INSTRUMENTE SI TEHNICI DE MARKETING UTILIZATE DE DISTRIGAZ SUD IN FORMAREA IMAGINII
1 PREZENTAREA SOCIETATII
DISTRIGAZ SUD este o societate comercialǎ cu o pozitie majorǎ pe piata gazelor din Romania, inregistrand peste 30 ani experientǎ in domeniul comercializǎrii gazelor naturale, Distrigaz Sud tinteste sǎ devinǎ in scurt timp o societate competitivǎ de nivel European.
Structura actionariatului societatii este mixta, incepand cu 31.05.2005, cand Gaz de France a achizitionat de la statul roman (fostul actionar unic) pachetul majoritar de 51% din numarul actiunilor.
In iulie 2008 grupul Gaz de France a fuzionat cu grupul belgian SUEZ, dand nastere noului lider mondial energetic GDF SUEZ. Misiunea sa este de a propune solutii energetice inovatoare bazate pe o gamǎ larga de tipuri de energii si servicii asociate, de a asigura securitatea aprovizionarii Europei, dezvoltarea marilor infrastructuri, dezvoltarea energiilor regenerabile si combaterea incalzirii climatice.
GDF SUEZ este prezent pe tot parcursul lantului energetic, in domeniul electricitatii si al gazelor naturale: achizitie, productie si comercializare de gaze naturale si electricitate; transport, distributie, gestiune si dezvoltare de mari infrastructuri de gaze naturale si electricitate; creare si comercializare de servicii energetice si de servicii dedicate protectiei mediului inconjurator.
Utilizand eficient mijloacele puse la dispozitie de GDF SUEZ, grup cu o pozitie remarcabila intre liderii europeni, Distrigaz Sud are sanse considerabile sa continue procesul de dezvoltare si modernizare.
Distrigaz Sud isi propune sa-si dezvolte activitatea si sa creeze valoare oferind produse si servicii de cea mai buna calitate.
Pentru a-si indeplini aceasta misiune, este necesara realizarea a 3 pasi foarte importanti: modernizarea infrastructurii; ameliorarea serviciilor; implicarea si mobilizarea salariatilor, incurajand spiritul de initiativa si reliefand mandria de a practica aceasta meserie si solidaritatea fata de companie.
2 STRATEGII FOLOSITE DE DISTRIGAZ IN FORMAREA IMAGINII
Ca orice intreprindere de servicii, DISTRIGAZ SUD utilizeazǎ o serie de tehnici care ajutǎ la formarea imaginii. Imaginea este cea care ajutǎ la identificarea firmei de cǎtre clienti si in crearea ei existǎ un ansamblu de elemente tangibile cum ar fi: locul de amplasare, imprejurimile, cladirea si elementele de infrastructurǎ generalǎ.
Compania GDF SUEZ Energy Romania isi da seama ca piata si marketingul trec printr-o revolutie majorǎ, de aceea ea doreste sǎ-si mentinǎ pozitia de lider pe piatǎ, incercand sǎ isi pǎstreze clientii si sǎ castige altii noi. Compania se adapteazǎ cerintelor pietei si pentru aceasta cautǎ sǎ-si pǎstreze o imagine bunǎ.
Succesul intreprinderii se datoreazǎ pozitiei geografice a terenului. Societatea trebuie localizatǎ in oras pentru a ajunge clientii cu usurintǎ la aceasta. GDF SUEZ Energy Romania este localizat in Brasov intr-o zonǎ aproximativ centralǎ pentru a putea ajunge si clientii care nu au la dispozitie o masina, acestia folosind autobuzul. Imobilul are acces stradal si stare generalǎ bunǎ.
Clǎdirea GDF SUEZ Energy Romania este una impunǎtoare, este o cladire nouǎ, modernǎ, coloratǎ intr-un mod plǎcut si atractiv. Interiorul este unul adecvat serviciului care este prestat, este intr-un stil mai serios, mobilierul este foarte frumos, modern, culoarea utilizatǎ in interior este alb, iar cea a mobilei este culoare maro care conferǎ incredere si subliniazǎ profesionalismul. Unele birouri sunt despǎrtite intre ele cu geamuri transparente ceea ce dǎ senzatia de iluminare si creearea unui confort plǎcut. Cladirea este dotatǎ cu un lift modern, suficient de incǎpǎtor care ajutǎ transportarea persoanelor la toate cele trei etaje ale clǎdirii.
Ambianta este in ansamblu una extrem de plǎcutǎ, atrǎgǎtoare, fapt care te face sǎ indrǎgesti acel loc din primul moment in care pǎsesti inǎuntru. Suprafetele de desfǎsurare a activitǎtii sunt largi, existǎ spatiu destul, nu este sufocant.
Echipamentele reprezintǎ mai multe elemente, dotǎri, acestea fiind si ele esentiale suportului fizic prin care se realizeazǎ prestatiile; elemente care prin calitatea lor coditioneazǎ prestarea, calitatea si productivitatea serviciilor. Aici intalnim mai multe elemente.
Instalatia de incǎlzire are o deosebitǎ importantǎ, deoarece temperatura optima este un element principal de confort intr-o societate. Incǎlzirea centralǎ este eficientǎ, deoarece permite realizarea temperaturii dorite in diferite spatii, prin instalatiile de incǎlzire racordate la centrala termicǎ, utilizandu-se calorifere; instalatiile sanitare; instalatia de aer conditionat este apreciata ca fiind indispensabilǎ, ea asigurand senzatia de confort materializatǎ prin temperaturǎ, umiditate constanta in aer purificat; instalatia electricǎ asigurǎ alimentarea cu energie electricǎ a corpurilor de iluminat si a calculatoarelor.
Sucursala Brasov are in dotare in prezent mijloace auto (autoturisme de interventie, camioane, tractoare, excavatoare etc) masini si utilaje de productie (motocompresoare, ploizoare, electropompe, electrocompresoare, motopompe, picamere, convertizoare sudura etc) aparate pentru detectarea pierderilor de gaze.
Personalul, in mod similar echipamentelor, ocupǎ locul central intre componentele produsului in cadrul serviciilor bazate pe personal. Calitatea acestuia, climatul intern, motivarea, experienta sunt cateva din elementele de care depinde succesul sau insuccesul firmelor pe piata.
Faptul cǎ serviciile sunt intangibile, eterogene si variabile, are drept rezultat faptul cǎ personalul care presteazǎ serviciul, suita de activitǎti sau procese care implicǎ prestarea precum si evidentele fizice sunt factori decisivi in obtinerea satisfactiei consumatorului.
In mod hotǎrator, succesul unei companii se datoreazǎ personalului angajat: atat celui din varf, ce materializeazǎ efectiv produsul oferit, cat si celui care se aflǎ pe treptele de jos, care asigurǎ conditiile efective de desfǎsurare a activitǎtilor, contribuind totodatǎ la crearea imaginii companiei. De asemenea, personalul este cel ce poate tangibiliza serviciul oferit si poate reduce riscul variabilitǎtii serviciilor, risc perceput ca fiind foarte ridicat. Toate aceste elemente conduc deci la concluzia conform cǎreia o politicǎ adecvatǎ in domeniul resurselor umane necesare unei companii de servicii ii pot asigura acesteia succesul.
Prestatorii de servicii trebuie sǎ aibǎ atat capacitatea, cat si dorinta de a indeplini serviciul pe care il asteaptǎ consumatorii si acest rezultat va fi obtinut de cǎtre conducerea companiei doar in ipoteza respectǎrii unor pasi esentiali in gestiunea resurselor umane: o politicǎ atent definitǎ in recrutarea, selectia si angajarea personalului; aplicarea principiului formǎrii continue a personalului; un sistem concret si consecvent de motivare a personalului; formarea unor echipe de lucru; asigurarea unui climat favorabil comunicǎrii in interiorul si in afara companiei; implementarea si dezvoltarea unei culturi organizationale solide.
Stabilirea fortei de muncǎ in cadrul GDF SUEZ Energy Romania constituie un element de o importantǎ deosebitǎ. Astfel, sucursala Brasov are un personal de 767 angajati, majoritatea sunt cu studii medii si au vechime in industria gazului metan. Avand in vedere specificul activitǎtii ponderea personalului masculuin este de 70%, iar varsta medie de 36 ani. A existat o preocupare permanentǎ pentru calificarea muncitorilor in meserii specifice activitǎtii desfǎsurate in aceasta unitate, in mod deosebit in perioada in care ponderea liceelor industriale de profile era redusǎ.
Cursurile de calificare cu o duratǎ de 6 luni au asigurat atat pregǎtirea teoreticǎ cat si practicǎ, la un nivel corespunzǎtor cerintelor. Angajarea personalului muncitor pe teren este efectuatǎ numai In urma sustinerii unei probe practice. Iar in vederea angajǎrii personalului TESA in afarǎ de verificarea cunostintelor de ordin teroretic sunt sustinute teste psihologice ale caror rezultate sunt un real folos in stabilirea locului de muncǎ si chiar a sarcinilor de serviciu. Majoritatea personalului TESA efectueaza lucrǎrile pe calculator.
Tehnologia reprezintǎ o componentǎ importantǎ a mediului intern putand reprezentǎ un important factor de avantaj competitiv, in mǎsura in care acestea realizeazǎ un efect util inalt. Astfel utilizarea computerelor personale si a programelor de lucru puse la dispozitie, a sistemelor informationale, care functioneazǎ in timp real, a cardurilor personalului pentru primirea salariilor au ajutat la desfǎsurarea activitǎtilor din cadrul societǎtii.
Promovarea are un loc aparte in formarea imaginii. Multe elemente ale promovǎrii se regasesc in activitǎtiile desfǎsurate de cǎtre GDF SUEZ Energy Romania.
Distrigaz Sud utilizeazǎ o promovarea internǎ cu ajutorul suporturilor materiale prin: publicitatea la locul vanzǎrii care este constituitǎ dintr-o serie de mijloace prin intermediul cǎrora clientul este informat. Distrigaz Sud utilizeazǎ in mod frecvent afise in interiorul societǎtii acolo unde au acces clientii potentiali toate serviciile oferite, sunt afise mari, frumos colorate si care atrag atentia in scopul de a fi citite de cǎtre clienti. Se utilizeazǎ si o multitudinde de pliante cu suficiente informatii, pe care consumatorii le pot lua acasǎ sǎ le studieze mai bine. GDF SUEZ Energy Romania utilizeazǎ si indicatoare de informare, care prin sageti, inscrisuri oferǎ informatii clientilor cu privire la locul prestatiei, la orar, la acte necesare etc.
Promovarea internǎ interpersonalǎ isi face si ea aparitia prin personalul de contact care are cu un rol primordial, care ajutǎ la cresterea calitǎtii prestatiei si la promovarea serviciilor, prin amabilitate, tinuta vestimentarǎ serioasǎ, modul de a conversa, aspetul fizic etc.
Clientii au si ei un rol in promovare, deoarece in functie de cum au fost serviti, tratati si informati acestia pot promova serviciul respectiv vorbind despre el si altor clienti.
Intalnim si promovarea externǎ prin mijloacele materiale: marca si simbolurile contribuie la formarea imaginii, ajutǎ clientii sǎ identifice serviciile DISTRIGAZ SUD si sǎ le diferentieze de cele ale concurentilor. Marca reprezintǎ numele societǎtii DISTRIGAZ SUD.
Simbolurile au rolul de a atinge unele din obiectivele politicii de produs: tangibilizare, calitate. Se poate observa ca Distrigaz Sud are un simbol de culoare albastrǎ si rosie. Acest simbol se gaseste atat in exteriorul societǎtii, cat si in interior, pe anumite documente, pe afise, panouri, pe site-ul lor. Arhitectura exterioarǎ este una elegantǎ si modernǎ in acelasi timp, denotand seriozitae si implicare. Publicitatea este utilizatǎ impreunǎ cu celelalte mijloace si anume marca, simboluri, personalul de contact.
Promovarea externǎ interpersonalǎ: clientii efectivi si potentiali ai firmei si cu mijloacele de informare in masǎ in cadrul unor actiuni speciale.
Fortele de vanzare sunt sustinute prin cataloage informative, brosuri.
