CALCULUL LA STAREA LIMITA DE REZISTENTA LA ACTIUNEA FORTELOR TAIETOARE
1.C0NSIDERATII INTRODUCTTVE
In capitolul anterior s-a analizat comportarea la rupere si calculul la starea limita de rezistenta in sectiuni normale la axa elementului specifica situatiilor in care efectul fortei taietoare este absent sau redus. In zonele in care fortele taietoare au valori relativ importante fisurile sunt inclinate urmarind indeaproape traiectoriile, eforturilor principale de compresiune (fig.1.45).

FIGURA 1.45
In prezenrul capitol se analizeaza problema asigurarii elementelor de beton armat impotriva ruperilor in fisuri inclinate, ruperi produse de asocierea fortei taietoare si a momentului incovoietor.
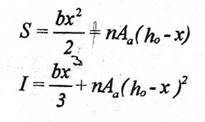
In conditiile de valabilitate ale ipotezelor Rezistentei materialelor continue, omogene si liniar elastice, valoarea efortului unitary τ se determina cu formula lui Jurawski (fig.2.46.a).
Τ = QS / bI
(1.89)
in care S, I au semnificatiile cunoscute.

FIGURA 1.46
Valorile eforturilor principale de intindere σI si de compresiune σII se stabilesc cu relatiile:

(1.90)
iar valoarea unghiului a format de traiectoriile eforturilor principale cu axa elementului se determina cu relatia:
tg2ά = 2τ / σ
(1.91)
Conceptele clasice ale Rezistentei materialelor au fost extinse in primii ani ai betonului armat si pentru determinarea eforturilor unitare tangentiale in elementele incovoiate de beton armat fisurate. Pentru sectiunea idealizata de beton din fig.1.46 care echivaleaza sectiunea de beton armat fisurata, marimile S si I se determina cu relatiile:
(1.92)
S-a notat n= Ea / Eb' , coeficientul de echivalenta
Cu raportul:

(1.93)
unde z este bratul de parghie al eforturilor interioare, efortul unitar tangential are valoarea:

(1.94)
Deoarece sub axa neutra, betonul este solicitat la forfecare pura
(fig.1.46) relatia (1.94) poate fi utilizata ca o masura a efortului unitar de intindere σI in grinzile de beton armat. Trebuie observat ca relatia(1.94) are un caracter conventional pentru ca ea implica faptul ca in zona intinsa fisurata a sectiunii se pot transmite eforturi de forfecare.
Cu toate acestea in prescriptiile de proiectare valoarea efortului σ
calculata cu relatia (7.94) este utilizata pentru a exprima nivelul solicitarii la forta taietoare. Pentru simplificarea calculului se admite aproximatia z=ho, iar valoarea:

(1.95)
trebuie interpretata ca un indice al intensitatii solicitarii la forta taietoare.
Cand elementul are sectiunea (inaltimea) variabila, valoarea efortului tangential intr-o sectiune verticala este afectata de componentele verticale ale eforturilor din zona comprimata de beton sau din armaturile longitudinale (fig.1.47).
In relatia (1.96) semnul (-) corespunde cazului cand inaltimea sectiunii creste in acelasi sens cu valoarea momentului, iar semnul (+) in cazul cand inaltimea sectiunii creste in sensul reducerii momentului (fig.1.47).

(1.96)
Teoretic, daca σI calculat cu relatia (1.90) este mai mic decat Rt (rezistenta la intindere a betonului) nu apar fisuri inclinate. In realitate insa, existenta unor eforturi initiale de intindere din contractia impiedicata, amorsarea unor fisuri produse de momentul incovoietor (cu directia normala la axa), dezvoltate pe o inaltime mica in zona intinsa, sau prezenta armaturilor transversale (a caror prezenta reduce sectiunea de beton) pot grabi procesul fisurarii inclinate inainte de a se atinge valoarea Rt.
Din acest motiv, in STAS 10107/0-90 se considera ca nu apar fisuri inclinate daca σI=Q/bho ≤0,5Rt. In acest caz se admite ca betonul poate prelua in intregime solicitarea din actiunea fortei taietoare si nu este necesara armatura transversala, care se dispune numai pe criterii constructive.
Daca , σI >0,5Rt, betonul se considera fisurat in sectiuni inclinate si pentru preluarea fortei taietoare sunt necesare si armaturi transversale (etrieri) si/sau inclinate.
De asemenea, este necesar sa se verifice si daca efortul principal de compresiune poate fi preluat de betonul inimii. La grinzile cu inima subtire si inalta, cu o capacitate de rezistenta la incovoiere ridicata exista un asemenea risc (fig.1.48).

