Conexiunea emitor comun

Sa reluam exemplu studiat in sectiunile precedente, unde tranzistorul a fost folosit pe post de intrerupator.

Aceasta configuratie poarta numele de conexiune emitor comun datorita faptului ca, ignorand bateria de alimentare, atat pentru sursa de semnal (celula solara) cat si pentru sarcina, contactul emitorului reprezinta un punct comun celor doua.
In exemplele precedente, am considerat ca tranzistorul functioneaza saturat (la capacitate maxima). Cunoscand faptul ca, curentul prin colector poate varia in functie de curentul bazei, putem controla luminozitatea lampii din acest circuit in functie de expunerea celulei solare la lumina. Cand intensitatea luminoasa ce cade pe celula solara este minima, lampa va lumina foarte slab. Pe masura ce intensitatea luminoasa ce cade pe celula solara creste, va creste si intensitatea luminoasa a lampii.
Sa presupunem acum ca am dori sa masuram intensitatea luminoasa cu ajutorul celulei solare. Vrem sa masuram de fapt intensitatea razei incidente pe celula solara folosind curentul sau de iesire conectat la un instrument de masura (ampermetru).

Una dintre solutii ar consta in conectarea ampermetrului direct la celula solara.
Cu toate ca aceasta metoda functioneaza pentru masuratori moderate ale intensitatilor, ea nu poate fi folosita atunci cand intensitatea luminoasa scade sub o anumita valoare, datorita faptului ca celula solara trebuie sa alimenteze si ampermetrul iar precizia sistemului scade foarte mult in acest caz. Sa presupunem in continuare ca in exemplul de mai sus, suntem interesati de masuratori extrem de scazute ale intensitatilor luminoase. In acest caz, trebuie sa cautam o alta solutie.

Solutia cea mai la indemana este utilizarea unui tranzistor pentru amplificarea curentului generat de celula solara. Acest lucru inseamna ca va exista o cantitate mult mai mare de curent disponibila pentru deviatia acului indicator al aparatului de masura, pentru o valoare mult mai mica a curentului generat de celula solara.
De aceasta data, curentul prin circuit (si prin aparatul de masura) va fi de β ori mai mare decat curentul prin celula solara. Pentru un tranzistor cu β = 100, acest lucru reprezinta o crestere substantiala a preciziei masuratorii. Atentie insa, puterea aditionala necesara functionarii aparatului de masura este "colectata" de la bateria din dreapta, nu de catre celula solara. Tot ceea ce realizeaza celula solara este controlul curentului bateriei pentru furnizarea unei puteri mai mari necesara functionarii aparatului de masura, puterea ce nu ar fi putut fi generata de catre celula solara insasi.
Deoarece tranzistorul este un dispozitiv de regulare a curentului, iar indicatia aparatului de masura depinde doar de curentul ce trece prin bobina acestuia, indicatia aparatului de masura va depinde doar de celula solara si nu de valoarea tensiunii generata de baterie. Acest lucru inseamna ca acuratetea masuratorii realizata de acest circuit va fi independenta de conditiile bateriei, un lucru extrem de important! Tot ceea ce trebuie bateria sa faca, este sa genereze o anumita tensiune minima si un curent suficient pentru functionarea ampermetrului.

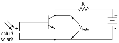
Configuratia emitor comun mai poate fi folosita si pentru producerea unei tensiuni dependente de semnalul de intrare, in loc de curent. Sa inlocuim asadar aparatul de masura cu un rezistor si sa masuram tensiunea dintre colector si emitor.
Cand intensitatea luminoasa pe celula solara este zero, tranzistorul va fi blocat si se va comporta precum un intrerupator deschis intre colector si emitor. Acest lucru va duce la aparitia unei caderi de tensiune maxime intre colector si emitor, Viesire, tensiune egala cu tensiunea de la bornele bateriei.
Cand intensitatea luminoasa pe celula solara este maxima, celula solara va duce tranzistorul in zona de saturatie; acesta se va comporta precum un intrerupator inchis intre colector si emitor. Rezultatul va fi o cadere de tensiune minima intre colector si emitor. Totusi, aceasta tensiune de saturatie dintre colector si emitor este destul de mica, cateva zecimi de volti, in functie de tranzistorul folosit.
Pentru intensitati luminoase ce se regasesc intre aceste valori (minim/maxim), tranzistorul va functiona in zona activa, iar tensiunea de iesire va fi undeva intre zero volti si tensiunea bateriei. De mentionat ca tensiunea de iesire a tranzistorului in configuratie emitor comun este invers proportionala cu intensitatea semnalului de intrare. Cu alte cuvinte, tensiunea de iesire scade cu cresterea semnalului de intrare. Din acest motiv, amplificatorul (cu tranzistor) in configuratie emitor comun poarta numele de amplificator inversor.