Comunicatia prin viu grai este asiguratǎ atat de personalul de contact cat si de client. Cu cat se cunosc mai multe lucruri despre societate cu atat clientul poate convinge fara sa vrea sau intentionat altǎ persona sǎ solicite serviciile societǎtii de furnizare a gazelor naturale.
GDF SUEZ Energy Romania are propriul site unde este prezentatǎ societatea cu toate ofertele sale pentru clienti. O prezentare frumoasǎ, culori plǎcute avand toate informatiile necesare pentru clientii actuali, dar si pentru cei potentiali, prezentandu-le toate demersurile si actele necesare pentru a deveni clienti ai firmei. Acest site poate fi accesat de oricine doreste sa culeagǎ informatii despre aceasta societate.
Deoarece clientii pierdeau foarte mult timp pentru montarea instalatiei de gaze, pentru instalatia interioara si in alegerea echipamentelor, GDF SUEZ Energy Romania lanseaza proiectul ExpertGaz, fiind pentru serviciul de Marketing al GDF SUEZ Energy Romania unul dintre cele mai curajoase proiecte lansate de companie. Dupa un an de la lansare ExpertGaz numara 60 de firme de instalatori, selectia acestora realizandu-se dupa criterii foarte clare, toti partenerii au capacitatea de a realiza un numar mare de lucrari si alaturi de consilierii comerciali GDF SUEZ Energy Romania pot oferi clientilor toate informatiile legate de realizarea instalatiilor individuale de incalzire si gaze naturale.
Fiindcǎ clientilor le este foarte greu sa aleaga o centrala termica, noua, oferta lansata pe piata este Centrala ExpertGaz. De aceea, GDF SUEZ Energy Romania a testat numeroase echipamente, recomandand in prezent, alaturi de Baxi Romania si de Radiant, prin reteaua ExpertGaz, patru centrale termice: doua clasice si doua cu condensare, la cele mai bune preturi de pe piata.
Activitatile de sponsorizare si mecenat ajurtǎ Distrigaz Sud la formarea imaginii. Prin participarea la sponsorizari, GDF SUEZ Energy Romania are in vedere urmatoarele obiective: promovarea principalelor valori ale companiei; durabilitatea relatiilor, modernitatea solutiilor, respectul mediului inconjurǎtor eleborarea unui renume comeriale sustinerea proiectelor importante de transformare a societatii proiectelor; iar prin activitǎtile de mercenat in mod special GDF SUEZ Energy Romania vizeaza infrumusetarea mediului, ameliorarea conditiilor de viata si sustinerea tinerilor, facilitarea integrarii sociale a categoriilor defavorizate.
Astfel directiile de sponsorizare ale societatii sunt : sportul - tenisul feminin; activitatea stiintificǎ si protectia mediului; protectia patrimoniului natural. Cateva activitǎti in care GDF SUEZ Energy Romania s-a implicat :
GDF SUEZ Energy Romania a sprijinit in anul 2008 programele Asociatiei SAMUSOCIAL ROMANIA. Ajutorul acordat va consta in sustinerea activitatii cabinetului medical al organizatiei prin suportarea cheltuielilor aferente procurarii de medicamente.
Samusocial din Romania (Serviciul de Ajutor Mobil de Urgenta Sociala) organizatie neguvernamentala romaneasca creata in ianuarie 2004, este un dispozitiv de interventie de urgenta care iese in intampinarea celor mai desocializate persoane reduse la stadiul de simpla supravietuire. Devenite «victime», ele nu mai pot si nici nu mai stiu sa beneficieze de ajutoarele de drept comun.
GDF SUEZ Energy Romania a sustinut financiar doua programe ale Asociatiei Valentina pe parcursul anului 2008:
-'Supraveghere medicala' - in cadrul caruia 50 de copii vor beneficia de controale oftalmologice si stomatologice;
-'Igiena' - produse igienico-sanitare destinate ajutorarii a 40 de familii aflate in situatii dificile.
Dinamismul, efortul si performanta sunt calitati pe care Distrigaz Sud le asociaza cu propria imagine si doreste sa le promoveze. De aceea, GDF SUEZ Energy Romania se implica activ in promovarea sportului de performanta dar si a celui destinat publicului larg
GDF SUEZ Energy Romania a sprijint si in anul 2008 organizarea Campionatelor Internationale de Atletism. Aflata la editia a 53-a, competitia a avut loc in data de 6 iunie 2008 pe stadionul Dinamo.
GDF SUEZ Energy Romania a sustinut tenisul feminin, organizand a doua editie a turneului "Gaz de France Stars". GDF SUEZ Energy Romania si Federatia Romana de Tenis au organizat in perioada 03 - 11 mai 2008 la Arenele BNR, a doua editie a turneului "Gaz de France Stars".
Turneul este o rampa de lansare pentru adevaratele talente din tenisul feminin, anul acesta inscriindu-se in competitie jucatoare valoroase din aproximativ 25 tari. "Gaz de France Stars" este un turneu dinamic, dar si o oportunitate pentru toate jucatoarele care doresc sa se afirme.
La data de 8 martie 2007, GDF SUEZ Energy Romania si Federatia Romana de Tenis au semnat un parteneriat care prevede crearea unui turneu international de tenis feminin de inalt nivel - "Gaz de France Stars", sponsorizarea Circuitului International de Tenis Feminin al Romaniei, sustinerea Centrului National de Tenis si a echipelor romane de Fed Cup si Junior Fed Cup, precum si crearea unei echipe de tinere jucatoare cu potential.
Ambasada Frantei si Institutul Francez, cu sprijinul Distrigaz Sud au organizat in perioada 13 - 29 iulie o noua editie a sarbatorii "Un été au cinéma". Evenimentul a reprezentat un prilej de intalnire cu cei mai mari actori ai cinematografiei franceze : Catherine Deneuve, Isabelle Huppert, Louis de Funès, Gérard Depardieu, Jeanne Moreau sau Emmanuelle Béart. Pe un ecran de dimensiuni impresionante din zona E-Uranus - spatiu de destindere si de cultura in inima orasului - au fost proiectate cele mai frumoase filme franceze.
In 21-06-2007 Distrigaz Sud a sponsorizat pentru prima data "Fête de la musique" - "Sarbatoarea muzicii", eveniment origanizat la inceputul verii calendaristice in toate tarile francofone. 'Fête de la musique' - Sarbatoarea muzicii - este o manifestare organizata pentru prima data in Franta in 198 Din 1985, Europa a inceput sa fie "invadata' de acest concept de festival. Anul trecut "Fête de la Musique' a fost organizat in 110 tari (in toata Uniunea Europeana, dar si in Egipt, Siria, Maroc, Cambogia, Vietnam, Congo, Camerun, Togo, Chile, Nicaragua, Japonia etc.).
Marele Cross al Francofoniei din 6 mai 2006 a marcat deschiderea Zilelor Sportive ale Francofoniei, care s-au derulat in perioada 6-10 mai la Facultatea de Drept a Universitatii Bucuresti.
Distrigaz Sud apreciaza sportul si anume asocierea cu imaginea efortului depus de societate in vederea obtinerii performantei.
In plus, gazul natural este o energie moderna, disponibila si curata pentru mediu, de aceea Distrigaz Sud - filiala Gaz de France a ales sa participe la acest eveniment.ca sponsor principal. Trebuie subliniata prezenta printre alergatori a 10 persoane din cadrul societatii, veniti si de la sucursalele mai indepartate, care au purtat cu mandrie culorile Distrigaz Sud.
Distrigaz Sud a participat la diverse evenimente. Distrigaz Sud si Federatia Romana de Tenis a organizat in perioada 02 - 10 mai 2009 la Arenele BNR, a treia editie a turneului 'GDF SUEZ OPEN ROMANIA'. Editia din acest an este dotata cu premii totale in valoare de 100 000 USD, devenind astfel cea mai importanta competitie din tenisul feminin organizata in Romania.
Municipiul Targu-Jiu a gazduit in perioada 29-30 martie doua dintre cele mai importante competitii rezervate atletilor: Campionatul National de Cros 'Distrigaz Sud' pentru juniori si Campionatul National de Maraton 'Distrigaz Sud ' pentru tineret si seniori.
Pentru clientii sai, DISTRIGAZ SUD a organizat promotia Debit Direct, un serviciu castigǎtor. Promotia Debit Direct - Un serviciu castigator desfasurata in casieriile din Buzau, Brasov, Craiova, Galati, Pitesti, Ploiesti, Ramnicu-Valcea, Targoviste si Targu-Jiu se va prelungi pana la data de 8 mai. Pentru a participa la aceasta campanie clientii nu trebuie decat sa adereze la plata facturii de gaze prin debit direct. Pot castiga premii diverse, de la cani si prosoape, la bonuri cadou in valoare de 10 sau 20 lei. Plata facturii prin Debit Direct ofera clientilor: gratuitate daca au un cont la urmatoarele institutii bancare: BCR, BRD-Groupe Société Générale, ING Bank, Raiffeisen Bank, MKB Romexterra Bank, Banca Transilvania, UniCredit Tiriac Bank; siguranta ca factura Distrigaz Sud e platita fara niciun efort; garantia ca banii vor fi livrati in contul Distrigaz Sud la timp, evitand orice fel de neplacere; controlul sumelor transferate de banca din contul clientului in cel al Distrigaz Sud; oferǎ posibilitatea clientilor de a plati factura de gaze si pentru familie si prieteni.
Distrigaz Sud isi face o datorie din a informa in mod regulat colaboratorii, actionarii, clientii, furnizorii si diferitele Autoritati. Pentru fiecare dintre acestia, in afara mijloacelor de informare adaptate, directe si specifice, presa scrisǎ si audiovizuala constituie o cale de informare indispensabila. In plus, Distrigaz Sud doreste sa informeze mass-media in legatura cu orice eveniment major care are legatura cu societatea si utilizand aceasta modalitate in mod transparent, sa difuzeze informatii precise, autentice si exacte.
Distrigaz Sud organizeazǎ intalniri periodice cu mass media. Aceaste intalniri au ca subiecte principale diverese teme legate de societate cum ar fi: campania pentru securitatea utilizarii gazelor naturale, modalitati de economisire a energiei; analiza contributiei Distrigaz Sud la dezvoltarea economica a Romaniei; pozitionarea Distrigaz Sud in cadrul noului grup GDF SUEZ. In acelasi context au fost prezentate noile logo-uri ale Distrigaz Sud si Distrigaz Sud Retele, precum si revista Oxygen, prima de acest gen dedicatǎ clientilor business.
Oxygen este prima revista din Romania dedicata clientilor business care abordeaza subiecte din energie. Are aparitie trimestriala si se distribuie gratuit clientilor business Distrigaz Sud.
Revista Oxygen aduce informatii din lumea energiei tratate de jurnalisti si experti independenti de Distrigaz Sud; informatii despre cele mai noi solutii tehnologice utile clientilor din energie; pagini dedicate modalitatilor de implementare a unei bune practici in domeniu. Prin acest demers Distrigaz Sud doreste dezvoltarea unei culturi a energiei, in scopul impartasirii de solutii eficiente si realizarii unui dialog continuu.
Responsabilitate sociala
Unul dintre obiectivele societatii Distrigaz Sud este de a sprijini autoritatile locale in regiunile unde asigura alimentarea cu gaze in diverse proiecte sociale, solidaritatea numarandu-se printre valorile promovate de catre compania Distrigaz Sud.
Distrigaz Sud a initiat programul educational 'Intalnire cu energia', un program ce vizeaza transmiterea unui continut informational privind sursele de energie in general si gazul natural in particular elevilor claselor a III-a. Componenta educativa constituie unele din directiile strategice de sponsorizare ale Distrigaz Sud si de aceasta data si-a indreptat atentia asupra celor mici. Ei sunt cei care trebuie sa invete sa utilizeze eficient resursele energetice si sa protejeze mediul inconjurator.