FIGURA 1.49
Limita 4Rt echivalenta aproximativ cu (0 0,25)Rc, reprezinta rezistenta betonului la compresiune pentru conditiile de solicitare bidirectionala compresiune-intindere in care se afla inima grinzii (fig.1,48.b). Desi in principiu valoarea efortului principal de compresiune trebuie comparata cu o rezistenta la compresiune, s-a preferat compararea cu un multiplu de Rt pentru a nu folosi doua tipuri de rezistente la identificarea domeniilor distincte de solicitare la forta taietoare.
Daca conditia (1.97) nu este indeplinita, trebuie marita sectiunea de beton ainimii grinzii. Este de subliniat faptul ca relatia (1.97) este valabila numai pentru cazul grinzilor obisnuite, incarcate static. Pentru alte tipuri de elemente structurale sipentru situatiile de incarcare dinamica (inclusiv din actiunea seismica) valoarea dereferinta 4Rt esteredusa corespunzator.
7.3.2. Metode de calcul la actiunea fortei taietoare
Se poate considera ca incarcarile aplicate elementelor de beton armat solicitate la incovoiere cu forta taietoare sunt preluate prin doua mecanisme de rezistenta si anume 'mecansimul de grinda' si "mecanismul de arc' (rigla franta) cu tirant, care coexista si se influenteaza reciproc.
In cazul mecanismului de grinda incarcarile exterioare transversale se transmit la reazeme prin eforturi tangentiale (flg.1.49.a). In cazul mecanismului de arc fortele transversale sunt echilibrate prin componenta verticala a fortei din 'arcul' constituit in grosimea elementului (fig.1.49.b).

FIGURA 1.49
In functie de rigiditatea relativa a celor doua mecanisme la deplasari verticale, poate fi preponderent un mecanism sau celalalt. Raportul rigiditatilor celor doua mecanisme depinde de raportul l/h intre deschiderea si inaltimea sectiunii elementului. In functie de valoarea acestui raport se pot identifica trei categorii de grinzi (fig.1.50).

FIGURA 1.50
grinzi lungi (l/h > 5), la care mecanismul de grinda este practic sigurul efectiv;
grinzi inalte sau grinzi pereti (l/h < 1,5) la care incarcarile sunt preluate practic in totalitate printr-un mecanism de arc;
grinzi medii (l,5 < l/h < 5) la care incarcarile sunt preluate prin ambele mecanisme.
In prezentul capital se prezinta modul de calcul al grinzilor lungi, celelalte categorii de grinzi urmand sa fie studiate in cadrul disciplinei Constructii de beton armat.
Pentru calculul grinzilor lungi se utilizeaza doua tipuri de metode:
a) Metoda bazata pejnodelul grinda cu.zabrele
In aceasta metoda grinda este echivalata printr-o structura plana articulata in care zona comprimata de beton indeplineste rolul talpii comprimate, armatura longitudinala de incovoiere rolul talpii intinse, armaturile transversale, etrierii, indeplinesc rolul montantilor iar inima grinzii rolul diagonalelor comprimate.
Pentru a lua in considerare contributia zonei comprimate de beton la preluarea fortelor taietoare, in modelele perfectionate de grinda cu zabrele, utilizate in prezent in prescriptive de proiectare din alte tari, inaltimea grinzii este variabila.

FIGURA 1.51
Qe -forta taietoare preluata de armaturile transversale.
Ta -forta de intin-dere din armatura longitudinala.
In zona reazemelor, asa cum rezulta din cercetarile teoretice si experimentale, traiectoria rezultantei Cb a eforturilor de compresiune se curbeaza si coboara, evidentiind o actiune de arc (fig.1.51).
b) Metoda echilibrului limita in sectiuni inclinate
Metoda considera un mecanism de cedare cu un grad de libertate, alcatuit din doua corpuri rigide (tronsoanele de grinda separate de fisura inclinata de rupere), care se rotesc relativ. Ruperea elementului, pentru situatiile obisnuite de armare transversala, are loc prin zdrobirea betonului din zona comprimata dupa ce armaturile care traverseaza fisura au fost deformate dincolo de pragul de curgere (fig.1.52).
In fig.1..52a se prezinta configuratia fisurii de rupere la un capat: al grinzii smplurezemate, iar in fig.1.52b cea de la unreazem cu continuitate.
Aceasta metoda este prescrisa de Standardul romanesc pentru proiectarea elementelor structurale din beton armat.- STAS 10107/0-90.

FIGURA 1.52
Echilibrul in stadiul limita de solicitare in lungul fisurii inclinate se descrie printr-o ecuatie de proiectie pe normala la axa elementului si o ecuatie de momente, preferandu-se ecuatia in raport cu punctul de aplicatie al rezultantei eforturilor de compresiune din beton (fig.1.52.c):
![]()
(1.98)

(1.99)
Notatiile utilizate in relatiile (1.98) si (1.99) si in fig.1.52 sunt:
Qb = forta taietoare preluata de zona comprimata de beton
Tej, Tjk efortul dezvoltat la ruperea elementului in armatura verticala (etrierul) j, respectiv in armatura inclinata k.
zej zjk = distantele de la armaturile verticale si cele inclinate la punctul de aplicatie al rezultantei eforturilor de compresiune in beton.
si = proiectia pe orizontala a lungimn fisurii inclinate.
Conditia de siguranta este asociata cu asigurarea simultana a relatiilor:
Q≤Qcap
M≤Mcap
Pentru indeplinirea celei de-a doua inegalitati se iau masuri constructive specifice implicand respectarea unor conditii privind punctele in care se pot ridica sau intrerupe armaturile din camp - vezi pct.4. Verificari prin calcul se efectueaza numai pentru realizarea primei inegalitati.
Calculul practic implica determinarea valorilor eforturilor preluate de beton si de armaturile transversale precum si precizarea inclinarii fisurii dupa care se produce cedarea.
I. Forta taietoare preluata de beton Qb.
Intr-un element de beton armat fara armatura transversala forta taietoare intr-o 'Sectiune inclinata fisurata este preluata prin (fig.1.53 a):
forta taietoare preluata de zona comprimata Qb.
forta taietoare Qa preluata de armatura longitudinala printr-un efect de dorn; mobilizarea acestui efect presupune existenta unei lunecari relativ importante in lungul fisurii inclinate si din acest motiv prescriptiile de proiectare neglijeaza contributia armaturilor longitudinale in preluarea fortelor taietoare;