Sa consideram circuitul alaturat.

Graficul variatiei tensiune-curent este cel din figura alaturata (caderea de tensiune dintre colector si emitor si curentul bazei).
La inceputul simularii, curentul generat de sursa (celula solara) este zero, tranzistorul este blocat iar caderea de tensiune intre colector si emitor este maxima, si anume 15 V, tensiunea bateriei. Pe masura ce curentul generat de celula solara incepe sa creasca, tensiunea de iesire incepe sa scada proportional, pana cand tranzistorul intra in starea de saturatie la curentul de baza de 30 µA. Putem observa foarte clar de pe grafic ca variatia tensiunii este perfect liniara, pana in momentul saturarii, unde nu atinge de fapt niciodata valoarea zero. Un tranzistor saturat nu poate atinge niciodata o cadere de tensiune de exact 0 volti intre colector si emitor datorita efectelor jonctiunii sale interne.

Adesea avem nevoie insa de un amplificator in curent alternativ. O aplicatia practica este utilizarea acestui tip de amplificare in sistemele audio. Sa reluam circuitul cu microfon, dar sa incercam de data aceasta sa-l modificam astfel incat sa alimenteze un difuzor in loc de lampa.
In circuitul original, am folosit o punte redresoare pentru transformarea semnalului de curent alternativ al microfonului in tensiune de curent continuu pentru polarizarea bazei tranzistorului. In acel caz ne-a interesat doar sa pornim lampa cu un semnal venit din partea microfonului, iar aceasta configuratie si-a indeplinit scopul. De data aceasta insa, vrem sa reproducem un semnal de curent alternativ pe difuzor. Acest lucru inseamna ca nu mai putem redresa semnalul de iesire al microfonul, deoarece avem nevoie de semnalul de curent alternativ nedistorsionat la intrarea tranzistorului.

Sa indepartam asadar puntea redresoare din circuit si sa inlocuim lampa cu un difuzor.

Fiindca microfonul poate produce tensiuni mai mari decat tensiunea de polarizare directa a jonctiunii baza-emitor, vom conecta si un rezistor in serie cu microfonul. Circuitul practic pe care il vom analiza este cel din figura alaturata.

Graficul variatiei tensiune-curent, tensiunea de alimentare, V1 (1,5 V, f = 2.000 Hz) cu rosu, curentul prin difuzor (mai mare de 10 ori pe grafic decat curentul real, pentru observarea mai clara a acestuia), cu albastru, este prezentat alaturat.
Curentul prin difuzor este acelasi cu cel prin baterie. Putem vedea ca semnalul de tensiune de intrare este un semnal sinusoidal cu semi-perioda pozitiva si negativa, iar semnalul de curent de iesire pulseaza doar intr-o singura directie (semi-perioada negativa). Sunetul reprodus de difuzor in acest caz va fi extrem de distorsionat.

Ce s-a intamplat cu circuitul in acest caz? De ce nu reproduce in totalitate semnalul de tensiune in curent alternativ de la intrare? Sa revenim la modelul dioda-sursa-de-curent al tranzistorului pentru a incerca elucidarea problemei.
Curentul prin colector este regulat, sau controlat, printr-un mecanism de curent constant ce depinde de curentul prin dioda baza-emitor. Observati ca ambele directii ale curentului sunt uni-directionale! In ciuda faptului ca se incearca o amplificare de semnal in curent alternativ, acesta este de fapt un dispozitiv de curent continuu, fiind capabil sa conduca curenti doar intr-o singura directie. Chiar daca aplicam o tensiune alternativa intre baza si emitor, electronii nu se pot deplasa prin circuit in semi-perioada negativa a semnalului ce polarizeaza invers jonctiunea baza-emitor (dioda). Prin urmare, tranzistorul va fi blocat in acea portiune a perioadei, si va intra in conductie doar cand polaritatea tensiunii de intrare este corecta, astfel incat sa polarizeze direct dioda baza-emitor, si doar daca acea tensiune este suficient de mare pentru a depasi tensiune de polarizare directa a diodei. Retineti, tranzistorii sunt dispozitive controlate in curent: acestia controleaza curentul prin colector in functie de existenta curentului intre baza si emitor (curentul de baza), si nu in functie de tensiunea baza-emitor.