Distrigaz Sud continua sustinerea actiunilor de protejare a mediului inconjurator prin implicarea in proiectul "Dambovita Verde'. Alaturi de alti parteneri importanti, compania DISTRIGAZ SUD va participa la amenajarea cursului raului Dambovita.
In urma inundatiilor din iulie 2005, grupul Gaz de France a initiat operatiunea "Gaz de France Solidarite Roumanie'' destinata ajutorarii zonele afectate de apele revarsate. Astfel, a fost deblocata suma de 225.000 euro pentru repararea a 3 scoli din judetele Galati si Vrancea. Eforturile grupului francez s-au conjugat cu cele ale asociatiei umanitare a personalului Gaz de France, Codegaz, care a sprijinit aceasta initiativa cu materiale scolare si aparatura medicala.
Multumirile profesorilor si mai ales bucuria copiilor, constituie cea mai frumoasa recompensa pentru toti cei care au contribuit la aceste realizari.
Distrigaz Sud a inaugurat in data de 4 iulie 2008 un dispensar in satul Mircesti comuna Vanatori, judetul Vrancea. Realizarea acestui obiectiv a fost posibila datorita unei finantari de 45.000 euro, din cadrul operatiunii ,,Gaz de France Solidarite Roumanie'. O farmacie, un cabinet stomatologic, dotat cu un echipament ultra-modern dintr-o donatie privata, un cabinet de medicina generala si o sala de tratament cu doua paturi, au primit aprobarea autoritatilor din domeniul sanitar si constituie garantia unor ingrijiri medicale de calitate. Acest proiect se integreaza astfel in actiunile DISTRIGAZ SUD de sprijinire a comunitatilor locale, solidaritatea reprezentand o axa majora a strategiei de reponsabilitate sociala.
In concluzie se poate aprecia faptul ca firma Distrigaz Sud este implicata in numeroase activitati care nu fac aprte din domeniul sau de activitate, dovedind implicare sociala, interes pentru bunastarea societatii in general, interes pentru oameni.
Aceste activitati prezentate mai sus au un rol deosebit in formarea imaginii acestei firme, deoarece populatia ramane placut impresionata de aceste implicari ale firmei in viata de zi cu zi a oamenilor obisnuiti.
Imaginea firmei este consolidata cu ajutorul relatiilor publice care ajuta la o imagine buna a societatii, adica aceste relatii sunt constituite din diverse activitati prin care se sustine colaborarea cu clientii firmei, cu angajatii acesteia si cu alte firme, furnizori de diverse servicii etc. Relatiile publice ajuta la comunicare, intelegere, la infomare a firmei fiind in contact cu alti agenti economici de pe piata. Relatiile publice contribuie direct la promovarea firmei si a produselor si la crearea imaginii. Acestea aduc la cunostinta publicului schimarile din firma, intaresc credibilitatea clientilor in firma, stimuleza forta de vanzare si ajua la promovarea firmei. Derularea actiunilor de PR trebuie facuta cu mare atentie. Orice activitate are un rol esential in schimbarea modului de gandire si interpretare a clientului.
CAPITOLUL III
CERCETARE DE MARKETING PRIVIND IMAGINEA PE CARE GDF SUEZ ENERGY ROMANIA O ARE IN RANDUL BRASOVENILOR
In sistemul de marketing un rol esential il detin cercetǎrile de marketing care asigurǎ informatiile necesare functionǎrii acestuia. Pe baza lor se cunosc oportunitǎtile de piatǎ si problemele cu care se confruntǎ agentii economici.
"Cercetarea de marketing este functia care leagǎ cumpǎrǎtorul, consumatorul si publicul larg cu specialistul de marketing prin intermediul informatiilor."
Cercetarea de marketing oferǎ informatii prin care se identificǎ si se definesc oportunitǎtile si problemele, se genereazǎ, clarificǎ si evalueazǎ actiunile de marketing, se monitorizeazǎ performantele de marketing etc. Prin cercetare se stabilesc metodele de obtinere a informatiilor, se dirijeazǎ si se asigurǎ realizarea procesului de colectare a datelor, se analizeazǎ rezultatele, se comunicǎ rezultatele obtinute si implicatiile lor.
In continuare este prezentatǎ cercetarea cu privire la opiniile, atitudiniile si comportamentele populatiei brasovene cu privire la imaginea pe care o are GDF SUEZ Energy Romania in randul acesteia.
GDF SUEZ Energy Romania este un lider pe piata localǎ si chiar nationalǎ prin furnizarea gazelor naturale cǎtre populatie. Aceastǎ firmǎ trebuie sa fie in permanentǎ la curent cu schimbǎrile care se manifestǎ in comportamentul clientilor acesteia. Prin aceastǎ cercetare de marketing se identificǎ multumirea sau nemultumirea clientilor, importanta personalului de contact in relatiile preferentiale cu acestia etc. Firma trebuie sǎ facǎ fatǎ clientilor din ce in ce mai exigenti, mai bine informati cu privire la mecanismele pietei. Datoritǎ schimbǎrilor din activitatea firmei, datoritǎ pretului ridicat al gazului si a crizei financiare care se manifestǎ in toate domeniile, se observǎ o schimbare in atitudinea si comportamentul consumatorilor. De aceea firma trebuie sa obtinǎ aceste informatii pe care sǎ le transforme in avantaje competitive.
Pentru a supravietui dinamicii pietei, evolutiei si tehnologiei avansate care ia in considerare importanta sistemului de comunicare firma trebuie sǎ-si consolideze o bazǎ de date fundamentatǎ pe baza nevoilor si cerintelor consumatorilor. Sustinerea serviciului de bazǎ este realizatǎ de serviciile auxiliare care sunt asteptate de clienti. Astfel, ambianta, echipamentele si personalul de contact vor fi intotdeauna criterii prin care va fi identificatǎ firma.
3.1. STABILIREA IPOTEZELOR
Ipoteze generale:
1.Clientii GDF SUEZ Energy Romania sunt multumiti de serviciile furnizate de aceastǎ firmǎ.
Clientii firmei sunt multumiti de modul in care sunt tratati de cǎtre personalul de contact din cadrul firmei Distrigaz Sud GDF SUEZ Energy Romania.
3.Imaginea dobanditǎ de GDF SUEZ Energy Romania de-a lungul timpului este una foarte bunǎ.
4.Faptul cǎ firma Gaz de France dobandeste 51% din actiunile Distrigaz Sud creazǎ atitudini diferite in randul consumatorilor.
5.Existǎ legaturǎ intre varsta respondentului si gradul de satisfactie resimtit de aceasta in ceea ce priveste modul in care este tratat de personalul de contact.
Ipoteze statistice:
1) Ho: Cel mult 40% dintre consumatori sunt multumiti de serviciile furnizate de GDF SUEZ Energy Romania
H1: Mai mult de 40% dintre consumatori sunt multumiti de serviciile furnizate de GDF SUEZ Energy Romania.
2) Ho:cel mult 40% dintre respondenti sunt multumiti de modul cum sunt tratati de personalul GDF SUEZ Energy Romania la solicitarea unor informatii.
H1:mai mult de 40% dintre respondenti sunt multumiti de modul cum sunt tratati de personalul GDF SUEZ Energy Romania la solicitatrea unor informatii.
3) Ho:Cel mult 60% dintre consumatori au o pǎrere bunǎ cu privire la imaginea dobanditǎ de GDF SUEZ Energy Romania
H1:Mai mult de 60% dintre consumatori au o pǎrere bunǎ cu privire la imaginea dobanditǎ de GDF SUEZ Energy Romania
4) Ho: cel mult 30% dintre consumatori sunt multumiti de faptul cǎ Gaz de France dobandeste partea majoritarǎ din capital.
H1: mai mult 30% dintre consumatori sunt multumiti de faptul cǎ Gaz de France dobandeste partea majoritarǎ din capital.
5) H0.Nu existǎ diferentǎ intre varsta respondentului si gradul de satisfactie resimtit de acesta cu privire la modul in care este tratat de catre personalul de contact GDF SUEZ Energy Romania.
H1.Existǎ diferentǎ intre varsta respondentului si gradul de satisfactie resimtit de acesta cu privire la modului in care este tratat de catre personalul de contact GDF SUEZ Energy Romania.
3. STABILIREA OBIECTIVELOR CERCETARII
|
Aspecte de baza (de marketing si management) |
Intrebarile cercetatorului |
Obiectivele cercetarii |
|
1.Identificarea clietilor GDF SUEZ Energy Romania. |
1.Sunteti client al GDF SUEZ Energy Romania? Care sunt motivele pentru care nu folositi serviciul furnizat de cǎtre GDF SUEZ Energy Romania? |
1.Identificarea clientilor GDF SUEZ Energy Romania. Identificarea motivelor pentru care respondentii nu sunt clienti ai Distrigaz Sud. GDF SUEZ Energy Romania. |
|
Atitudinile clientilor fatǎ de activitatea desfasuratǎ de cǎtre Distrigaz Sud. |
1. Sunteti multumit de serviciile furnizate de Distrigaz Sud? |
1. Determinarea gradului de multumire a clientilor cu privire la serviciile prestate de cǎtre Distrigaz Sud. |
|
3.Opinia clientilor in ceea ce priveste tratarea lor de cǎtre personalul GDF SUEZ Energy Romania. |
1. Cum apreciati gradul de implicare a personalului in ceea ce priveste rezolvarea anumitor probleme? Sunteti multumiti de modul cum vǎ trateazǎ peronalul la solicitarea unor informatii? |
1. Determinarea gradului de implicare a personalului in ceea ce priveste rezolvarea anumitor probleme. Determinarea gradului de multumire a clientilor in legǎturǎ cu modul cum sunt tratati de cǎtre personalul GDF SUEZ Energy Romania la solicitarea unor informatii. |
|
4.Distribuirea si comercializarea gazului |
1. Ce pǎrere aveti in legaturǎ cu presiunea la gaz? Cum apreciati nivelul tarifelor practicate de firma GDF SUEZ Energy Romania? 3. Cum apreciati modul de facturare? 4. Cum preferati sǎ achitati facuta ? |
1. Determinarea pǎrerii in ceea ce priveste presiunea gazului. Determinarea nivelului tarifelor practicate de cǎtre GDF SUEZ Energy Romania. 3.Determinarea modului de facturare. 4.Determinarea preferintelor de platǎ. |
3.3. REALIZAREA CHESTIONARULUI
Chestionarul se aflǎ in forma finalǎ in anexa nr.
3.4. ESANTIONAREA
3.4.1. Populatia cercetata si marimea acesteia
Populatia cercetata: Datele necesare cercetarii sunt obtinute pe baza unui esantion. Populatia avuta in vedere este constituita din clientii firmei GDF SUEZ Energy Romania din orasul Brasov, cu varsta peste 18 ani.
Cadrul de esantionare: este lista populatiei, mai exact harta orasului Brasov cu toate strǎzile.
Unitatea de esantionare: este locuinta, gospodǎria.
Unitatea de sondaj: orice membru al gospodǎriei, care corespunde cerintelor, cu varsta peste 18 ani si Unitatea de analiza sau de cercetare: este familia.
In vederea determinarii marimii esantionului trebuie sa avem in vedere nivelul de precizie al estimarii (eroarea admisa), cat si intervalul de incredere. Pentru aceasta, am luat in considerare un nivel al erorii admise de ±3% la un nivel de incredere de 95%, caruia, conform tabelului distributiei z, ii corespunde valoarea 1,96. Deoarece nu beneficiez de informatii cu privire la p (procentul celor care au raspuns "DA") acesta va fi considerat de 50%. Pentru a determina marimea esantionului am folosit urmatoarea formula:
n = ![]()
unde :
n = marimea esantionului
z2= patratul coeficientului z, corespunzator nivelului de incredere
p = estimarea procentelor in caz de succes
q = 1-p = estimarea procentelor in caz de insucces
E² = patratul nivelului erorii exprimat in procente
Cunoscand toate datele, rezulta:
z = 1,96; p = 50%; q = 50%; E = ±3%
Datorita faptului ca timpul si situatia nu permite chestionarea a 1067 de persoane, si totodata avand in vedere ca aceasta cercetare este realizata in scop didactic, nu s-a putut respecta aceasta marime a esantionului si a fost redus la un numar de 110 de persoane.
Cunoscand marimea esantionului n = 110, z = 1,96; p = 50% si q = 50% putem calcula eroarea admisa cu care vom aprecia rezultatele:

Astfel, pentru esantionul format din 110 de persoane intervievate vom accepta un nivel al erorii de ±3,156.
3.4. Alegerea metodei de esantionare
In vederea obtinerii unor rezultate cat mai exacte, tinand cont de tipul cercetǎrii alese, am optat pentru o esantionare aleatoare (probabilisticǎ).
Pentru a ajunge la esantionul final am folosit esantionarea aleatoare in trepte astfel:
Esantionarea in trepte presupune parcurgerea unor etape succesive numite trepte. O primǎ treapta pentru prezentul studiu o constituie selectarea cartierelor din orasul Brasov alese pentru a face parte din esantion. Acest lucru il voi realiza calculand 15% din numǎrul total de cartiere din orasul Brasov, care este de 1 Rezultatul obtinut este 1, ceea ce aproximativ inseamnǎ alegerea a douǎ cartiere. Prin esantionarea aleatoare simplǎ, am ales cartierele Astra si Bartolomeu. Urmǎtoarea treaptǎ cuprinde 15% din numǎrul total de strǎzi din cele douǎ cartiere alese, Astra si Bartolomeu.
Din numǎrul de strǎzi ale celor douǎ cartiere voi alege prin esantionare aleatoare simplǎ o stradǎ din fiecare cartier, astfel am ales din cartierul Astra strada Saturn , iar din cartierul Bartolomeu, strada De Mijloc.
In continuare, de pe fiecare stradǎ aleasǎ, din numǎrul total de imobile, am ales aleator 4 imobile, a cate 60 cate un imobil de pe fiecare stradǎ. Astfel pasul mecanic este de 2, (240:110=2,1). Din fiecare apartament, din numǎrul total de persoane, am chestionat o singurǎ persoanǎ cu varsta de peste 18 ani, o datǎ de sex feminin, o datǎ de sex masculin.
3.4.3. Asigurarea reprezentativitatii esantionului, validarea esantionului
Reprezentativitatea esantionului este asigurata prin metoda de esantionare aleasa, prin acordarea de sanse egale fiecarui individ de a fi inclus in esantion. Aceasta duce la minimizarea elementelor subiective de favorizare a unor persoane in momentul selectiei, prin alegerea intamplatoare dupa principiul tragerii la sorti.
Validarea esantionului - caracterizam reprezentativitatea esantionului in raport cu caracteristicile relevante ale populatiei cercetate. Pentru a valida esantionul se foloseste metoda raportului critic.
Totalul populatiei brasovene este de 277945, informatie conform Anuarului Statistic, 2007, din care 52% sunt femei si 48% sunt bǎrbati.
H0: Nu exista o deosebire semnificativa intre procentul femeilor la nivelul populatiei si procentul femeilor la nivelul esantionului.
H1:Existǎ deosebire semnificativa intre procentul femeilor la nivelul populatiei si procentul femeilor la nivelul esantionului.
Sexul respondentului conform rezultatelor esantionului cercetat:
Tabelul nr 3.4.1 cu privire la frecventele si distributia sexului respondentilor