FIGURA 1.53
componentele verticale ale eforturilor T rezultate din efectul de inclestare al agregatelor ramase in contact in lungul fisurii inclinate; in cazul incarcarilor cu caracter dinamic, inclusiv al celor seismice, acest efect se reduce prin ruperea progresiva a pragurilor constituite de protuberantele betonului in lungul fisurii.
In prescriptii, contributia acestor elemente ale mecanismului de rezistenta la forta taietoare este considerata global printr-o valoare echivalenta Q, a fortei taietoare preluata de zona comprimata de beton (fig.1.53b). In STAS 10107/0-90 valoarea efortului Qb preluat de beton se calculeaza cu expresia:

(1.100)
Se constata ca:
. Qb este direct proportional cu dimensiunile sectiunii inimii (bho); cu cat acestea sunt mai mari eforturile unitare tangentiale, pentru o anumita valoare a efortului sectional, sunt mai mici;
. Qb este direct proportional cu rezistenta betonului, relatie evidenta;
. cresterea procentului de armare mareste valoarea Qb, ca urmare a faptului ca sporesc inaltimea zonei comprimate, efectul de dorn al armaturii, dar si efectul de inclestare al agregatelor, fisura rezultand mai putin deschisa;
. Qb creste daca inclinarea fisurii creste (fig.1.53 c); rezultanta eforturilor din zona comprimata de beton are inclinarea fisurii 0, astfel ca:

(1.101)

FIGURA 1.54
Variatia lui Qb cu raportul ho/si pune in evidenta si contributia mecanismului de arc, cu atat mai mare cu cat valoarea acestui raport este mai mare, dupa cum se poate urmari in fig.1.54 pentru cazul particular al unei grinzi incarcate cu doua forte concentrate dispuse simetric.
Cu cat fortele sunt mai apropiate de reazem, fortele de compresiune din beton sunt mai mici si ponderea unui asemenea mecanism este mai mare.
Forta taietoare preluata de beton este limitata la:
Qb ≤ 2bhoRt
(1.102)
Limitarea corespunde conditiei ca inaltimea zonei comprimate x < xb.
La calculul la forte taietoare a elementelor de beton armat solicitate la incovoiere cu compresiune axiala se introduce o corectie a termenului Q, pentru a tine seama de efectul favorabil al prezentei fortei axiale de compresiune.

(1.103)
in care n are semnificatia cunoscuta n = N/bhoRc
Utilizarea relatiei revine la a considera in cazul compresiunii excentrice a unei rezistente corectate a betonului la intindere
Rt' = ( l + 0,5n)Rt.
Similar in cazul intinderii excentrice cu excentricitate mare se considera o valoare corectata a rezistentei betonului la intindere:

(1.104)
in care:

In cazul solicitarii la intindere excentrica cu excentricitate mica contributia betonului in preluarea fortei taietoare se neglijeaza.
II. Forta taietoare preluata de etrieri Qe
Forta taietoare preluata de etrieri Qe se determina prin insumarea eforturilor Tej din etrierii interceptati de fisura inclinata de rupere.
![]()
(7.105)
Eforturile unitare in etrieri variaza pe lungimea fisurii. In zona intinsa, unde fisura este cea mai deschisa, armaturile ajung in momentul cedarii la curgere in timp ce in zona din apropierea axei neutre, unde fisura este mai putin deschisa armaturile transversale nu ajung la curgere. Pentru simplificarea calculului se admite ca in toti etrierii ca si in toate armaturile inclinate care traverseaza fisura inclinata de rupere se dezvolta acelasi efort unitar:
![]()
(1.106)
Valorile coeficientului conditiilor de lucru al armaturilor transversale sunt:
mat = 0.8 pentru armaturi laminate la cald (
mat = 0.7 pentru armaturi trefilate (STNB si STBP)
Efortul preluat de un etrier este:
![]()
(1.107)
unde n = numarul de ramuri verticale ale etrierului (fig.1.55), iar Aae, aria sectiunii unei ramuri verticale a etrierului. Daca errierii au ramuri multiple cu sectiuni diferite relatia (1.107) devine:
![]()
(1.108)
in care nk desemneaza numarul de ramuri cu aria sectiunii Aae,k

FIGURA 1.55
In calculul practic se prefera ca eforturile Te din etrieri sa se echivaleze cu un effort uniform distribuit qe (fig.1.55):

(1.109)
in care cu ac s-a notat distanta dintre etrieri in lungul elementului. Relatia (1.105) se poate scrie:
![]()

FIGURA 1.56
Daca se noteaza cu pe procentul de armare transversala cu etrieri:

(1.111)
relatia (1.109) capata forma:
III. Forta taietoare preluata de armatura inclinata
Insumand componentele verticale ale eforturilor din armaturile inclinate care intersecteaza fisura inclinata se obtine:
![]()
(1.113)
unde Aai,k = aria unei armaturi curente k inclinate cu unghiul ά fata de axa elementului intersectata de fisura inclinata cu proiectia orizontala si.
7.3.3. Calculul practic
Calculul practic la forta taietoare implica identificarea fisurii celei mai periculoase in lungul careia capacitatea de rezistente este minima si apoi:
insumarea capacitatilor de rezistenta ale betpnului si armaturii transversale cunoscute in vederea stabilirii capacitatii de rezistenta, in problemele de verificare;
. determinarea armaturii transversale necesare pentru preluarea fortei taietoare infisura inclinata cea mai periculoasa, in problemele de dimensionare.
In calcule se vor considera fisuri de cedare a caror proiectie pe axa elementului se inscriu in domeniul (0,5-2,5)ho. Cercetarile experimentale atesta faptul ca fisurile inclinate nu pot avea practic inclinari in afara intervalului mentionat (fig. 1.57)
A. Cazul armarii transversale realizate din etrieri vertical
Forta taietoare este preluata in acest caz de beton si etrieri:
![]()
(1.114)
Notam:
![]()
(1.115)
forta taietoare minima corespunzatoare fisurii celei mai periculoase.

FIGURA 1.57
Inlocuind Qb si Qe cu expresiile respective se obtine:

(1.116)
Punand conditia:

(1.117)
se stabileste lungimea si,cr a proiectiei pe orizontala a fisurii entice (celei mai
periculoase), in lungul careia capacitatea cumulata a betonului si a etrierilor de aprelua forta taietoare este minima:

(1.118)
Inlocuind (1.118) in (1.116) se obtine:
(1.119)
Daca se noteaza:
relatia (1.119) capata forma adimensionalizata:

(1.119')
Daca lungimea proiectiei fisurii critice din relatia (1.118) este mai mare decat 2,5ho, se ia si=2,5ho iar Qeb rezulta (fig.1.58b):

(1.120)
Rezolvarea problemelor de proiectare capata organizari dupa natura problemei, si anume,: verificare sau dimensionare.
(i)VERIFICARE
Se cunosc: b, h (ho), Aa, Aae, ae, n, Rt, Rat.
Necunoscute: Qcap
Etapele calculului sunt urmatoarele:
- Se determina procentul de armare al armaturii longitudinale

FIGURA 1.58
- Se stabileste procentul de armare transversala cu etrieri
- Se determina:

(ii) DIMENSIONARE
Se cunosc: b, h (ho), Aa, Rt, Rat, Q
Necunoscute: Aae, n, ae
- Se calculeaza:

- Se determina:

- Din (1.119)', punand Q = Qeb rezulta:

- Se calculeaza:
Daca si,cr≤ 2,5, atunci alegand diametrul etrierului (decide) si numarul de ramuri al acestuia n, din relatia.(1.111) in care pe este eel obtinut cu (1.121) rezulta:

- Daca si,cr > 2,5, atunci procentul necesar de armare transversala rezulta din relatia(1.120):

Pentru modul concret de stabilire a parametrilor armarii cu etrieri se procedeaza ca la punctul anterior.
B. Cazul armarii transversale cu etrieri si bare inclinate
In situatia in care armatura transversala este realizata din doua categorii de bare, etrieri verticali si armaturi inclinate provenite din ridicarea pe reazeme a armaturilor longitudinale din camp, problema se complica prin aceea ca, in cazul general, nu se poate stabili de la inceput, printr-o unica relatie de calcul, care este fisura cea mai periculoasa. Drept urmare, calculul se face prin incercari, exprimand capacitatea de rezistenta la forta taietoare in diferite sectiuni inclinate in domeniul 0,5ho < si < 2,5ho. Sectiunea cea mai periculoasa este aceea in care se obtine valoarea minima., a fortei taietoare capabile, aceasta valoare reprezentand si capacitatea de rezistenta la forta taietoare a grinzii. Acest procedeu se foloseste in cazul grinzilor cu armari transversale complicate cu bare inclinate multiple si relativ dese, cum sunt grinzile de pod si unele grinzi de rulare (fig.1.59):