Singura modalitate prin care tranzistorul poate reproduce intreaga forma de unda pe difuzor, este mentinerea acestuia in zona activa pe intreaga perioada a undei, adica, trebuie sa mentinem un curent prin baza in toata aceasta perioada. Prin urmare, jonctiunea baza-emitor trebuie polarizata direct tot timpul. Din fericire, acest lucru se poate realiza prin conectarea unei surse de curent continuu in serie cu semnalul de intrare:

Graficul formelor de unda arata de data aceasta precum in figura alaturata.
Cu sursa de tensiune de polarizare (Vpolarizare) conectata in serie cu sursa de semnal, tranzistorul ramane in zona activa de functionare pe toata perioada undei, reproducand cu exactitate forma de unda de la intrare pe difuzor. Observati ca tensiunea de la intrare variaza intre valorile de 0,8 V si 3,8 V, o amplitudine varf-la-varf de exact 3 volti (2 * amplitudinea de varf a sursei = 2 * 1,5 = 3 V). Curentul de iesire, pe difuzor, variaza intre zero si aproximativ 300 mA, fiind defazat cu 180o cu semnalul de intrare (al microfonului).

Daca am conecta simultan mai multe osciloscoape in circuitul de mai sus, formele de unda ale tensiunilor ar arata astfel.
Amplificarea in curent al circuitului de mai sus este data de factorul beta (β) al tranzistorului, in acest caz particular, 100, sau 40 dB. Determinarea amplificarii in tensiune este insa putin mai complicata de determinat.

Sa urmarim graficul tensiunii pe difuzor (albastru) si al tensiunii de intrare pe tranzistor (rosu, baza-emitor):
Daca am lua aceeasi scala, de la 0 la 4 V, putem vedea ca forma de unda a tensiunii de iesire are o amplitudine varf-la-varf mai mica decat tensiunea de intrare. Dim moment ce amplificarea in tensiune a unui amplificator este definita ca si raportul dintre amplitudinile semnalelor de curent alternativ, putem ignora componenta de curent continuu ce separa cele doua forme de unda. Chiar si asa, tensiunea de intrare este mai mare decat cea de iesire, ceea ce inseamna ca amplificarea in tensiune este sub-unitara.
Aceasta amplificare mica in tensiune nu este caracteristica tuturor amplificatoarelor emitor-comun, ci este consecinta diferentei mari dintre rezistentele de intrare si iesire. Rezistenta de intrare (R1) in acest caz este de 1.000 Ω, iar rezistenta sarcinii (difuzor) este de doar 8 Ω. Deoarece amplificarea in curent a amplificatorului este determinata doar de factorul beta (β) al tranzistorului, si deoarece acest factor este fix, amplificarea in curent nu se va modifica odata cu variatia niciuneia dintre cele doua rezistente. Totusi, amplificarea in tensiune depinde> de aceste rezistente.

Daca marim rezistenta sarcinii, caderea de tensiune pe aceasta va fi mai mare pentru aceleasi valori ale curentilor, rezultand o forma de unda de iesire mai mare. Sa urmarim si graficul formelor de unda pentru sarcina de 30 Ω
De data aceasta, amplitudinea formei de unda a tensiunii de iesire (albastru) este mult mai mare decat tensiunea de intrare. Daca ne uitam mai atent, putem vedea ca amplitudinea varf la varf este de 9 V, de 3 ori mai mare decat amplitudinea tensiunii de intrare. Mai exact, tensiunea de intrare este de 1,5 V, iar cea de iesire de 4,418 V.

Sa calculam asadar raportul (factorul) de amplificare in tensiune (AV).

Deoarece amplificarea in curent a amplificatorului emitor comun este fixata de factorul β, iar tensiunile de intrare si iesire vor fi egale cu produsul dintre curentii de intrare si iesire si rezistentele rezistorilor respectivi, putem scrie urmatoarea ecuatie pentru aproximarea amplificarii in tensiune:
Diferenta dintre amplificarea reala (2,94) si cea ideala (3), se datoreaza imperfectiunilor tranzistorilor in general.

Pana acum am folosit doar tranzistori de tipul NPN, dar putem la fel de bine utiliza tranzistori NPN in orice tip de configuratie, atata timp cat polaritatea si directiile curentilor sunt cele corecte. Factorii de amplificare in curent si tensiune sunt aceeasi si pentru amplificatorul cu tranzistor PNP, doar polaritatile bateriilor sunt diferite.
|
Politica de confidentialitate |
| Copyright ©
2025 - Toate drepturile rezervate. Toate documentele au caracter informativ cu scop educational. |
Personaje din literatura |
| Baltagul – caracterizarea personajelor |
| Caracterizare Alexandru Lapusneanul |
| Caracterizarea lui Gavilescu |
| Caracterizarea personajelor negative din basmul |
Tehnica si mecanica |
| Cuplaje - definitii. notatii. exemple. repere istorice. |
| Actionare macara |
| Reprezentarea si cotarea filetelor |
Geografie |
| Turismul pe terra |
| Vulcanii Și mediul |
| Padurile pe terra si industrializarea lemnului |
| Termeni si conditii |
| Contact |
| Creeaza si tu |