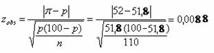
Probabilitatea aleasa este de 95%, pentru care z = 1,96.


Zobs este inclus in intervalul [-1,96; 1,96], deci se accepta ipoteza nula, adica nu exista o deosebire semnificativa intre procentul femeilor la nivelul populatiei si procentul femeilor la nivelul esantionului. Deci, esantionul este valid din punct de vedere a variabilei categorie de firma.
3.5. Analiza intrebǎrilor relevante:
Pentru a putea analiza rezultatele cercetǎrii s-au avut in vedere cateva intrebǎri relevante. Prima intrebare care va fi analizatǎ este cea care ne aratǎ care dintre respondenti sunt clienti Distrigaz Sud GDF SUEZ Energy Romania si care nu sunt.
1.Va rog sa-mi spuneti dacǎ sunteti client GDF SUEZ Energy Romania?
1.da..continuare interviu (trecere la intrebarea nr.3)
nu..stop interviu
Tabelul nr 3.5.1 cu privire la frecventele si distributia clientilor GDF SUEZ Energy Romania



Analizand aceastǎ intrebare se poate observa cǎ toti respondentii sunt clienti GDF SUEZ Energy Romania. Media are valoarea 1 si corespunde rǎspunsurilor afirmative (100%).
Urmǎtoarea intrebare pe care o vom analiza este intrebarea cu nr 3 care ne aratǎ de cat timp sunt clienti ai GDF SUEZ Energy Romania.
3.De cat timp sunteti client GDF SUEZ Energy Romania?
1.0-6 luni
6-12 luni
3.peste 1 an
Tabel nr. 3.5.2 cu privire la frecventele si distributia clientilor GDF SUEZ Energy Romania in legǎturǎ cu timpul de cand sunt acestia clienti



Analizand intrebarea cu numǎrul 3 se observǎ faptul cǎ majoritatea sunt clienti GDF SUEZ Energy Romania de mai mult de 12 luni. Din 110 respondenti 65 sunt clienti de peste 12 luni, 35 sunt clienti de 6-12 luni, iar parte cea mai micǎ o reprezintǎ cei care sunt clienti de 0-6 luni. Modulul are valoarea 3 si corespunde variantei cu cele mai multe rǎspunsuri, care este "peste 12 luni" (65%).
Vom analiza urmǎtoarea intrebare pentru a afla gradul de multumire al clientilor GDF SUEZ Energy Romania cu privire la serviciile furnizate.
4.Sunteti multumit de serviciile furnizate de GDF SUEZ Energy Romania
1.da
nu
Tabel nr. 3.5.3 cu privire la frecventele si distributia celor multumiti de serviciile furnizate de cǎtre GDF SUEZ Energy Romania



Din 110 respondenti am aflat ca 80 respectiv 77% sunt multumiti de serviciile furnizate de cǎtre GDF SUEZ Energy Romania si 30 nu sunt multumiti respectiv 27.3%. Media are valoarea 0.72, abaterea standard de la media esantioanelor are valoarea 0.042, abaterea standard are valoarea 0.44, iar varianta este egalǎ cu 0.20.
In continuare vom analiza intrebare 6 pentru a vedea ce importantǎ au pentru clienti anumite criterii in ceea ce priveste alegerea unui furnizor de gaze naturale. Aceste criterii sunt: costul gazului, timpul necesar pentru racordare si modalitǎtile de platǎ.
6.Ce importantǎ au pentru dvs urmǎtoarele criterii in alegerea unui furnizor de gaze naturale?
|
Foarte important (5) |
Important(4) |
Indiferent (3) |
Neimportant (2) |
Foarte neimportant (1) |
|
|
Costul gazului | |||||
|
Timpul necesar pentru racordare | |||||
|
Modalitǎti de platǎ |
Tabel nr.3.5.4. cu privire la frecventele si distributia criteriilor in alegerea unui furnizor de gaze naturale in ceea ce priveste costul gazului



Analizand aceastǎ intrebare aflǎm cǎ pentru alegerea unui furnizor de gaze naturale clientii acordǎ o foarte mare importantǎ costului gazului. Pentru 80 de respondenti din 110 constul gazului este "foarte important" si pentru 30 este "important". Modulul are valoarea 1 si corespunde variantei cu cele mai multe rǎspunsuri "foarte important" caracterizatǎ cu 77 puncte procentuale.
Tabel nr. 3.5.5 cu privire la frecventele si distributia criteriilor in alegerea unui furnizor de gaze naturale in ceea ce priveste timpul necesar pentru racordare



In ceea ce priveste timpul necesar pentru racordare respondentii considerǎ cǎ are o mai micǎ importantǎ in alegerea unui furnizor de gaze naturale, 71 considerandu-l important si doar 39 foarte important. Modulul are valoarea 2 si corespunde variantei cu cele mai multe raspunsuri, adicǎ "important"(64.5%). Media are valoarea 1.64 si mediana are valoarea
Tabel nr. 3.5.6. cu privire la frecventele si distributia criteriilor in alegerea unui furnizor de gaze naturale in ceea ce priveste modalitǎtile de platǎ


Dacǎ facem referire la modalitǎtile de platǎ vom afla faptul cǎ clientii se ghideazǎ dupǎ acestea in proportie de 30% acordand o foarte mare importantǎ acestora, 39.1% considerandu-le "importante" si 30.9% din respondenti considerǎ "indiferentǎ" modalitatea de platǎ in ceea ce priveste alegerea unui furnizor de gaze naturale. Modulul are valoarea 2 si corespunde variantei cu cele mai multe rǎspunsuri "important" (39.1%). Media are valoarea 2 ca si mediana.
Urmǎtoare intrebare analizatǎ va fi aceea care ne aratǎ dacǎ respondetii sunt multumiti de modul in care sunt tratati de cǎtre personalul Distrigaz Sud la solicitare unor informatii.
7.Sunteti multumiti de modul cum vǎ trateazǎ personalul Distrigaz la solicitarea unor informatii?
1.da
nu
Tabel nr. 3.5.7. cu privire la frecventele si distributia clientilor multumiti de gradul de tratere al personalului GDF SUEZ Energy Romania.



Analizand aceastǎ intrebare am aflat cǎ 70.9% dintre respondeti sunt "multumiti" de felul in care sunt tratati de cǎtre personalul GDF SUEZ Energy Romania la solicitarea unor informatii si 29.1% sunt "nemultumiti". Media are valoarea 0.709 si corespunde rǎspunsurilor afirmative (70/9%). Abaterea standard de la media esantioanelor are valoarea 0.043, abaterea standard are valoarea 0.45, iar varianta este egalǎ cu 0.208.
Pentru a analiza cum apreciazǎ respondentii gradul de implicare a personalului in ceea ce priveste rezolvarea anumitor probleme am ales urmǎtoare intrebare:
9.Cum apreciati gradul de implicare a personalului in ceea ce priveste rezolvarea anumitor probleme?
1.grad ridicat
asa si asa
3.grad scǎzut
Tabel nr. 3.5.8. cu privire la frecventele si distributia gradului de implicare a personalului in ceea ce priveste rezolvarea anumitor probleme



Din cei 110 respondenti 84 considerǎ cǎ personalul de contact al GDF SUEZ Energy Romania are un grad ridicat de implicare, iar 26 dintre ei spun cǎ gradul personalului de implicare este "asa si asa". Media are valoarea 1 si corespunde variantei cu cele mai multe rǎspunsuri, adicǎ "grad ridicat" (76.4%).
In continuare am analizat intrebarea nr 10 pentru a afla pǎrerea respondentilor in ceea ce priveste imaginea dobandita de GDF SUEZ Energy Romania de-a lungul timpului.
10.Ce parere aveti despre imaginea dobandita de catre GDF SUEZ Energy Romania de-a lungul timpului distanta intre nivele este egala.
|
Foarte buna (5) |
Buna (4) |
Asa si asa (3) |
Slaba (2) |
Foarte slaba(1) |
Tabel nr. 3.5.9. cu privire la frecventele si distributia pǎrerii avute de cǎtre clienti despre imaginea dobandita de catre GDF SUEZ Energy Romania de-a lungul timpului


Majoritatea respondentilor considera ca GDF SUEZ Energy Romania a dobandit de-a lungul timpului o imagine "buna", respectiv 61.8% dintre cei chestionati, iar 20% spun ca GDF SUEZ Energy Romania are o imagine mai putin bunǎ, " asa si asa" si 18.2% apreciaza ca Distrigaz Sud are o imagine "foarte bunǎ". Media are valoarea 3.98, abaterea standard de la media esantioanelor are valoarea 0.059, abaterea standard are valoarea 0.62, iar varianta este egala cu 0.38.
Vom analiza intrebarea urmatoare pentru a afla daca respondenti considera ca GDF SUEZ Energy Romania este lider pe piata.
11.Considerati ca firma GDF SUEZ Energy Romania este lider pe piata?
1.da
nu
Tabel nr. 3.5.10. cu privire la frecventele si distributia in legatura cu pǎrerile despre GDF SUEZ Energy Romania ca fiind lider pe piata.


Analizand aceasta intrebare am observat faptul ca toti respondentii sunt de parere ca GDF SUEZ Energy Romania este lider pe piata. Toti cei 110 respondenti au rǎspuns cu da. Media are valoarea 1 si corespunde raspunsurilor afirmative (100%).
Urmatoarea intrebare analizata ne ajuta sa aflǎm cum apreciaza respondentii modul de facturare al GDF SUEZ Energy Romania
1Cum apreciati modul de facturare al firmei?
|
Foarte bun (5) |
Bun (4) |
Asa si asa (3) |
Slab (20) |
Foarte slab (1) |
Tabel nr. 3.5.11. cu privire la frecventele si distributia aprecierii modului de facturare al GDF SUEZ Energy Romania



48.2% dintre respondenti considera ca GDF SUEZ Energy Romania beneficiaza de un mod de facturare foarte bun, iar 51.8% cred despre modul de facturare ca este doar "bun". Modulul are valoarea 4 si corespunde variantei cu cele mai multe raspunsuri "bun" (51.8).
Ne intereseaza sa aflam cum prefera respondentii sa achite factura GDF SUEZ Energy Romania, iar pentru asta am ales sa analizam intrebarea urmǎtoare:
13.Cum preferati sa achitati factura?
1.la sediul GDF SUEZ Energy Romania
prin card
3.cu ajutorul internetului
4.alte modalitati
Tabel nr. 3.5.1 cu privire la frecventele si distributia preferintelor in legǎturǎ de achitarea a facturii