FIGURA 1.59
In cazul grinzilor obisnuite din cladirile civile si industriale, daca se respecta regulile constructive curente privind distantele intre punctele de coborare a armaturilor inclinate de la fata reazemelor indicate in fig.1.59b, se poate admite ca fisura inclinata cea mai periculoasa intersecteaza un singur plan de armaturi inclinate (ipoteza in general acoperitoare), aceasta fisura fiind cea in lungul careia se obtine capacitatea minima a betonului si etrierilor (Qeb).
In aceste conditii calculul se simplifica, efectuandu-se pe baza relatiei:
![]()
(1.123)
in care Aai reprezinta suma ariilor sectiunii barelor inclinate aflate intr-un plan inclinat cu unghiul ά la axa grinzii.
(ii)VERIFlCARE
Se cunosc: b, h (ho), Aa, n, ae, Aai, Rt, Rat
Necunoscuta: Qcap
Se determina Qeb ca la pct. 3,cu relatia 1.119 si apoi:
Qcap = Qeb + AaiRatsin ά
(ii)DIMENSIONARE
Se cunosc: b, h(ho), Aa, Aai, Rat, Q
Necunoscute: Aae, n, ae
Observatie:
Dimensionarea la forta taietoare urmeaza in succesiunea operatiilor de proiectare dimensionarii si alcatuirii armaturii longitudinale de incovoiere, astfel ca Aa reprezinta o data in problema de dimensionare.
- Se calculeaza:
Q1=AatRatsinά
- Rezulta:
Qebnecesar = Q - Qi
Se determina parametrii armaturii transversale cu etrieri ca la pct. 3 A ii).
4.Asigurarea la moment incovoietor in sectiuni inclinate
Dintre cele doua conditii care asigura rezistenta elementelor de beton armat in sectiuni inclinate, (vezi relatiile 1.98 si 1.99), pana aici a fost analizata numai conditia de siguranta la actiunea fortei taietoare rezultata din ecuatia de proiectie pe 0 axa perpendiculara pe axa elementului.
Asigurarea la actiunea momentului incovoietor in sectiuni inclinate se poate realiza prin respectarea unor reguli constructive simple.
In fig.1.60a se reprezinta un fragment de la extremitatea unei grinzi simplu rezemate si configuratia unor fisuri inclinate posibile. In fig.1.60b este reprezentat echilibrul tronsonului marginit de una dintre aceste fisuri. Din ecuatia de momente in raport cu punctul de aplicatie al rezultantei eforturilor din zona comprimata rezulta ca in sectiunea 1-1 de la baza fisurii, efortului unitary in armature longitudinala este proportional cu momentul incovoietor din sectiunea 2-2 ce trece prin varful fisurii:

Rezulta ca fisurarea inclinata are ca efect cresterea eforturilor din armatura longitudinala peste valoarea corespunzatoare momentelor incovoietoare din sectiunile normale la axa.
De aceea trebuie sa se tina seama de acest efect la stabilirea sectiunilor in care se intrerup armaturile longitudinale pe masura reducerii momentelor incovoietoare si la dimensionarea ancorajelor acestora.
In fig.1.60c este reprezentata o portiune de grinda in care apare o bara ridicata. Cedarea grinzii poate interveni dupa o fisura normala la axa, 2-2, sau dupa o fisura inclinata l-1. Momentele capabile in sectiunile 1-1 si 2-2 sunt respectiv.
Mcap,2=AaRaz
Mcap,1=(Aa - Aai)Raz + AaizaRa<Mcap,1 deoarece zi<z.
In sectiunile 1-1 si 2-2 momentul incovoietor aplicat are aceeasi valoare. Daca in sectiunea 2-2 armatura longitudinala este utilizata in intregime (este dimensionata strict), pentru a evita o cedare a elementului in sectiuni inclinate trebuie realizata conditia:
Mcap >Mcap,1

FIGURA 1.60
Aceasta conditie este indeplinita daca sectiunea in care incepe ridicarea armaturii se afla la o distanta de cel putin ho/2 de sectiunea normala in care bara respectiva este utilizata in intregime la moment, incovoietor, in sensul de reducere a momentului, deoarece in acest caz zi<z (fig.1.60d).
In practica de proiectare in vederea asigurarii la moment incovoietor in I sectiuni inclinate, diagramele infasuratoare de moment (fig.1.61a) se corecteaza prin 'dilatarea' cu 0,5ho (la scara lungimilor), punctele de intrerupere si de ridicare (coborare) a armaturilor raportartandu-se la aceasta diagrama.
Conditiile pe care trebuie sa le indeplineasca, din acest punct de vedere, armaturile longitudinale sunt urmatoarele (fig.1.6l):
- o bara trebuie sa fie prelungita cel putin cu lungimea de ancorare la dincolo de sectiunea in care bara este utilizata in intregime la moment incovoietor; bara va rebui, de asemenea, sa atinga cel putin prima sectiune in care nu mai este neeesara din calculul efectuat pe baza diagramei de momente corectate;

FIGURA 1.61
5. Elemente de beton fara armatura transversala
In aceasta categorie intra placile planseelor, monolite sau prefabricate, si unele nervuri cu solicitari relativ mici la forta taietoare.
Pentru a obtine solutii acoperitoare, se admite ca forta de fisurare inclinata reprezinta in acelasi timp pentru elementele fara armatura transversala si capacitatea de rezistenta la forta taietoare.
Pentru elementele liniare se considera asa cum s-a aratat la 1:
Qcap= o,5bhoRt (1.124)
In cazul placilor de beton armat rezemate continuu pe contur, se adopta o valoare mai mare:
Qap = 0,75bhoRt
Datorita latimii mari a sectiunilor placilor, in cazul unor cedari locale la forta taietoare , sunt posibile redistribuiri ale solicitarii in lungul sectiunii de cedare prin intermediul armaturilor paralele cu reazemul. Pe de alta parte, datorita latimii mari a sectiunilor potentiale de rupere la forfecare, posibilitatea ca rezistenta la intindere a betonului pe toata lungimea acestei sectiuni sa se situeze la nivelul rezistentei minime probabile este extrem de redusa. Aceste particularitati de comportare justifica valoarea fortei taietoare capabile adoptata in (1.125).
6 Console scurte
Se considera in mod obisnuit ca apartinand categoriei consolelor "scurte', elementele in consola la care inaltimea utila a sectiunii este mai mare decat distanta de la punctul de aplicatie al fortei la sectiunea teoretica de incastrare:
ho/lc > 1 (vezi fig.1.62).

