Calcularea si corectarea factorului de putere
Unghiul acestui "triunghi al puterilor" reprezinta raportul dintre valoarea puterii disipate (sau consumate) si cantitatea de putere absorbita/returnata. De asemenea, reprezinta si unghiul de faza al impedantei circuitului, sub forma polara. Acest raport dintre puterea reala si puterea aparenta poarta numele de factor de putere al circuitului (k). De asemenea, din geometria triunghiului, putem deduce ca factorul de putere este egal si cu cosinusul unghiului de faza. Folosind valorile din circuitul precedent:

Fiind calculat ca un raport, factorul de putere nu are unitate de masura.
Pentru circuitele pur rezistive, factorul de putere este 1 (perfect), deoarece puterea reactiva este egala cu zero. In acest caz, triunghiul puterilor este o linie orizontala, deoarece latura opusa (puterea reactiva) va avea lungimea zero.
Pentru circuitele pur inductive, factorul de putere este zero, datorita faptului ca puterea reala este zero. In acest caz, triunghiul puterilor este o linie verticala, deoarece latura adiacenta (puterea reala) va avea lungimea zero. Acelasi lucru este valabil si pentru circuitele pur capacitive, doar ca sensul liniei verticale va fi in jos, nu in sus, cum este cazul circuitelor pur inductive.
Factorul de putere este un element foarte important in proiectarea circuitelor electrice de curent alternativ, deoarece un factor de putere mai mic decat 1 inseamna ca circuitul respectiv, sau mai bine spus, conductorii circuitului in cauza, trebuie sa conduca mai mult curent decat ar fi necesar daca reactanta circuitului ar fi zero, caz in care, cu un curent mai mic, puterea reala distribuita pe sarcina ar fi aceeasi. Un curent mai mare inseamna sectiuni ale conductorilor mai mari, ceea ce afecteaza direct costurile realizarii instalatiei electrice. Daca circuitul considerat mai sus, ar fi fost pur rezistiv, am fi putut transporta o putere de 169,25 W spre sarcina, cu aceeasi valoare a curentului de 1,410 A, si nu doar 119,36 W, valoare ce este disipata in acest moment pe sarcina. Un factor de putere scazut se traduce printr-un sistem ineficient de distributie al energiei.
Factorul de putere poate fi insa corectat, paradoxal, prin adaugarea in circuit a unei sarcini suplimentare care sa "consume" o cantitate egala de putere reactiva, dar de sens contrar, pentru anularea efectelor reactantei inductive a sarcinii. Reactantele inductive pot fi anulate si cu ajutorul reactantelor capacitive, si anume, prin adaugarea unui condensator in paralel cu sarcina (in circuitul precedent). Efectul celor doua reactante opuse, conectate in paralel, este sa aduca impedanta totala a circuitului la o valoare egala cu cea a rezistentei totale. Rezultatul este reducerea unghiului impedantei la zero, sau o valoarea cat mai apropiata de zero.
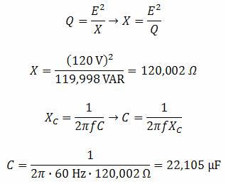
Stim ca puterea reactiva, necorectata, este de 119,99 VAR (inductiv), prin urmare, trebuie sa calculam marimea corecta a condensatorului, marime necesara pentru a produce o cantitate egala de putere reactiva (capacitiva). Condensatorul va fi conectat in paralel cu sursa, prin urmare, vom folosi urmatoarele formule:


Conform rezultatului de mai sus, folosim un condensator cu o capacitate de 22 µF.

Factorul de putere al circuitului a crescut substantial, fiind foarte aproape de valoarea 1. Curentul principal a scazut de la 1,41 A la 994,7 mA, iar puterea disipata pe rezistorul de sarcina a ramas neschimbata, 119,365 W:

Din moment ce impedanta finala este un numar pozitiv, putem spune ca, per total, inductivitatea circuitului este mai mare decat capacitatea sa. Daca corectarea factorului de putere ar fi fost perfecta, unghiul impedantei ar fi fost zero, sau pur rezistiv. Daca in schimb, am fi adaugat un condensator prea mare in paralel, am fi obtinut un unghi al impedantei negativ, indicand faptul ca inductivitatea circuitului este mai mica decat capacitatea sa. Cu un factor de putere de 0,9999, defazajul dintre curent si tensiune este foarte aproape de 0o.
Din moment ce curentul si tensiunea sunt aproximativ in faza, produsul celor doua va da o putere pozitiva pe aproximativ intreaga perioada. Cu un factor de putere mult sub 1, produsul celor doua ar fi fost negativ, fapt ce duce la reintroducerea puterii negative in circuit, inapoi spre generator. Aceasta putere nu poate fi "vanduta", dar circulatia sa de la sursa la sarcina si invers, duce la pierderi de putere in lungul liniilor de transport datorita rezistentei acestora. Conectarea condensatorului in paralel cu sarcina, rezolva aceasta problema.
De notat faptul ca reducerea pierderilor prin liniile de transport al curentului electric, se aplica doar de la generator la punctul de corectie a factorului de putere (datorita condensatorului). Cu alte cuvinte, exista in continuare circulatie electrica intre condensator si sarcina (rezistiv-)inductiva. Acest lucru nu este in general o problema insa, deoarece aplicarea corectiei factorului de putere se realizeaza in vecinatatea sarcinii in cauza.
De asemenea, o capacitatea prea mare intr-un circuit de curent alternativ va duce la un factor de putere scazut, la fel ca in cazul unei inductante prea mari. Trebuie sa fim prin urmare foarte atenti cand realizam corectarea factorului de putere, pentru a nu supra-corecta circuitul.
Atunci cand avem nevoie de corectarea practica a factorului de putere intr-un sistem de putere in curent alternativ, probabil ca nu vom fi atat de norocosi incat sa cunoastem inductanta exacta a sarcinii. Putem folosi un aparat de masura special, denumit cosfimetru pentru calcularea factorului de putere. Puterea aparenta o putem calcula folosind un voltmetru si un ampermetru. In cel mai rau caz insa, am putea fi nevoiti sa folosim un osciloscop pentru calcularea diferentei de faza, in grade, intre formele de unda alte tensiunii si ale curentului; factorul de putere va fi cosinusul acelui unghi.
Daca avem acces la un wattmetru pentru masurarea puterii reale, putem compara valoarea citita cu valoarea puterii aparente deduse din produsul tensiunii totale cu a curentului total.
|
Politica de confidentialitate |
| Copyright ©
2025 - Toate drepturile rezervate. Toate documentele au caracter informativ cu scop educational. |
Personaje din literatura |
| Baltagul – caracterizarea personajelor |
| Caracterizare Alexandru Lapusneanul |
| Caracterizarea lui Gavilescu |
| Caracterizarea personajelor negative din basmul |
Tehnica si mecanica |
| Cuplaje - definitii. notatii. exemple. repere istorice. |
| Actionare macara |
| Reprezentarea si cotarea filetelor |
Geografie |
| Turismul pe terra |
| Vulcanii Și mediul |
| Padurile pe terra si industrializarea lemnului |
| Termeni si conditii |
| Contact |
| Creeaza si tu |