Analiza ne arata ca majoritatea repondentilor, adica 74.5%, respectiv 82 din 110 respondenti preferǎ sǎ achite factura la sediul GDF SUEZ Energy Romania, restul de 20.9% dintre cei chestionati utilizeaza cardul pentru plata facturii, 1.8% isi achita factura GDF SUEZ Energy Romania cu ajutorul internetului, iar 7% prefera sa utilizeze alte modalitati. Modulul are valoarea 1 si corespunde variantei "la sediul GDF SUEZ Energy Romania
In continuare am ales sa analizam intrebarea nr 16:
16.Ce pǎrere aveti in legaturǎ cu presiunea la gaz?Aceasta este:
|
Foarte buna (5) |
Buna (4) |
Asa si asa (3) |
Slaba (2) |
Foarte slaba (1) |
Tabel nr. 3.5.13. cu privire la frecventele si distributia pǎrerii avute despre presiunea la gaz



Aceasta analizǎ ne oferǎ informatii cu privire la parerile respondentilor in ceea ce priveste presiunea gazului. Majoritatea respondentilor, 50 din 110 preciaza presiunea gazului ca fiind "buna", 28 sunt de parere ca este "foarte buna" iar 32 din ei "nu sunt foarte multumiti" alegand varianta "asa si asa". Media are valoarea 4 si corespunde variantei "buna" (45.5%). Media are valoarea 3.96, iar mediana are valoarea 4.
Deoarce multi se plang de scumpirea gazului am ales sǎ analizam intrebarea nr 17 pentru a afla parerea respondentilor.
17.Cum apreciati nivelul tarifelor practicate de firma GDF SUEZ Energy Romania
|
Foarte ridicat (5) |
Ridicat (4) |
Asa si asa (3) |
Scazut (2) |
Foarte scazut (1) |
Tabel nr. 3.5.14. cu privire la frecventele si distributia nivelului tarifelor practicate de GDF SUEZ Energy Romania



55 dintre respondenti considera cǎ pretul gazului este foarte ridicat, 53 spun despre pretul gazului ca este ridicat, iar 2 dintre respondenti aleg varianta " asa si asa". Modulul are valoarea 5 si corespunde variantei "foarte ridicat" (50%). Media are valoarea 4.48, iar mediana are valoarea 4.5.
Pentru a afla cati dintre repondenti vor ramane in continuare clienti GDF SUEZ Energy Romania am analizat intrebarea nr 18:
18.Intentionati pe viitor sa ramaneti client GDF SUEZ Energy Romania
1.da
nu
Tabel nr. 3.5.15. cu privire la frecventele si distributia viitorilor clienti ai GDF SUEZ Energy Romania


Am aflat ca toti cei 110 respondenti vor ramane pe viitor clienti ai Distriaz Sud.
In continuare vom analiza intrebarea nr. 19:
19.Sunteti multumit de faptul ca GDF SUEZ Energy Romania a fost preluat in proportie de 51% de catre Grupul Gaz de France?
1.da
nu
Tabel nr. 3.5.16. cu privire la frecventele si distributia gradului de multumire in legaturǎ cu faptul ca Distrigaz Sud a fost preluat in proportie de 51% de catre Grupul Gaz de France



Analizand aceasta intrebare vom putea identifica cati dintre respondenti sunt multumiti de faptul ca Distrigaz Sud a fost preluat in proportie de 51% de catre Grupul Gaz de France. Am aflat ca 55.5% nu sunt multumiti de acest lucru iar restul de 44.5% sunt multumiti. Media are valoarea 1 si corespunde raspunsurilor afirmative.
3.6 ESTIMAREA MEDIEI SI A PROCENTULUI
Pentru estimarea mediei si a procentului am avut in vedere intrebarile 10 si 4, fiind cele mai potrivite.
Estimarea mediei:
10.Ce parere aveti despre imaginea dobandita de catre GDF SUEZ Energy Romania de-a lungul timpului?
|
Foarte buna (5) |
Buna (4) |
Asa si asa (3) |
Slaba (2) |
Foarte slaba(1) |

Pentru estimarea mediei am avut in vedere intrebarea numarul 10. Media are valoarea 3,98. Se observǎ ca limita inferioara a intervalului de incredere este 3,86 iar cea superioara este 4,09. Astfel la nivelul populatiei totale, putem garanta cu o probabilitate de 95% ca media satisfactiei resimtita de catre respondenti cu privire la imaginea dobanditǎ de GDF SUEZ Energy Romania de-a lungul timpului poate lua valori in intervalul [3,86;4,09]. Eroarea de esantionare este de 0,12, valoare care se scade si se aduna la media esantionului pentru obtinerea intervalului de incredere.
3.6.2 Estimarea procentului
4.Sunteti multumit de serviciile furnizate de GDF SUEZ Energy Romania
1.da
nu

Media are valoarea de 0,72 si semnificǎ faptul ca 72% dintre membrii esantionului sunt multumiti de serviciile furnizate de GDF SUEZ Energy Romania. La nivelul populatiei totale putem garanta cu o probabilitate de 95% ca procentul celor care sunt multumiti de serviciile furnizate de GDF SUEZ Energy Romania se situeaza in intervalul [64%;81%]. Datorita unei dimensiuni relativ reduse a esantionului (110 de persoane), eroarea aleatoare de esantionare este de ±9%, valoare care se scade si se aduna la media esantionului pentru obtinerea intervalului de incredere.
3.7. Testarea ipotezelor
Pentru testarea primului set de ipoteze statistice am avut in vedere intrebarea numǎrul 4.
4.Sunteti multumit de serviciile furnizate de GDF SUEZ Energy Romania
1.da
nu
1) Ho: Cel mult 40% dintre consumatori sunt multumiti de serviciile furnizate de GDF SUEZ Energy Romania
H1: Mai mult de 40% dintre consumatori sunt multumiti de serviciile furnizate de GDF SUEZ Energy Romania
H0=40%
H1≠40%
Tabelul nr.3.7.1. Datele obtinute in urma aplicǎrii testului T -Student

Pentru interpretarea rezultatelor testǎrii ipotezei statistice, comparǎm valoarea t = 7,67 reprezinta valoarea raportului critic tobs, existand un numar de 109 grade de libertate (df = n-1). Fiind vorba despre un test bilateral, aceastǎ valoare se compara cu valoarea din tabelul legii de distributie T-Student t0,05;119=1,96 (valoarea pentru nivelul de semnificatie α=0.05 in cazul testului bilateral). Se oservǎ cǎ tobs=7,67> t0,05;119=1,96, prin urmare putem garanta cu o probabilitate de 95% ca la nivelul populatiei cercetate procentul celor care sunt multumiti de serviciile furnizate de GDF SUEZ Energy Romania este diferit de 40%, deci se accepta H1.
Valoarea nivelului de semnificatie (Sig 2-tailed = 0,00) este mai micǎ decat α = 0,05, rezulta ca se respinge H0 si se acceptǎ H1. Aceeasi decizie se poate lua si in urma observarii limitelor intervalului de incredere, acestea sunt pozitive, deci nu contin valoarea 0, inseamna ca se accepta ipoteza H1 conform careia procentul celor care sunt multumiti de serviciile furnizate de Distrigaz este diferit de 40%.
Al doilea set de ipoteze sunt fundamentate pe intrebarea numǎrul 7.
7.Sunteti multumit de modul cum vǎ trateazǎ personalul GDF SUEZ Energy Romania la solicitarea unor informatii?
1.da
nu
H1:cel mult 40% dintre respondenti sunt multumiti de modul cum sunt tratati de personalul GDF SUEZ Energy Romania la solicitatrea unor informatii
H1:mai mult de 40% dintre respondenti sunt multumiti de modul cum sunt tratati de personalul GDF SUEZ Energy Romania la solicitatrea unor informatii
H0=40%
H1≠40%
Tabelul nr.3.7. Datele obtinute in urma aplicǎrii testului T -Student

Pentru interpretarea rezultatelor testǎrii ipotezei statistice, comparǎm valoarea t = 7,1 reprezinta valoarea raportului critic tobs, existand un numar de 109 grade de libertate (df = n-1). Fiind vorba despre un test bilateral, aceastǎ valoare se compara cu valoarea din tabelul legii de distributie T-Student t0,05;119=1,96 (valoarea pentru nivelul de semnificatie α=0.05 in cazul testului bilateral). Se oservǎ cǎ tobs=7,1> t0,05;119=1,96, prin urmare putem garanta cu o probabilitate de 95% ca la nivelul populatiei cercetate procentul celor care sunt multumiti de modul in care sunt tratati de cǎtre personalul GDF SUEZ Energy Romania la solicitarea unor informatii este diferitǎ de 40%, deci se acceptǎ H1.
Valoarea nivelului de semnificatie (Sig 2-tailed = 0,00) este mai micǎ decat α = 0,05, rezulta ca se respinge H0 si se acceptǎ H1. Aceeasi decizie se poate lua si in urma observarii limitelor intervalului de incredere, acestea sunt pozitive, deci nu contin valoarea 0, inseamna ca se accepta ipoteza H1 conform careia procentul celor care sunt multumiti de personalul GDF SUEZ Energy Romania este diferit de 40%.
Al treilea set de ipoteze sunt analizate cu ajutorul intrebǎrii numarul 10.
10.Ce parere aveti despre imaginea dobanditǎ de cǎtre GDF SUEZ Energy Romania de-a lungul timpului?
|
Foarte buna (5) |
Buna (4) |
Asa si asa (3) |
Slaba (2) |
Foarte slaba(1) |
3) Ho:Cel mult 60% dintre consumatori au o parere bunǎ cu privire la imaginea dobanditǎ de GDF SUEZ Energy Romania
H1:Mai mult de 60% dintre consumatori au o parere bunǎ cu privire la imaginea dobanditǎ de GDF SUEZ Energy Romania
H0=60%
H1≠60%
Tabelul nr.3.7.3. Datele obtinute in urma aplicǎrii testului T -Student