FIGURA 1.62
Aceasta delimitare rezulta din faptul ca la aceste grinzi, cu proportii de element bidimensional, spre deosebire de cazul consolelor lungi si medii care se pot considera elemente liniare, ipotezele obisnuite de calcul se indeparteaza exagerat de mult de comportarea reala, fiind necesara o tratare pe o baza diferita.
Astfel, in cazul consolelor scurte se poate considera ca actioneaza un mecanism de preluare a incarcarilor de tip grinda cu contrafisa, similar mecanismului de arc din cazul grinzilor pereti (fig.1.62).
Dezvoltarea acestui mecanism implica necesitatea ancorarii la capacitatea de rezistenta a armaturii de incovoiere pe toata deschiderea consolei, ca urmare a faptului ca efortul in armatura intinsa este constant. De asemenea etrierii verticali nu sunt eficienti in preluarea incarcarilor.
STAS 10107/0-90 prevede ca pe inaltimea consolei sa se depuna etrieri orizontali reprezentand o treime din cantitatea de armatura principala incovoiere (fig.1.63).

(1.126)
Aceasta armatura imbunatateste conditiile de lucru ale betonului diagonalei comprimate dezvoltate in grosimea consolei. Se considera activi numai etrierii dispusi pe zona egala cu 2/3.din lungimea teoretica a diagonalei (fig.1.63).
FIGURA 1.63
7. Rezistenta la strapungere a elementelor de beton armat
Cedarea la forte taietoare capata aspecte specifice cand pe suprafete reduse de placa se transmit incarcari relativ importante. Modul characteristic de rupere este de tip strapungere, motiv pentru care rezistenta la forta taietoare in asemenea sitiiatii este denumita in mod curent rezistenta la strapungere (poansonare).
Cedari prin strapungere pot interveni in special la transmiterea incarcarilor de la dale la stalpi, la planseele fara grinzi, la transmiterea fortelor de la stalpi la radierele fundatiei sau in zona de aplicare a unor forte concentrate importante pe placa planseelor.
Mecanismul de cedare prin strapungere este complex depinzand de numerosi parametri, dintre care cei mai importanti sunt calitatea (clasa) betonului, raportul dintre latural stalpului c (latura ariei incarcate) si grosimea placii hp, procentul armaturii transversale.
Datorita distributiei specifice a momentelor incovoietoare, care scad rapid din axul suprafetei incarcate, sectiunile de cedare prin strapungere nu pornesc de la fisuri de incovoiere ca in cazul ruperilor in sectiuni inclinate ale elementelor de tip bara, ci de la fisuri similare cu cele care apar in inima subtire a unor grinzi inalte cu capacitate mare de rezistenta la incovoiere, fisuri rezultate ca urmare a depasirii rezistentei betonului la intindere pe directia eforturile principale.
In aceste situatii rezistenta la forfecare in sectiuni inclinate este sensibil superioara celei corespunzatoare elementelor liniare obisnuite. Rezistenta la strapungere este influentata favorabil de prezenta eforturilor de compresiune transversale ωy si de actiunea unor eforturi de compresiune dezvoltate in planul placii, distribuite radial in jurul zonei de aplicare a fortei concentrate.
STAS 10107/0-90 prescrie pentru forta capabila la strapungere centrica (fara transmitere de moment incovoietor) a dalelor fara armatura de forfecare, relatia (fig.1.64.a):
Qcap= 0 pcrhoRt (1.127)
in care per = perimetrul teoretic al suprafetei de forfecare situat la distanta -2. inexteriorul zonei efectiv incarcate. Prin stabilirea sectiunii de cedare la distanta ho/2 de perimetrul ariei incarcate se presupune ca se-ia in considerare in mod implicit influenta raportului c/ho. Structura expresiei (1.127) este foarte simpla retinand numai principalii parametri ai rezistentei la strapungere.
Daca pentru suplimentarea fortei capabile la strapungere se prevad armaturi ce strabat suprafata teoretica de cedare STAS 10107/0-90 introduce conditia:
Q≤1,2pcrhoRt (1.128)
in intentia de a se evita dezvoltarea unor eforturi de forfecare prea mari in placa, avand in vedere caracterul extrem de casant al ruperilor prin stapungere.
Solicitarea la valori Q peste cele corespunzatoare limitei (1.128) este asociata cu deschideri ale fisurilor inclinate, care reduc contributia betonului la preluarea eforturilor de forfecare. Se admite, din acest motiv, ca raportul betonului este in acest caz 0,5pcrhoRt, iar diferenta Q - 0,5pcrhoRt trebuie preluata in intregime prin armaturile transversale. Expresia de calcul a fortei taietoare capabile este deci:
Qcap = 0,5pcrhoRt + ΣnvAavRat + ΣniAaiRatsinά (1.129)
in care (fig.1.64.b):
nv Aav =numarul armaturilor verticale si respectiv aria sectiunii unei bare
verticale care intersecteaza suprafata de strapungere;
ni Aai = numarul armaturilor inclinate cu unghiul a fata de orizontala si aria
unei armaturi inclinate care intersecteaza suprafata de rupere.
Relatiile (1.127), (1.128) si (1.129) sunt valabile pentru solicitarea la strapungere centrica, corespunzatoare cazurilor curente in care structurile cu planseu dala sunt asociate cu pereti structurali rigizi care preiau practic intergal efectul fortelor orizontale.

