OBTINEREA POLIMERILOR
Dupa cum s-a mentionat mai sus, polimerii naturali sunt sintetizati de catre organismele vii. Utilizatorul are numai necesitatea de a-l separa (extrage) din aceste organisme. Procedeele de extragere a polimerilorlor sunt procedee fizice.
Polimerii artificiali se obtin la tratarea polimerilor naturali cu anumiti reagenti.
Polimerii sintetici se obtin prin reactia de polimerizare sau policondensare.
Polimerizarea este procesul prin care mai multe molecule identice nesaturate se unesc formand o macromolecula. In reactiile de polimerizare "n" molecule de substanta "M" se unesc formand macromoleculele care au aceeasi compozitie cantitativa cu a substantei care polimerizeaza, insa produsul rezultat are proprietati complet diferite. Molecula de materi prima nesaturata M se numeste monomer, iar unitatea de structura care formeaza lantul macromoleculei se numeste mer.
Reactia de polimerizare prezinta reactia de unire a "n" molecule de monomer "M"), cu formarea macromoleculei:
nM TMn , unde M - molecula monomerului,
Mn - macromolecula compusa din n unitati.
Ca exemplu de reactie de polimerizare poate servi reactia de polimerizare a propilenei:
Policondensarea este reactia de formare a macromoleculei din compusi bi si polifunctionali, insotita de eliminarea produselor micromoleculare (apa, NH3, alcool, HCl, s.a.).
Vom prezenta o reactie de policondensare a etilenglicolului:
HO-CH2-CH2-OH + HO-CH2-CH2-OH + HO-CH2-CH2-OH + . . .
-O-CH2-CH2-O-CH2-CH2-O-CH2-CH2-O-CH2-CH2- . . . + H2O + H2O + H2O + . . .
Gradul de polimerizare se determina cu relatia:
unde Mpolimer este masa moleculara a polimerului iar Mmonomer masa moleculara a monomerului.
In acelasi mod, si alti atomi de H pot fi inlocuiti cu atomi sau radicali liberi ( grupuri structurale de atomi care au legaturi nesatisfacute) rezultand practic un numar nelimitat de monomeri ce pot polimeriza.
Polimerii sintetici sunt amestecuri de macromolecule cu grade de polimerizare diferite, caracteristica ce se numeste polidispersie de masa moleculara; distributia fractiilor reprezentand lanturile cu un anumit grad de polimerizare n avand caracter probabilistic pentru caracterizarea masica a unui
polimer se fosesc doua marimi medii:
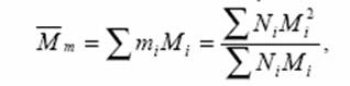
- masa moleculara medie
determinata
in functie de fractia
masica a macromoleculelor si definita prin relatia:
unde mi este fractia masica a lanturilor cu masa Mi , iar Ni numarul lanturilor cu masa Mi;
- masa moleculara medie
determinata
in functie de fractia
numerica a lanturilor si definita prin relatia:
(3)
unde xi este fractia numerica a lanturilor cu masa Mi; pentru calculul gradului de
polimerizare n cu relatia (1) se considera Mpolimer = n M .
Raportul
descrie marimea
intervalului de distributie a maselor moleculare sau polidispersitatea care
pentru polimerii uzuali are valori 1,5.3, ajungand in unele cazuri sa aiba
si valori peste 10.
Gradul de polimerizare si masa moleculara medie influenteaza in mod deosebit proprietatile fizice si mecanice ale unui polimer.
|
Politica de confidentialitate |
| Copyright ©
2025 - Toate drepturile rezervate. Toate documentele au caracter informativ cu scop educational. |
Personaje din literatura |
| Baltagul – caracterizarea personajelor |
| Caracterizare Alexandru Lapusneanul |
| Caracterizarea lui Gavilescu |
| Caracterizarea personajelor negative din basmul |
Tehnica si mecanica |
| Cuplaje - definitii. notatii. exemple. repere istorice. |
| Actionare macara |
| Reprezentarea si cotarea filetelor |
Geografie |
| Turismul pe terra |
| Vulcanii Și mediul |
| Padurile pe terra si industrializarea lemnului |
| Termeni si conditii |
| Contact |
| Creeaza si tu |