Pentru interpretarea rezultatelor testǎrii ipotezei statistice, comparǎm valoarea t = 57,1 reprezinta valoarea raportului critic tobs, existand un numar de 109 grade de libertate (df = n-1). Fiind vorba despre un test bilateral, aceastǎ valoare se compara cu valoarea din tabelul legii de distributie T-Student t0,05;119=1,96 (valoarea pentru nivelul de semnificatie =0.05 in cazul testului bilateral). Se oservǎ cǎ tobs=57,1> t0,05;119=1,96, prin urmare putem garanta cu o probabilitate de 95% ca la nivelul populatiei cercetate procentul celor care au o pǎrere bunǎ cu privire la imaginea dobanditǎ de Distrigaz este diferit de 40%, deci se acceptǎ H1
Valoarea nivelului de semnificatie (Sig 2-tailed = 0,00) este mai mic decat α = 0,05, rezulta ca se respinge H0 si se acceptǎ H1. Aceeasi decizie se poate lua si in urma observarii limitelor intervalului de incredere, acestea sunt pozitive, deci nu contin valoarea 0, inseamna ca se accepta ipoteza H1 conform careia procentul celor care au pǎrere bunǎ cu privire la imaginea dobanditǎ de GDF SUEZ Energy Romania este diferit de 40%.
Al patrulea set de ipoteze statistice este analizat cu ajutorul intrebarii numǎrul 19.
19.Sunteti multumit de faptul cǎ GDF SUEZ Energy Romania a fost preluat in proportie de 51% de cǎtre Grupul Gaz de France?
1.da
nu
Ho: cel mult 30% dintre consumatori sunt multumiti de faptul cǎ Gaz de France dobandeste partea majoritarǎ din capital
H1: mai mult 30% dintre consumatori sunt multumiti de faptul cǎ Gaz de France dobandeste partea majoritarǎ din capital
H0=30%
H1≠30%
Tabelul nr.3.7.4. Datele obtinute in urma aplicǎrii testului T -Student


44% sunt multumiti, media este de 0,44.
Pentru interpretarea rezultatelor testǎrii ipotezei statistice, comparǎm valoarea t = 3,05 reprezinta valoarea raportului critic tobs, existand un numar de 109 grade de libertate (df = n-1). Fiind vorba despre un test bilateral, aceastǎ valoare se compara cu valoarea din tabelul legii de distributie T-Student t0,05;119=1,96 (valoarea pentru nivelul de semnificatie =0.05 in cazul testului bilateral). Se oservǎ cǎ tobs=3,05> t0,05;119=1,96, prin urmare putem garanta cu o probabilitate de 95% ca la nivelul populatiei cercetate procentul celor care sunt multumiti de faptul cǎ Gaz de France detine pachetul majoritar de actiuni este diferit de 40%, deci se acceptǎ H1.
Valoarea nivelului de semnificatie (Sig 2-tailed = 0,00) este mai mic decat α = 0,05, rezulta ca se respinge H0 si se acceptǎ H1. Aceeasi decizie se poate lua si in urma observarii limitelor intervalului de incredere, acestea sunt pozitive, deci nu contin valoarea 0, inseamna ca se accepta ipoteza H1 conform careia procentul celor care sunt multumiti de faptul cǎ Gaz de France detine pachetul majoritar de actiuni diferit de 40%.
3.8. Testarea legǎturilor
Pentru a testa dacǎ existǎ legaturǎ intre varsta respondentului si gradul de satisfactie resimtit de acesta cu privire la modul in care este tratat de cǎtre personalul de contact GDF SUEZ Energy Romania am aplicat testul Pearson Chi-Square.
Ho.Nu existǎ diferentǎ intre varsta respondentului Ii gradul de satisfactie resimtit de acesta cu privire la modul in care este tratat de cǎtre personalul de contact GDF SUEZ Energy Romania
H1.Existǎ diferentǎ intre varsta respondentului si gradul de satisfactie resimtit de acesta cu privire la modul in care este tratat de cǎtre personalul de contact GDF SUEZ Energy Romania.