FIGURA 1.64
8. Incarcari suspendate. Rezemari indirecte.
In cazul planseelor de beton armat monolit intervin in multe cazuri grinzi secundare care nu reazema pe stalpi sau pe ziduri portante, ci pe alte grinzi mai importante - grinzile principale - care sunt sustinute de elemente de rezistenta verticale ale structurii. Deoarece grinzile secundare nu transmit direct incarcarile aferente la stalpi sau pereti, ci prin intermediul grinzilor principale, rezemarea lor se numeste in mod curent rezemare indirecta.
La rezemarea lor, grinzile secundare transmit reactiunile prin intermediul zonei comprimate, in partea inferioara a grinzii principale. Din acest motiv apare o tendinta de desgicare a inimii grinzii principale si de desprindere a partii inferioare a acesteia (fig.1.65).

FIGURA 1.65
Pentru a evita o astfel de cedare este necesara suspendarea incarcarii aduse de grinda secundara de zona superioara (comprimata) a grinzii principale. Suspendarea se realizeaza prin etrieri si/sau bare inclinate suplimentare, dimensionate pentru a prelua reactiunea R = (Qst + Qdr) transmise de grinda secundara (fig.1.65).
Zona in care etrierii si armaturile inclinate se considera active se precizeaza in fig.1.65.b.

FIGURA 1.66
Probleme similare se pun si cand de partea inferioara a grinzlor se suspenda conducte, tavane, grinzi rulante sau atunci cand placa planseului este situata la partea inferioara a grinzilor (fig.1.66).
9. Rezistenta la forfecare dupa planuri de lunecare determinate
In structurile de beton afmat, pot interveni situatii in care, ca urmare a unor conditii de solicitare particulare, rezistenta in sectiuni inclinate a unor elemente supuse la incovoiere ( cu sau fara efort axial) cu forta taietoare sa fie mai mare decat rezistenta la forfecare dupa anumite planuri determinate. In aceste cazuri pot aparea ruperi prin dislocare in lungul planurilor respective, dupa mecanisme de cedare diferite de cele prezentate la 2, 6 sau 7. Ruperile de acest tip sunt favorizate daca planul potential de lunecare este fisurat, ca efect al unor eforturi de intindere, din actiunea unor incarcari cu forte sau cu deformatii sau ca urmare a existentei unor rosturi de lucru impuse de tehnologia de executie (de exemplu, rosturile de turnare ale elementelor verticale ale structurilor de rezistenta, roshuite dintre suprabetonarea monolita si partea prefabricata la unele elemente cu alcatuire mixta).
Modul de transmitere a fortelor de forfecare, pe suprafata fisurata este reprezentat in fig.1.67.

FIGURA 1.67
Intrucat suprafata fisurii nu este neteda, ci cu asperitati, o lunecare relativa intre cele doua parti ale elementului presupune si o deplasare relativa pe directia normala pe fisura (fig.1.67.b).
Forta de intindere indusa in armatura perpendiculara pe planul potential de lunecare este echilibrata de o compresiune egala actionand fetele fisuriiI (fig.1.67.c). Aceasta compresiune produce rezistenta prin frecare la lunecarea relativa a fetelor fisurii, care se opune fortei de forfecare. Cercetarile experimnetale pun in evidenta faptul ca este suficienta o deplasare relativa denumai 0 mm in lungul planului de lunecare pentru a solicita pana la curgere armaturile transversale.
Daca pe planul potential de lunecare actioneaza o forta de compresiune, aceasta la randul ei genereaza forte de frecare care se adauga fortelor de frecare datorate strangerii exercitate de armatura.
Armaturile transversale care strabat planul potential de lunecare si au rolul de a impiedica dislocarea in lungul acestuia sunt denumite curent armaturi de conectare (conectori) si pot fi dispuse perpendicular sau inclinat fata de planul de lunecare.
Pentru o utilizare eficienta a armaturilor care traverseaza planul de lunecare, conditia de dimensionare a acestei armaturi este asociata cu solicitarea ei pana la curgere. In aceste conditii forta de lunecare Lcap ce poate fi transmisa in lungul planului de forfecare este data de expresia:
Lcap = μf(AacRac + N ) + AaiRat(cos ά + μf sinά ) (1.130)
Notatii:
Aac = suma ariilor sectiumlor conectorilor dispusi perpedicular pe planul
(suprafata) de lunecare;
Aa = suma ariilor sectiumlor armaturilor inclinate intinse care strabat planul delunecare;
unghiul dintre barele inclinate si planul de lunecare;
N = efortul de compresiune normal pe planul de lunecare;
μf = coeficientul echivalent de frecare, intre fetele planului de lunecare.
Conceptul care sta la baza acestui model de calcul este cunoscut in literatura de specialitate sub denumirea de rezistenta la forfecare prin frecare.
In realitate forta de lunecare aplicata este preluata prin frecarea intre fetele fisura rezistenta la forfecare a protuberantelor fetelor fisurii si prin actiunea de dorn a armaturilor care traverseaza fisura.
In metoda de calcul bazata pe conceptul rezistentei la forfecare prin frecare se presupnne ca intreaga rezistenta la forfecare se datoreaza frecarii intre fetele fisurii. Din acest motiv relatiile de calcul au un caracter global utilizand valori conventionale ale coeficientilor de frecare stabiliti astfel incat valoarea de calcul a fortei de forfecare capabile sa fie intr-un acord rezonabil cu rezultatele cercetarilor experimentale.
Valorile μf prescrise de ST AS 10107/0-90 sunt:
μf = 1,4, pentru cazul rosturilor curatite de lapte de ciment si cu asperitati de cel putin 5 mm;
μf = 1,0, pentru cazul unor asperitati intre 2 si 5 mm;
μf 0,7, in cazul betonului curatat de laptele de ciment dar fara masuri de a i se mari rugozitatea.
Observatii:
(i) Armatura inclinata se considera activa in preluarea fortei de lunecare numai in situatia cand acesta forta o solicita la intindere.
(ii) Armatura inclinata are o actiune mai eficienta in preluarea fortei de lunecare decat armatura perpendiculara pe planul de separatie intre cele doua zone ale elementului.
Relatia (1.130) cuprinde doi termeni care contin Aai , evidentiind dubla contributie a acestei armaturi (fig.1.68) prin 'transmiterea directa' (datorita componentei paralele cu planul de lunecare AaiRatcosά) si indirect prin efectul de frecare (datorat componentei normale de plan AaiRatsinά).

