate drepturile rezervate. Toate documentele au caracter informativ cu scop educational. |
Personaje din literatura |
| Baltagul – caracterizarea personajelor |
| Caracterizare Alexandru Lapusneanul |
| Caracterizarea lui Gavilescu |
| Caracterizarea personajelor negative din basmul |
Tehnica si mecanica |
| Cuplaje - definitii. notatii. exemple. repere istorice. |
| Actionare macara |
| Reprezentarea si cotarea filetelor |
Geografie |
| Turismul pe terra |
| Vulcanii Și mediul |
| Padurile pe terra si industrializarea lemnului |
| Termeni si conditii |
| Contact |
| Creeaza si tu |