Realizand testul Pearson Chi-Square se poate observa cǎ: numarul de grade de libertate df =2, χ2calc=25,413, care se comparǎ cu valoarea critica din tabel χ20,05;2=5,99 si datorita faptului ca este mai mare, se accepta ipoteza alternativǎ in sensul ca putem garanta cu o probabilitate de 95% ca exista diferentǎ intre cele doua variabile. In concluzie, nu existǎ legatura intre varsta respondentului si gradul de satisfactie resimtit de acesta cu privire la modul in care este tratat de cǎtre personalul de contact GDF SUEZ Energy Romania.
Dupǎ cum am mai afirmat, cercetarea de marketing are un rol deosebit de important in fundamentarea deciciilor unei firme cu privire la imbunǎtǎtirea activitǎtii acesteia intr-o anumitǎ perioadǎ de timp.
In urma realizǎrii cercetǎrii de marketing in randul populatiei brasovene cu privire la imaginea pe care o are firma GDF SUEZ Energy Romania In randul consumatorilor de utilitǎti publice, am putut afla cateva informatii necesare si de care firma ar trebui sǎ tinǎ cont. Majoritatea respondentilor sunt clienti de peste 12 luni, adicǎ 1 an, pe locul 2 se aflǎ cei care sunt clienti in intrevalul de timp 6-12 luni, iar ponderea cea mai micǎ este detinutǎ de cei care sunt clienti de foarte putin timp, sub 6 luni. In general respondentii sunt multumiti de serviciile furnizate de GDF SUEZ Energy Romania in proportie de 72,7%, fatǎ de un procent de 27,3%. ǎn alegerea serviciilor furnizate de Distrigaz Sud criteriile: costul gazului, timpul necesar pentru racordare si mdalitǎtile de platǎ sunt importante. Astfel costul gazului este considerat "foarte important" pentru un procent de 72,7%; timpul necesar pentu racordare este considerat "important" pentru un procent de 64,5%, iar modalitǎtile de platǎ au fost considerate "importante" pentru un procent de 39,1%. Respondentii sunt multumiti de modul in care sunt tratati de cǎtre personalul de contact la solicitarea unor informatii in proportie de 70,9%, fatǎ de cei care nu sunt multumiti(29,1%). In ceea ce priveste aprecierea gradului de implicare a personalului in rezolvarea anumitor probleme, respondentii au apreciat "grad ridicat" cu un procent de 76,4%. Respondentii au fost intrebati ce pǎrere au despre imaginea dobanditǎ de cǎtre Distrigaz Sud de-a lungul timpului si au rǎspuns cǎ in proportie de 61,8% cǎ au o pǎrere foarte bunǎ. In procent de 100%, respondentii au rǎspuns cǎ GDF SUEZ Energy Romania este lider pe piatǎ.
Respondentii apreciazǎ modalitǎtile de facturare ca fiind bune, in procent de 51,8%, si foarte bun in procent de 48,2%. Majoritatea respondentilor sunt multumiti de platǎ facturii la sediul GDF SUEZ Energy Romania in proportie de 74,5%. Presiunea la gaz este multumitoare, respondentii considerand cǎ este bunǎ in proportie de 45,5%. Tarifele practicate de cǎtre GDF SUEZ Energy Romania sunt apreciate ca fiind ridicate cu un procent de 50%. Toti respondentii doresc insǎ sǎ rǎmanǎ clienti fideli GDF SUEZ Energy Romania in proportie de 100%. Intrebati dacǎ sunt multumiti de faptul cǎ Gaz de France dobandeste partea majoritarǎ a actiunilor GDF SUEZ Energy Romania, respondentii au rǎspuns cǎ nu sunt multumiti, in proportie de 55,5%.
CAPITOLUL IV
CONCLUZII SI PROPUNERI
In activitatea oricarei organizatii, indiferent de obiectul sau de activitate, imaginea are o insemnatate deosebita. Fie ca este vorba de promovarea imaginii de ansamblu a organizatie, fie ca este avut in vedere un produs sau un serviciu al acesteia, toate actiunile specifice acestei variabile a mixului de marketing sunt orientate in directia stabilirii unei relatii pe termen lung cu clientii, relatie fondata pe baza succesului obtinut de organizatie in ceea ce priveste satisfacerea in conditii optime a nevoilor si cerintelor acestora.
Deoarece in ultimii ani principala tendintǎ a fost dezvoltarea serviciilor, acestora trebuie sǎ le acordam o importantǎ deosebitǎ. Ramurile de servicii sunt destul de variate, serviciile facandu-si aparitia in: sectorul guvernamental, sectorul privat non-profit, sectorul commercial si cel productiv. Serviciile sunt impǎrtite in mai multe categorii dupa obiectivele urmarite, in functie de nevoile pe care le satisfac, in functie de prezenta clientului si de criteriul fundamentului de realizare, toatea acestea venind sa satisfaca pe deplin cerintele clientilor.
Datorita cararsteristicilor pe care le poseda serviciile adica, intangibilitatea, inseparabilitatea, variabilitatea si perisabilitatea anumite servicii intampinǎ un grad de risc mai ridicat decat cel al bunurilor in ceea ce priveste achizitionarea lor. De aceea consumatorii de servicii se bazeazǎ mai mult pe publicitatea facutǎ de alti consumatori decat pe cea organizatǎ de furnizori si in acelasi timp bazandu-se si pe pretul serviciului deoarece acesta le poate da anumite indicii in ceea ce priveste aprecierea calitǎtii. Datoritǎ faptului cǎ un serviciu nu poate fi vǎzut, gustat, pipǎit, auzit sau mirosit inainte de a fi cumpǎrat vin in ajutor alte instrumente de marketing pentru a-I facilita, cum ar fi: ambientul fizic care trebuie sǎ sugereze servirea promptǎ, personalul care ajutǎ la furnizarea serviciului respectiv care trebuie sa fie in permanentǎ activ, echipamentele folosite care trebuie sǎ fie moderne si sǎ fie eficiente, materialele informative, anumite simboluri, pretul utilizat etc.
Dat fiind faptul cǎ majoritatea serviciilor sunt furnizate de oameni, selectia, instruirea si motivatia personalului pot sǎ conteze extraordinar de mult pentru satisfactia clientului si ajutǎ la formarea imaginii firmei respective. Angajatii firmelor de servicii trebuie sǎ manifeste competentǎ, o atitudine grijulie, receptivitate, capacitate de rezolvare a problemelor si bunavointǎ.
Asteptǎrile clientilor sunt adevǎratele criterii dupǎ care se apreciazǎ calitatea unui serviciu de aceea firmele de servicii trebuie sǎ dea dovadǎ de seriozitate In ceea ce priveste prestarea serviciului respectiv.
In aceastǎ lucrarea am realizat o cercetare de marketing pentru a afla opiniile, atitudiniile si comportamentel populatie brasovene in ceea ce priveste imaginea pe care o are Distrigaz Sud in randul acestora.
GDF SUEZ Energy Romania este o societate comercialǎ, lider pe piata gazelor din Romania. Structura actionarului societǎtii fiind mixtǎ, Gaz de France dobandind partea majoritatrǎ a actiunilor. Misiunea acestei firmei este aceea de a-si dezvoltea activitatea si de a-si crea valoare oferind servicii de cea mai buna calitate. In iulie 2008 grupul Gaz de France a fuzionat cu grupul belgian SUEZ, dand nastere noului lider mondial energetic GDF SUEZ.
Compania GDF SUEZ Energy Romania isi da seama cǎ piata si marketingul trec printr-o revolutie majorǎ, de aceea ea doreste sǎ-si mentinǎ pozitia de lider pe piatǎ, incercand sǎ isi pǎstreze clientii si sǎ castige altii noi. Compania se adapteazǎ cerintelor pietei si pentru aceasta cautǎ sǎ-si pǎstreze o imagine bunǎ.
O serie de elemente utillizeazǎ GDF SUEZ Energy Romania in formarea imaginii: teren, clǎdirea, ambianta, echipamentele, tehnologia, personalul etc. GDF SUEZ Energy Romania utilizeazǎ promovarea internǎ cu ajutorul suporturilor materiale: cu ajutorul afiselor, pliantelor si indicatoarelor de informare; promovarea internǎ interpersonalǎ care este realizatǎ prin aparitia personalului de contact si a clientiilor, deoarece in functie de cum au fost serviti, tratati si informati acestia pot promova serviciul respectiv vorbind despre el si altor clienti; promovarea externǎ prin mijloacele materiale care utilizeazǎ marca si simbolurile. promovarea externǎ interpersonalǎ: cu ajutorul fortelor de vanzare si prin comunicatia prin viu grai.
Activitatile de sponsorizare si mecenat ajutǎ GDF SUEZ Energy Romania la formarea imaginii. Prin participarea la sponsorizari, Distrigaz Sud are in vedere urmatoarele obiective: promovarea principalelor valori ale companiei; durabilitatea relatiilor, modernitatea solutiilor, respectul mediului inconjurǎtor eleborarea unui renume comeriale sustinerea proiectelor importante de transformare a societatii proiectelor; iar prin activitǎtile de mercenat in mod special GDF SUEZ Energy Romania vizeaza infrumusetarea mediului, ameliorarea conditiilor de viata si sustinerea tinerilor, facilitarea integrarii sociale a categoriilor defavorizate.
Dinamismul, efortul si performanta sunt calitati pe care GDF SUEZ Energy Romania le asociaza cu propria imagine si doreste sa le promoveze. De aceea, Distrigaz Sud se implica activ in promovarea sportului de performanta dar si a celui destinat publicului larg
Deorece GDF SUEZ Energy Romania apreciaza sportul si anume asocierea cu imaginea efortului depus de societate in vederea obtinerii performantei acesta sponsorizeazǎ si organizeazǎ importante si diferite evenimente sportive. GDF SUEZ Energy Romania este implicat in diferite programe care ajutǎ la protejarea mediului inconjurǎtor. Diferitele activitǎti desfasurate de cǎtre GDF SUEZ Energy Romania ajutǎ aceastǎ societate in formarea unei imagini pozitive in randul clientilor sǎi.
Unul dintre obiectivele societatii GDF SUEZ Energy Romania este de a sprijini autoritatile locale in regiunile unde asigura alimentarea cu gaze in diverse proiecte sociale, solidaritatea numarandu-se printre valorile promovate de catre compania GDF SUEZ Energy Romania
Aceste activitati prezentate mai sus au un rol deosebit in formarea imaginii acestei firme, deoarece populatia ramane placut impresionata de aceste implicari ale firmei in viata de zi cu zi a oamenilor obisnuiti.
Realizand aceastǎ cercetare am cules informatii de la respondenti afland pǎrearea lor in legaturǎ cu GDF SUEZ Energy Romania. Toti dintre cei 110 respondenti sunt clienti ai GDF SUEZ Energy Romania ceea ce a facut foarte usoarǎ culegerea anumitor informatii de la ei privind activitǎtile desfasurate de catre aceastǎ firmǎ. Majoritatea respondentiilor fiind clienti ai acestei scocieteati de mai mult de un an, acestia fiind multumiti de serviciile furnizate de GDF SUEZ Energy Romania. Am aflat cǎ in alegerea unui furnizor de gaze naturale foarte multi pun accentul in primul rand pe costul gazului apoi pe timpul necesar pentru racordare, cel mai putin important reprezentand modalitatea de platǎ.
Deoarece GDF SUEZ Energy Romania a creat un aspect si un stil sesizabil al modului in care ii trateazǎ pe clienti, am aflat de la acestia cǎ majoritatea sunt foarte multumiti de felul in care sunt tratati de personalul GDF SUEZ Energy Romania la solicitarea unor informatii si gradul de implicare a personalului in ceea ce priveste rezolvarea anumitor probleme il apreciazǎ ca fiind ridicat.
In randul clientilor sǎi GDF SUEZ Energy Romania a dobandit de-a lungul timpului o imagine bunǎ datoritǎ serviciilor pe care le oferǎ clientiilor sǎi cu un mod de facturare foarte bun, cu diferite modalitǎti de platǎ, cele preferate de clientii fiind acelea la sediul firmei, cu o presiune a gazului ca fiind "bunǎ". Ceea ce ii nemultumeste pe respondentii nostri este faptul cǎDistrigaz Sud practicǎ un pret ridicat si faptul cǎ GDF SUEZ Energy Romania a fost preluat in proportie de 51% de cǎtre Grupul Gaz de France, insa toti repondentii doresc sǎ rǎmanǎ clienti ai GDF SUEZ Energy Romania pe viitor.
GDF SUEZ Energy Romania se straduieste sǎ prezinte clientilor o imagine realistǎ a serviciului pe care il oferǎ, existand intodeauna o comunicare permanentǎ intre angajatii care ii servesc pe clienti si cei care fac promisiuni clientilor si verificandu-se intodeuana acuratetea mesajelor promotionale inainte de a fi difuzate pe piatǎ. Este o prioritate pentru Distigaz Sud ca serviciul sǎ fie bine prestat incǎ de la inceput, seriozitatea in prestarea serviciului fiind un criteriu de a ajunge la asteptarile clientilor. Personalul GDF SUEZ Energy Romania este instruit in ceea ce priveste prezentarea serviciului si este dispus oricand sǎ ofere informatii clientilor comunicand eficient cu clientii.
Imbunatatirea continua a eficacitatii societatii, nu inseamna ca imbunatatirile au fost strict legate de produsul sau serviciul oferit de societate, aceasta a aparut in procese, comunicare, resurse umane, sisteme de evaluare mai bune, etc., orice modificare realizata de societate care a condus la rezultate mai bune fata de un moment anterior, reprezinta o imbunatatire.
BIBLIOGRAFIE GENERALA:
1).Balaure, V., "Marketing", Editura Uranus, Bucuresti, 2002
2).Balaure, V., Popescu, I. C., Serbanica, D. "Tehnici promotionale", Editura Metropol, Bucuresti, 1994
3).Blythe, J., " Esentialul in marketing", Editura Rentrop & Straton, Bucuresti, 2005
4).Brǎtucu, G., Ispas,A., Chitu,I.," Marketingul serviciilor publice", Editura Infomarket, Brasov
5).Constantin, C., " Cercetari de marketing" Editura Infomarket, Brasov
6).Constantin, C., " Sisteme informatice de marketing" . Editura Infomarket, Brasov, 2006
7).Ioncicǎ, M., Minciu, R., Stǎnciulescu, G., " Economia serviciilor " Editura Uranus, Bucuresti,
1997
8).Ioncicǎ, M., Pǎdureanu, M., Popescu, D., " Economia Serviciilor " Editura Uranus, Bucuresti, 2004
9).Kotler, Ph., "Managementul Marketingului", Editura Teora, 2002
10).Kotler, Ph.; Armstrong, G.; Saunders, J.; Wong, V. "Principles of Marketing", Second European Edition, Prentice Hall Europe, 1999
11).Lefter, C., Brǎtucu, G., Bǎlǎsescu, M., Chitu, I., Tecǎu, A., " Marketing", Editura Universitatii Transilvania, Brasov, 2006
12).Lefter, C, "Cercetari de marketing", Editura Universitatii Transilvania, Brasov, 2004
13).Manfred, B., " Marketing ", Editura Ecxonomica, Bucuresti, 1999
14).Radu, E., " Managementus serviciilor", Editura Expert, Bucuresti, 2000
15)0Rahǎu, L., Neagu, G., " Marketing" Editura Risoprint, Bucuresti, 2005
16).Popescu, I. C., "Comunicare in marketing", Editura Uranus, Bucuresti, 2003
17).Tecau Alina, Curs Cercetari de Marketing, Universitatea Transilvania din Brasov, Facultatea de Stiinte Economice
18).Urs, P., Toroc, G., " Secretele succesului in marketing", Editura Teora, Bucuresti, 2001
19).Valericǎ, O., "Marketingul Serviciilor", Editura Ecomar, Bucuresti, 2005
20).Veghes, C., " Marketing direct", Editura Uranus, Bucuresti, 2003
|
Politica de confidentialitate |
| Copyright ©
2025 - Toate drepturile rezervate. Toate documentele au caracter informativ cu scop educational. |
Personaje din literatura |
| Baltagul – caracterizarea personajelor |
| Caracterizare Alexandru Lapusneanul |
| Caracterizarea lui Gavilescu |
| Caracterizarea personajelor negative din basmul |
Tehnica si mecanica |
| Cuplaje - definitii. notatii. exemple. repere istorice. |
| Actionare macara |
| Reprezentarea si cotarea filetelor |
Geografie |
| Turismul pe terra |
| Vulcanii Și mediul |
| Padurile pe terra si industrializarea lemnului |
| Termeni si conditii |
| Contact |
| Creeaza si tu |