FIGURA 1.68
(iii) Desi modelul teoretic care sta la baza relatiei (1.130) presupune dezvoltarea efortului unitar de ciugere in annaturile care traverseaza planul de lunecare, in formula de calcul a fortei Lcap nu s-a introdus valoarea corespunzatoare a rezistentei de calcul, ci valoarea Ra, ca o asigurare suplimentara fata de incertitudhule privind distributia eforturilor de forfecare in lungul planului de separare si lungimea zonei active pe care sunt mobilizati conectorii celor doua parti ale elementului despartite de acest plan.
(iv) Daca pe planul de lunecare actioneaza forte de intindere este necesar sa se prevada armatura transversala suplimentara pentru preluarea lor, separat de armatura pentru rezistenta prin frecare.

FIGURA 1.69
In practica apar doua categorii de situatii dupa cum planul potential de lunecare este perpendicular pe axul elementului (exemplul caracateristic il constituie rosturile orizontale de turnare ale peretilor structurali monoliti la nivelul planseelor) sau paralel cu acesta (rostul dintre elementele prefabricate si suprabetonarea monolita).
a) Planul potential de lunecare este perpendicular pe axul elementului (fig.1.69)
In aceste cazuri forta care trebuie transmisa in lungul planului potential de forfecare este chiar forta taietoare Q de calcul in sectiunea considerata a elementului.
In cazul elementelor verticale din structurile proiectate pentru a prelua efectul incarcarilor seismice efortul axial N (in situatia in care acesta este compresiune) se afecteaza cu coeficientul 0,6 pentru a tine seama de efectul oscilatiilor seismice verticale.
Fiind solicitate la intindere, armaturile de conectare trebuie ancorate ca bara intinse, de fiecare parte a suprafetei de separare intre cele doua zone de beton de varste diferite.
b) Planul potential de lunecare este paralel cu axul elementului.
In aceste cazuri forta de lunecare de calcul se asociaza, conform principiilor generate acceptate in proiectarea structurilor de beton annat, capacitatii de rezistenta a elementelor.
Astfel, de exemplu, daca planul de lunecare este situat in zona intinsa a unui element incovoiat, forta de lunecare se asociaza capacitatii annaturii intinse AaRa. Lungimea lo pe care se dispun armaturile de conectare pentru preluarea unei forte de lunecare cu aceasta valoare este cuprinsa intre sectiunile de moment maxim si respectiv sectiunea de moment mul, interval in care se admite ca efortul din armatura se reduce pana la zero (fig.1.70).

FIGURA 1.70
Relatia de dimensionare a etrierilor de conectare a suprabetonarii de inima prefabricata a grinzii din fig.7.70 este:
AaRa = μfΣaeRat (1.131)
Daca se noteaza:
ne = numarul de etrieri de conectare necesari pe distanta lo;
n = numarul de ramuri ale unui etrieri;
Aae = aria unei ramuri de etrieri,
distanta ae dintre etrierii de conectare rezulta:

(1.132)
in care:

(1.133)
|
Politica de confidentialitate |
| Copyright ©
2025 - Toate drepturile rezervate. Toate documentele au caracter informativ cu scop educational. |
Personaje din literatura |
| Baltagul – caracterizarea personajelor |
| Caracterizare Alexandru Lapusneanul |
| Caracterizarea lui Gavilescu |
| Caracterizarea personajelor negative din basmul |
Tehnica si mecanica |
| Cuplaje - definitii. notatii. exemple. repere istorice. |
| Actionare macara |
| Reprezentarea si cotarea filetelor |
Geografie |
| Turismul pe terra |
| Vulcanii Și mediul |
| Padurile pe terra si industrializarea lemnului |
| Termeni si conditii |
| Contact |
| Creeaza si tu |